Analysis of Survivin’s Role in Benign and Metastasis Tumor Growth
- 1. Department of Mathematics, Vali-e-Asr University of Rafsanjan, Iran
- 2. Department of Mathematics, University of Mazandaran, Iran
Abstract
Purpose: In this article, we present a modified cancerous stem cell-survivin model to simulate the effect of the YM155 drug and radiation therapy as a combination treatment on the tumor growth. Radio resistant mechanism is illustrated by this model.
Methods: According to experimental studies by Iwasa (2008), the combination treatment inhibits survivin expression. Modified cancerous stem cell-survivin model simulates these experimental studies. Then, we introduce a modified stochastic differential equations model for the metastasis tumors. The tumor growth equations of the stochastic differential equations model are not as good as cancer stem cell-survivin model. The modified stochastic differential equations model uses the cancerous stem cell-survivin model instead of tumor growth equations in the stochastic differential equations model.
Result: Here, the modified cancerous stem cell-survivin model confirms experimental studies significantly more precise than the cancerous stem cell-survivin model. Also, the modified stochastic differential equations model uses the cancerous stem cell-survivin model instead of tumor growth equations in the stochastic differential equations model.
Conclusion: The modified cancerous stem cell-survivin model reveals that survivin first regulates cell division through interaction with proteins INCENP and Aurora B; then, YM155 drug inhibits survivin. Therefore, it seems that this mechanism leads to radioresistance. The YM155 drug only reduces radio resistance, since it is not a survivin-inhibitor as quick as survivin which regulates cell division. Even the more dose of the YM155 drug will not create a perfect therapy. The velocity of a survivin-inhibition drug has an effective role in the combination treatment.
Keywords
• Cancerous stem cell-survivin model; Radiation therapy; Tumor growth
Citation
Jafari S, Tavakoli A (2018) Analysis of Survivin’s Role in Benign and Metastasis Tumor Growth. Ann Clin Cytol Pathol 4(8): 1128.
INTRODUCTION
Many mathematical biology models describe tumor response during and after alternative treatments. Finite difference method, finite element spaces, etc. help to approximate the answers of these models [1-7]. For many cancer therapies, radioresistance has become the main problem [8-10]. For example, radiation therapy is often only a palliative as a result of radioresistance. According to experimental studies [11], survivin expression leads to radioresistance under radiotherapy. The combination treatment educes radioresistance [11]. Cancer stem cell-Survivin model first presented by Hillen [12], is modeled experimental evidence [11]. Observations indicate a significant error [11]. According to Cancer Stem Cell-Survivin model, the YM155 drug inhibits some released survivins upon apoptosis. Some released survivins decay, but some released survivins remain in the environment. We solve a cancer stem cell-survivin model for experimental data [11], and save environment survivins in a matrix during 30 days. This matrix is not zero but experimental studies do not confirm it. Therefore, YM155 drug inhibits the environment survivins renew. On the other hand, survivins regulate cell divisions through interaction with proteins faster than YM155 drug inhibits surviving; then the tumor density increases. Modified cancer stem cell-survivin model is defined based on these concepts. The environment of survivins has calculated every day; then Ym155 affects them renew. The more precise model helps us to recognize alternative causes for the radioresistance. For example, the modified cancer stem cell-survivin model confirms that the survivin expression has disappeared. However, the survivins still are the main reason of the radio resistance, because survivin regulates cell division through interaction with proteins; then the YM155 drug has suppressed the survivins. Therefore YM155 does not create a perfect cancer therapy. The perfect combination treatment will need a faster survivin-inhibition drug. In this article, we use the modified cancer stem cell-survivin model to predict experimental studies [13], under combination treatment [12]. This model is presented in section 2. Then, we discuss the stochastic differential equations model [13], for human lung metastasis cancer. Tumor growth equations of the stochastic differential equations model experimental data under control treatment (Tumor is allowed to grow without interference) [11]. These equations predict tumor densities less than experimental studies during 30 days. Hence significant errors exist when the stochastic differential equations model experimental studies on human tumors. This model is not predicted the progressive free survival times precisely [13]. The modified stochastic differential equations model is introduced in section 3.The numerical results demonstrate in section 4.
