Lactate Clearance Following Exhaustive Exercise Differs between Sexes and Whole Body Vibration does not Enhance Recovery
- 1. School of Health and Exercise Sciences, University of British Columbia Okanagan, Canada
Abstract
Little is understood about sex differences in lactate removal following exercise. Whole Body Vibration (WBV) enhances blood flow and muscle activity providing possible metabolic benefits similar to active recovery. AIMS: The primary aim was to evaluate WBV as a recovery method to clear lactate in males and females following exhaustive exercise. The secondary aim was to evaluate which recovery modality most effectively clears lactate.
Methods: Males (n=7, 22.0±1.1 y) and females (n=7, 22.9±1.8 y) undertook a Wingate where blood lactate concentration was measured from a venous catheter in the antecubital vein prior-to, immediately-after and every subsequent 4 mins until lactate was <4 mmol/L. Three recovery modalities (standing, stationary cycling, whole body vibration (WBV)) were executed on three separate days. Standing and WBV consisted of a 20° semi-squat on a platform. The WBV was set to 35Hz and 2mm. Stationary cycling was performed at 60Watts (W) and 100rpm. Each recovery was conducted for 30 sec followed by 3.5 mins of rest. Results: Females reached a higher peak lactate concentration (10.9±1.9 mmol/L) than males (9.4±1.6 mmol/L) (p<0.001) following the Wingate. Venous lactate after WBV was not different from standing and both methods were less effective than cycling (p=0.003).
Conclusion: Although sex differences are evident as females clear more lactate in the same amount of recovery time as males, WBV does not differ from standing as a method of recovery
Keywords
Whole body vibration , Sex-differences , Wingate , Blood lactate , Recovery
Citation
Jones G, Cornett K, Crowell S, Carlyle J, Roland K, et al. (2015) Lactate Clearance Following Exhaustive Exercise Differs between Sexes and Whole Body Vibration does Not Enhance Recovery. Ann Sports Med Res 2(5): 1031.
ABBREVIATIONS
WBV: Whole Body Vibration; RER: Respiratory Exchange Ratio; WAnT: Wingate Anaerobic cycle Test; W: Watt
INTRODUCTION
Intense physical activity significantly elevates blood lactate concentration as a consequence of the increased utilization of anaerobic metabolism, recruitment of fast twitch fibres and activation of the sympathetic nervous system. Higher lactate removal during recovery periods allow greater anaerobic power output in subsequent bouts of exercise [1]. Thus, rapid removal of lactate during recovery can enhance performance. This is particularly important for sports involving repeated bursts of high intensity exercise [2]. Due to the significant impact of lactate on sport performance, a variety of recovery methods have been investigated to determine the most efficient modality to clear lactate. Active recovery of no greater than 40% maximal aerobic capacity is reported to be optimal [3] because of enhanced blood flow to active muscles [4], the heart, and the liver [5].
The literature on lactate accumulation in males and females is minimal due to statistical collapsing across sexes, although studies have involved both males and females [6-9]. When males and females were compared for lactate accumulation during exercise, results are equivocal [10-14] and no studies to date have looked at different recovery modalities. Thus, the minimal and controversial findings relative to sex differences in lactate accumulation and clearance necessitates further study especially in light of recent advances in the literature where males and females are known to differ in proportion of type 1 fibers [7], respiratory exchange ratio (RER), and substrate use during exercise [12,15].
The most common means to clear blood lactate following high intensity exercise are cycling and jogging; however, whole body vibration (WBV) might be an effective recovery tool to facilitate lactate clearance post-exercise as it significantly increases peripheral circulation [9], blood flow [16], rate of blood flow through the popliteal artery [17], and skin/muscle temperature [16]. In addition, females have attenuated sympathetic outflow in response to exercise which could reduce vasoconstriction and enhance blood flow [18]. These effects should accelerate the recovery process by increasing blood flow to and from the exercised muscles. The minimum vibration frequency required to enhance blood flow, muscle activity and temperature is 26Hz [9, 16, 17, 19]. Studies to-date examining the effectiveness of WBV have not used frequencies above this threshold. Studies using direct vibrations [20] and low level WBV [21] have found no effect on blood lactate removal, measured by capillary blood sampling from the earlobe [22]. The disparity between the potential effect of WBV on lactate removal and the few studies which have reported a null effect might arise from the vibration stimulus being below the threshold required to facilitate lactate clearance.
The primary aim of this study was to evaluate whether lactate clearance following exhaustive cycling differed between males and females. The secondary aim was to determine if WBV was as effective at lactate clearance compared to stationary cycling or standing recovery modalities. It was hypothesized that there are sex-differences in venous blood lactate clearance (females are faster) and that WBV is an effective recovery modality following exhaustive exercise.
MATERIALS AND METHODS
Utilizing a three-way crossover design (Figure 1), subjects performed three different recovery modalities in random order, over three separate sessions following a 30 second (sec) Wingate Anaerobic cycle Test (WAnT). The three individual recovery modalities consisted of WBV, cycling and standing, which were executed for 30sec every 3.5 minutes (min) following the WAnT. Subjects sat in the same ‘rest’ chair for all 3.5 min periods following the 30 sec recovery modality. The recovery modality was performed for 30 sec because WBV exposure for longer than this causes accumulation of lactate in the blood [21,23]. This was confirmed with a pilot study verifying that the WBV recovery did not elicit additional accumulation in lactate levels compared to the other recovery conditions. WBV was elicited on the WAVETM vibration platform (Whole-body Advanced Vibration Exercise, Windsor, Ontario) which oscillates vertically up and down.
Figure 1: Crossover design for 3 recovery protocols.
Abbreviations: RPM: revolutions per minute; SEC: seconds; BM: body mass in kilograms; W: watts; MIN: minutes; WBV: whole body vibration.
Fourteen recreationally active males and females were recruited for this study. Sample size was based-upon earlier investigations [ 1,3,4 ] where five to seven subjects per group (male, female) provided sufficient power for comparison across recovery protocols with effects of moderate size (ES=0.80). Recreationally active was defined as self-reported participation in up to 3-hrs of accumulated physical activity a week, or engaging in three planned exercise sessions a week. Males [22.0±1.1years; 184.5±4.3cm; 79.8±10.5kg] were of similar age, but taller and heavier than the seven females [22.9±1.82years; 166.9±6.5cm; 63.9±9.2kg].
Subjects were instructed to maintain a consistent diet and were asked to refrain from caffeine consumption 12 hours (hrs) prior to each session. Subjects were encouraged to perform light to no exercise 24 hrs before each session and subject exclusion criteria consisted of any standard contraindication to WBV: neurological disorders, epilepsy, joint problems/implants, recent thrombosis, acute inflammation, lower back problems, and intense migraines, as described in the consent form. Females were excluded if they were taking hormonal birth control and all females were tested during the follicular phase (days 1 to 12) of their menstrual cycle. Subjects were informed both verbally and by way of written documentation of the procedures, risks, and benefits of the experiment. All subjects signed an informed written consent where all procedures were approved by the University Research Ethics Board and conformed to the declaration of Helsinki.
Following informed consent on day 1, subjects were asked to stand with feet shoulder-width-apart on the WAVETM platform to standardize the platform for body mass, position and stance. Tape was placed on the WAVETM platform (both heel and toe of subject’s shoes) allowing for consistent foot placement. Subject information (height, body mass) was used to calibrate the Velotron cycle ergometer and resistance torque for the WAnT. The torque factor was set to 9% body mass for males, and 7.5% body mass for females to account for differences in body build between sexes [24]. Each subject was fitted on the cycle ergometer for seat height, anterior/posterior seat position, handlebar height and anterior/posterior handlebar position. These bike settings were recorded and re-established in subsequent exercise sessions.
During each visit the subject rested supine on a hospital bed, while an indwelling venous catheter (18 - 21 gauge) was inserted into a prominent antecubital vein. The subject was encouraged to make minimal movements and refrain from talking to establish baseline lactate concentrations. Ten and 15 min following the insertion of the venous line, lactate was measured by withdrawing and discarding 1ml of dead space, then sampling ~1 millilitre (ml) venous blood and placing this sample in a Lactate Pro monitor to determine lactate concentration (KDK Corporation, Arkay factory inc., Kyoto, Japan). If the two resting values differed by >2 mill moles per litre (mmol/L) the subject continued to rest for another 5 min until values were similar to ensure resting concentration. The line was flushed with 1-3 ml of sterile saline following each measure to prevent clotting.