MODIFIED CANCER STEM CELL –SURVIVN MODEL
The survivin equation of the cancer stem cell-Survivin model is the main factor to appear an error in the combination treatment; see, for more information about combination treatment [12]. The radiotherapy is done at the start of the day. Equations of 1 imply two important facts. First, extra YM155 from yesterday are deactivating by the environment of survivin, hence ym155 density is constant (From day 1 until day 7, YM155 density is 5mg). Also, it helps to YM155 decays procedure after day 7and survivins disappear from the environment. Second, death cancerous cell releases survivins immediately after radiation. This high survivin level has a significant role to inhibit apoptosis and increases differentiation during the day. Then SCR indicates the released survivin by the radio resistant cancer cells in the environment a sCS d indicates the released survivin by the radiosensitive cancer cell in the environment. Environment survivins are produced by the radio resistant cancer cells, and the radiosensitive cancer cells upon apoptosis have different YM155 sensitivity [12]. Hence, we model them separately. Then y indicates the YM155 concentration. The survivin-inhibition (YM155) model [12], calculates the YM155 concentration. Where ΨCR shows the sensitivity parameter of the radio resistant cancer cell to YM155.ThenΨCS indicates sensitivity parameter of the radiosensitive cancer cell to YM155. The notation ξCR indicates the released survivin constant by the death of the radio resistant cancer cell after radiotherapy. Then ξCS shows the released survivin constant by the death of the radiosensitive cancer cell after radiotherapy. Also, CR, killed notation indicates the dead radioresistant cancer cells by radiotherapy. The Radiation model [1,3,14-16] calculates C C R, killed , killed
with and
where C (t) R is the radioresistant cancer cell density at time “t”, C (t) S is the radiosensitive cancer cell density at time t , d is the radiation dose, αC S is the radiosensitive cancer cell DNA damage single tract, and β C S is the radiosensitive cancer cell DNA damage double tract.
Where αCR is the radioresistant cancer cell DNA damage single tract and β CR is the radioresistant cancer cell DNA damage double tract. Survivin’s total concentration calculates in equation 2.The radiation is done at the start of the day. Then the radiation therapy kills some cancer cells immediately. Therefore, the radioresistant cancer cell density and the radiosensitive cancer cell density reduce. At the beginning of the day, all the radioresistant cancer cells can produce new radioresistant cancer cells with probablyδ = 0.01(Before radiation) but only, the radioresistant cancer cells remaining after radiation therapy are influenced by natural death. Then, rCR is the mitosis rate of the radioresistant cancer cell. Also, p is the total tumor density. A volume filling constraint is 4 1( ) 1 p p = − because deformable objects have better description by this formula than others[14]. Also, µ(s) is the dedifferentiation rate; see [14]. Then ΤCR( ) S is the radioresistant cancer cell death rate as a function of survivin level; see [14]. In equation 5, the survivins regulate cell division through interaction with proteins and decays (For mitosis or dedifferentiation); then YM155 inhibits survivins. So SCR is substituted by . Then ωCR and ωCS are maximal released survivins by the radioresistant cancer cell and the radiosensitive cancer cell upon apoptosis, respectively, and is the decay rate of the survivins.
MODIFIED STOCHASTIC GROWTH MODEL
In this section, a benign lung tumor in mice (H460 cells) is modeled by the tumor growth equations of a stochastic differential equations model [11] and [13]. Benign tumors do not involve noticeable metastasis. Hence, the model does not metastasis equation, angiogenic growth equation, dissemination term, and diffusion term. Since a benign tumor was studied, the complete model for cancerous stem cell mitosis is selected [3]. According to laboratory studies conducted on the benign tumor, some drug-resistant cells also die
Where µ is the maximal rate of dedifferentiation, dCS is the maximal death rate of the drug-sensitive (Here drug refers to BRAF and MEK inhibitor drug) cancer cells, dCR is the maximal death rate of the drug-resistant cancer cell and other notations are as given before. This model is not as good as the cancer stem cell-Survivin model. One can see the result in section 4.2. Therefore, we use the cancer stem cell-survivin model as tumor growth equations of the modified stochastic differential equations model.
ThenC C r and r R, S, R, S are defined before is the volume filling constraint, and µ(s) is the dedifferentaion rate which is a function of survivin levels [12]. Diffusion term and dissemination term are defined in [13]. Also, τC S S ( ) is the death rate of the drug-sensitive cancer cells which is a function of survivin levels [12]. In equation 11, ω CS is some of released survivins by the drug-resistant cancer cells upon apoptosis, σ is the decay rate of the survivins, andCM and CK are the metastasis cell and angiogenic cell densities, respectively. Equations 12 and 13 are explained in [13].