Subsequent to baseline measures of lactate, the subject began 5 min warm-up on a Velotron cycle ergometer at a cadence of approximately 60 revolutions per minute (rpm) at 100 Watts (W). Following the warm up, a 30 sec preparatory period was completed to prepare for the WAnT. Subjects were instructed to maintain 60 rpm at 100 W for the first 20 sec of this period and then increase cadence to 100 rpm over the next 5-sec. During the final 5sec of the lead in, subjects reached maximum cadence and attempted to maintain this for 30sec. Verbal encouragement was provided. The Velotron cycle ergometer provided peak, mean and minimum power values. Anaerobic power was calculated dividing the peak power in W by subject’s body weight while anaerobic capacity uses the mean power divided by the body weight. Fatigue Index is defined as the difference between peak and minimum power output divided by the duration of the test, in this case 30sec.
Immediately following the WAnT, a blood lactate sample was taken while the subject was still on the Velotron bike and the 3.5 min passive recovery began. Following the 3.5 min, a 30sec recovery modality (WBV, standing, cycling) was implemented (Figure 1) where a blood lactate sample was taken at the onset of the seated 3.5 min rest period. The subjects repeated these 4 min intervals (30sec of recovery, lactate sample at onset of 3.5 min of rest) until blood lactate concentration were ≤4.0 mmol/L. Each of the three recovery sessions (WBV, standing, cycling) were separated by 48 hrs to a maximum of 4 days between two tests.
For the standing recovery protocol subjects stood on an inactive WAVETM platform with their feet, in athletic shoes, on pre-set markings. They were instructed to maintain a 20° semi-squat position for the entire 30sec.The WBV recovery protocol utilizes the same method as standing with the addition of vibration at a frequency of 35 hertz (Hz) and amplitude of 2 mm. The third recovery modality consisted of 30-sec of cycling at a cadence of 60 rpm at 100 W.
Analysis was performed using IBM Statistical Package for the Social Sciences version 19.0 (SPSS Inc., Chicago, IL). Independent t-tests were employed to determine whether baseline differences were evident between males and females for subject characteristics (height, body mass) as well as performance measures from the WAnT (peak and mean power, anaerobic power and capacity, and fatigue index). To determine the effectiveness of WBV on lactate clearance a 3 (recovery modality) X 2 (sex) X 16 (time) repeated measures analysis of variance (ANOVA) was performed. The sixteen time points represent pre and post measures as well as the 4 min time intervals until lactate dropped below 4mmol/L. The time analysis was also truncated at 28min and re-executed because in the cycling condition all male subjects had dropped below the 4mmol/L threshold and only 2 male subjects remained in the WBV condition. Thus, there was insufficient data to conduct statistical analyses past this time point. Lactate clearance times were normalized and compared across relative time points between males and females with a 2 (sex) X 3 (condition) X 4 (time points; 25, 50, 75 and 100% of total time to recovery) repeated measures ANOVA. The time limit required to reach recovery (t-lim) was the time it took subjects to lower their blood lactate concentration to<4mmol/L following the WAnT. The 25, 50 and 75% values were calculated based-upon each individual’s t-lim. As lactate measures were recorded every 4 min, if the 25, 50 or 75% time was in-between readings an average of the two lactate readings was used. Tukeys post- hoc tests were used to identify differences when statistically significant interactions were found. The level of significance was set at p< 0.05. Data in the text and tables are presented as values ± standard deviation of the mean (SDM), whereas figures are reported as values ± standard error of the mean (SEM).
RESULTS AND DISCUSSION
The performance measures of mean and peak power, anaerobic power and capacity, and fatigue index obtained from the WAnT output did not differ between the three sessions for the males or females (p>0.05); however, males had greater power, anaerobic capacity, and fatigue indices relative to females (Table 1). To ensure lactate liberation was not excessive due to the 5 min warm up in males and females blood lactate levels for 4 subjects was measured and determined to change negligibly relative to rest (≤1mmol/L). Thus, it was assumed the warmup procedure did not have a significant effect on the increase in blood lactate. Resting lactate values did not differ between the three sessions for either the males or females. However, across all sessions females had a lower resting concentration of blood lactate (1.1±0.3 mmol/L) when compared with males (1.4±0.4 mmol/L) (p≤0.001) (Table 2).
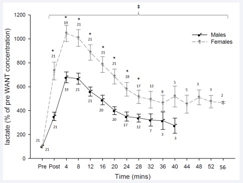
The 3 (recovery modality) X 2 (sex) X 9 (time) repeated measures ANOVA for blood lactate was non-significant (p=0.43). The condition X time interaction was significant (p=0.003). The lactate clearance times in standing and WBV were slower than cycling (Figure 2). The time X sex interaction was significant (p=0.003) for lactate clearance (Figure 3). Four min following the 30 sec WAnT, peak lactate concentration increased approximately 9-fold in females to 10.9±1.9 mmol/L whereas in males the increase was 5-fold to an absolute level of 9.4±1.6 mmol/L (p<0.001). Lactate levels were statistically higher in females compared to males up to 28 min; thereafter females remained elevated and took an additional 16 min to achieve < 4 mmol/L (Figures 3). Total clearance time in females ranged from 20-56 min and 12–40 min in males. Thus, the total clearance time for lactate was longer in females (35.6±9.1 min) compared with males (28.4± 6.3 min) (p≤0.001) irrespective of recovery condition.
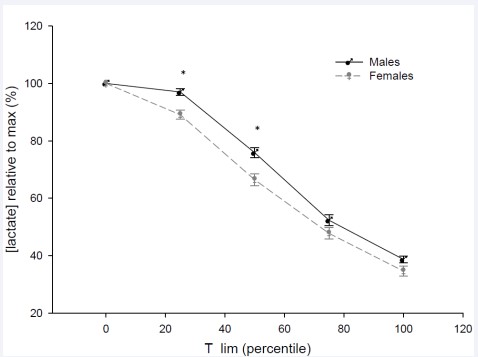
The amount of lactate cleared was normalized for the total duration of recovery as females and males differed in absolute lactate concentration and recovery times for clearance, but at the completion of the recovery protocol males and females achieved similar lactate values. A significant time X sex interaction was evident in clearance rates (p<0.001) (Figure 4). The interaction occurs because the early (25% and 50% t-rec) lactate clearance
Table 1: Performance measures during WAnT.
| Measure | Males | Females |
| Peak power (W) | 936.3 ± 65.0 | 559.3 ± 93.7* |
| Mean power (W) | 621.9 ± 78.7 | 366.4 ± 59.9* |
| Anaerobic capacity (W/Kg) | 7.8 ± 0.4 | 5.7 ± 0.2* |
| Anaerobic power (W/Kg) | 11.7 ± 1.1 | 8.8 ± 0.8* |
| Fatigue index (W/sec) | 17.1 ± 4.3 | 10.6 ± 1.8* |
Abbreviations: Values are means ± SD; W: Watts; Kg: kilogram; Sec: seconds.
*Significantly different from males
Table 2: Blood lactate concentrations before and after WAnT.
| Time | Standing (mmol/L) | WBV (mmol/L) | Cycling (mmol/L) | ||
| Males | Females | Males | Females | Males | |
| Pre | 1.43 ± 0.38 N=7 | 1.11 ± 0.29* N=7 | 1.56 ± 0.44 N=7 | 0.97 ± 0.18* N=7 | 1.45 ± 0.39 N=7 |
| Post | 3.74 ± 1.39 N=7 | 6.33 ± 2.94* N=7 | 5.73 ± 1.25 N=7 | 7.97 ± 2.88* N=7 | 4.86 ± 1.26 N=7 |
| 4 min | 9.18 ± 1.22 N=7 | 10.25 ± 2.39 N=7 | 9.43 ± 1.78 N=7 | 11.66 ± 1.62* N=7 | 9.58 ± 1.95 N=7 |
| 8 min | 9.46 ± 0.71 N=7 | 9.89 ± 2.67 N=7 | 9.33 ± 0.67 N=7 | 10.41 ± 1.62* N=7 | 8.74 ± 1.34 N=7 |
| 12 min |
8.49 ± 0.78 N=7 |
8.61 ± 1.90 N=7 | 7.44 ± 1.00 N=7 | 9.19 ± 1.75* N=7 | 7.29 ± 1.15 N=7 |
| 16 min | 7.47 ± 1.15 N=7 | 8.00 ± 2.24 N=7 | 6.52 ± 1.27 N=7 | 8.23 ± 2.02* N=7 | 5.81 ± 1.09 N=7 |
| 20 min | 6.11 ± 0.74 N=7 | 7.07 ± 2.01 N=7 | 5.35 ± 1.09 N=7 | 7.23 ± 1.99* N=7 | 4.74 ± 0.87 N=7 |
| 24 min | 5.31 ± 1.00 N=7 | 6.45 ± 1.08* N=6 | 4.62 ± 1.20 N=5 | 6.13 ± 1.69* N=7 | 4.04 ± 0.74 N=5 |
| 28 min | 4.49 ± 0.95 N=7 | 5.77 ± 1.34* N=6 | 4.40 ± 1.00 N=3 | 5.37 ± 1.31 N=7 | 3.65 ± 0.07 N=2 |
Abbreviations: Values are means ± SD. mmol/L: Millimoles per litre; N: Number of subjects remaining (lactate concentration ≥4.0Mmol/L).