RESULT
Numerical result of modified cancer stem cellsurvivin model
The modified Cancerous stem cell-Survivin model predicts the tumor growth under combination treatment. We use primary biological data about H460 cell from [11] and MATLAB (Figure 1).
Figure 1: ‘a’ indicates cancer stem cell-survivin Model graph ‘b’ stands for the Modified cancer stem cell–survivin Model graph, and ‘c’ is the Biological data.
As a measure to discriminate between the models, we quantify the growth delay of the modified Cancerous stem cell-Survivin model and Cancerous stem cell-survivin model. Let T1= 6.1 denote the time at which the total tumor density reaches five times the initial density under control treatment [11]. Also, T 2 denotes the time at which the total tumor density reaches five times the initial density under combination treatment. According to experimental studies [11], the tumor growth delay is 16.6; although this value is reported 20.794 by Cancerous stem cell-Survivin model [12]. For the modified cancerous stem cellSurvivin model, we have
GDModified cancer stem cell-survivin model=T2 -T1 = 23.7004-6.1=17.6003.
Experimental studies report tumor densities of special days (10 days) [13]. We use the sum of the absolute error to compare the error of the modified cancer stem cell-survivin model and the cancer stem cell-survivin model at these days.
error CSC-survivinModel= 0.8187
errormodified CSC-survivinModel = 0.3175
Numerical results of growth equations of stochastic differential equations model
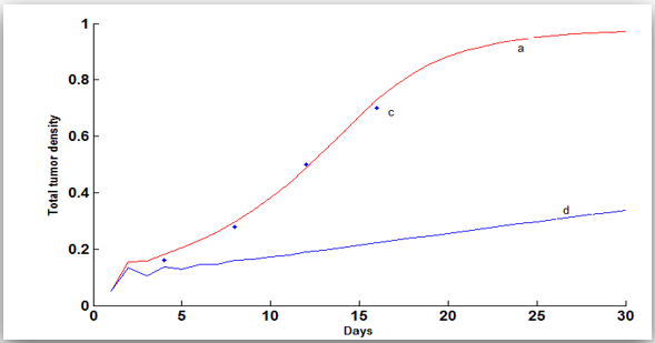
Tumor growth equations of the stochastic differential equations model are modeled experimental data for H460 lung cancer cells. We use the primary biological data [11] and MATLAB to solve equations 7 and 8 (Figure 2).
Figure 2: ‘a’ indicates the cancer stem cell-survivin Model graph, ‘b’ stands for growth equations of the stochastic differential equations model graph, and ‘c’ is the Biological data [13].
The cancerous stem cell-Survivin model had predicted T1= 6.1 Tumor growth equations of the stochastic differential equations model have predictedT1 =12.5 . Hence tumor growth equations of stochastic differential equations model are not as good as cancerous stem cell-Survivin model. Therefore, the tumor growth equations of the stochastic differential equations model cause a significant error in the estimation of progressive free survival time [13] (Table 1).
Table 1: Parameter Value used.
|
Parameter |
Value |
Parameter |
Value |
|
Initial Conditions |
Radiation Parameter |
||
|
|
0.0025 |
|
10 |
|
|
0.05 |
|
0.1 |
|
S(0) – Initial survivin concentration |
0.0004 |
|
0.02465 |
|
Control Parameter
|
DNA damage single tract |
0.2465 |
|
|
|
0.0659 |
|
0.002465 |
|
|
0.6256 |
|
0.02465 |
|
|
0.002 |
|
3.6 |
|
|
0.05 |
|
0.05 |
|
|
1.0997 |
YM155-Parameter |
|
|
|
77 |
|
5 |
|
|
55 |
|
0.125 |
|
|
0.475 |
|
19.876 |
|
|
250 |
|
1 |
|
|
125 |
|
7 |
|
|
0.000001 |
|
17.75 |
|
|
0.1187 |
|
12904 |
DISCUSSION
Throughout this article, the modified cancerous stem cellsurvivin model confirms that the higher dose of the YM155 drug will not lead a better combination treatment. A faster survivininhibition will be needed in future. Maybe, the tumor growth mechanism helps us to create an artificial tumor as a survivininhibition. Moreover, every cancer model must involve a survivin equation. We are hopeful that the modified stochastic differential equations model will lead a more precise result [13].