*Significantly different from males in the same recovery condition.
Figure 2: Average lactate before and after the WAnT test normalized to the pre-WAnT values collapsed across sex. The condition X time interaction (p=0.003) occurred because the cycling condition at 28 minutes had males completing the recovery task (3.65 ± 0.04 mmol/L) while females continued to clear lactate at 32 minutes. Thus, the remaining females at 32 minutes had a greater lactate concentration (4.8 ± 0.65 mmol/L) than the value at 28 minutes which included males. *Significantly different than Pre. %, percent; pre, average of resting values before WAnT; post, value immediately after the WAnT; Min: Minutes.
Figure 3: Average lactate collapsed across condition relative to pre WAnT [lactate].The values above each symbol indicate the number of subjects included at each data point. Because the statistical procedure collapses across conditions and all participants completed all recovery protocols the resultant sample is 21 males and 21 females. *Females significantly different than males; ‡ significantly different than Pre. %, percent; pre, average of resting values pre WAnT; post, value immediately after the WAnT; Min: Minutes.
occurred faster in females compared with males (p=0.001). No significant time X condition effect occurred for relative clearance time (p=0.78). Thus, in all conditions females cleared more blood lactate in a relatively less amount of time compared with males. Females have a higher proportion of type 1 muscle fibers [7], lower RER and thus less reliance on glycogen during exercise [15] compared to males. Females accumulate higher concentrations of blood lactate than males, for the same relative workload and these females were able to normalize their serum lactate concentration faster during recovery than the males, relative to their higher peak lactate concentration achieved following the exhaustive exercise bout.
There were four key findings in this study: 1) WBV was not different than standing as a recovery method following high intensity exercise in males or females; 2) Females reached higher peak lactate levels than males following high intensity cycling; 3) Lactate removal took longer in females than males, but; 4) The higher quantity of lactate was cleared at a relative faster rate in females.
Increasing the intensity of WBV to 35Hz at 2mm did not allow for more efficient blood lactate clearance relative to standing, even though this intensity is considered sufficient to increase blood flow and benefit recovery. This is in agreement with, and furthers the results of, Carrasco et al. (2011) who investigated the effect of acute WBV (20Hz; 6 mm) on subjects seated with only their feet placed on the platform. Similarly, Edge et al. [22] investigated the effect of acute WBV (12Hz; 6mm), on recovery, following a 3 km time trial in 60 sec intervals totalling 15 min. Both studies used capillary blood samples whereas this study employed an indwelling catheter for direct venous sampling. We had hypothesized that an increased frequency of vibration coupled with more sensitive measurement of lactate would result in increased lactate clearance. Nevertheless, it appears that the increased frequency does not facilitate lactate clearance; despite the numerous indications that WBV may facilitate lactate clearance by increased peripheral circulation [17], muscle blood flow [25], and muscle temperature [16].
Females reached higher peak blood lactate values than males following high intensity exercise. We attempted to control for sex differences in relative muscle mass by having females conduct the WAnT at 7.5% of their body mass, whereas males performed the WAnT at 9% of body mass. This finding of higher peak lactate in females is not in agreement with previous studies done on middle and older aged athletes [8], and young athletic swimmers [26]. Both studies reported no sex differences in peak blood lactate concentrations; however, these studies used sprint running tests to elicit lactate accumulation. The differential accumulation of lactate between males and females in this study may be due to muscular contribution to high intensity cycling compared with running [27]. Further, all experimental testing on females was conducted during the follicular phase of the menstrual cycle. Peak blood lactate accumulation is higher during the follicular phase, as a consequence of lower accumulation in the luteal phase [28]. Thus, it is possible that during the luteal phase, when lactate accumulation is lower in females, peak values may be similar between sexes. This has strong implication for the timing of ‘peak’ performance in females relative to males.
Across all three conditions, females cleared more lactate
Figure 4: Amount of lactate cleared with respect to time following the WAnT between males and females. All values were normalized to T lim (total clearance time for each subject). *Females significantly different than males. Max, highest lactate concentration obtained following the WAnT; %, percent, T lim, total time taken for each subject to lower their individual blood lactate concentration < 4 mmol/L.
in the recovery period than males. Clearance rates following exercise are dependent upon recovery intensity [5,29,30], peak lactate concentrations, and percent of slow twitch fibres [29]. Differences in lactate clearance might be due to the recovery protocol for cycling and WBV being performed at a higher relative intensity in females. However this is unlikely as lactate clearance also occurred at a faster rate in the standing condition for the females. Overall, the optimal recovery intensity [3] is 40% of maximal aerobic capacity and females and males may not have been working at the same relative intensity. In endurance trained athletes the recovery rate is enhanced as Type 1 fibres because of their higher oxidative capacity to remove lactate [31- 33]. Studies examining the vastus lateralis, reported that females had a greater number and larger size of Type 1 fibres than males [34,35], which would contribute to faster lactate clearance as observed in this study. Females also attained higher peak lactate concentrations than males. A higher peak lactate concentration results in a faster clearance rate [10] as observed in this study. The contribution of fibre type and absolute lactate levels should be further evaluated with consideration of sex differences.
This study was conducted to examine sex differences in lactate removal and the effectiveness of a novel recovery protocol – WBV. Significant sex-differences were found but WBV did not have a positive benefit for lactate clearance following high intensity exercise. To further analyze the effects of the observed sex differences future research should aim to optimize sensitive measurement methodology. A limitation of this study was that lactate samples were taken via a venous catheter and analyzed using a Lactate Pro™ monitor. Improvements on these measures may be obtained through sampling of arterial blood, including both pH and enzyme assays to more accurately measure lactate. A second limitation was that we assumed that all subjects were recreationally active from self-report questionnaires without evaluating maximal oxygen uptake or lactate threshold as a measure of fitness capacity. There is evidence [10] to suggest that more aerobically fit individuals will clear blood lactate faster than less fit individuals. Therefore, our group of females may have been more fit that the comparison male group. Standardizing of work rates, relative to individual fitness capacity will assist in understanding sex-differences in lactate clearance.
CONCLUSION
This study highlights sex-differences in lactate clearance following exhaustive exercise. Females reached a higher peak lactate level following the WAnT but cleared their higher levels in a relatively faster time than males. This emphasizes that sexdifferences do exist in response to exercise. These variances are possibly the result of differences in muscle fiber type and RER. Thus, when designing recovery protocols the effect of sex should be taken into consideration. The use of WBV is shown to be beneficial for performance outcomes and in chronic health conditions; however, the specific use of it as a recovery tool to clear blood lactate following exhaustive exercise seems negligible as compared to standing or stationary cycling.
ACKNOWLEDGEMENTS
The authors would like to acknowledge N Karn and S Bigsby for their assistance with data collection; P Ainslie, C Willie, C Crockett, B Taylor, and D McCullough for their assistance with blood sampling. Drs C Amara, T Hazell and J Kowalchuk for commenting on an earlier manuscript.


![Figure 3 Average lactate collapsed across condition relative to pre WAnT [lactate].The values above each symbol indicate the number of subjects included at each data point. Because the statistical procedure collapses across conditions and all participants completed all recovery protocols the resultant sample is 21 males and 21 females. *Females significantly different than males; ‡ significantly different than Pre. %, percent; pre, average of resting values pre WAnT; post, value immediately after the WAnT; Min: Minutes.](https://www.jscimedcentral.com/public/assets/images/uploads/image-1673267661-1.jpg)
