Ten Minutes Ergometer Rowing Exercise Increases Pressure Pain Thresholds in High Performance Rowers
- 1. Department of Orthopaedics and Trauma, Queens Medical Centre, UK
- 2. Division of Rheumatology, University of Nottingham, UK
Abstract
Background: Mechanical hypoalgesia has been demonstrated following bouts of acute exercise. The pain relieving properties of exercise thus have the potential to be utilised to help manage painful musculoskeletal conditions, such as osteoarthritis. The mechanisms that underlie this exercise - induced hypoalgesia are poorly understood; as is the type of exercise, the duration and the intensity required to produce hypoalgesia. A complete knowledge of these factors is required before therapeutic exercise programs for pain management can be implemented on an evidence basis in the clinical setting. This research provides a clearly defined exercise protocol which induces hypoalgesia.
Hypothesis: Ten minutes ergometer rowing increases pressure pain thresholds in high performance rowers.
Study design: Laboratory Study, within - group repeated measures
Methods: 20 high performance rowers (13M:7F; mean age: 20.8 years ± 1.74) had pressure pain threshold measurements performed at three anatomical sites (2 local, 1 remote) before and immediately following 10 minutes ergometer rowing at 50-80% estimated VO2max.
Results: Pressure pain thresholds were significantly increased (P < 0.05) at all anatomical locations post - exercise compared to pre - exercise.
Conclusions: High intensity ergometer rowing induces statistically and clinically significant mechanical hypoalgesia at both local and remote sites in high performance rowers.
Clinical relevance: Ergometer rowing is a low impact activity that may prove beneficial in the management of painful joint and muscle conditions, such as osteoarthritis
Keywords
Pain , Rowing , Pressure pain threshold , Exercise
Citation
Simpson AI*, Pearson RG, and Scammell BE (2016) Ten Minutes Ergometer Rowing Exercise Increases Pressure Pain Thresholds in High Performance Rowers. Ann Sports Med Res 3(7): 1087.
INTRODUCTION
Mechanical hypoalgesia has been demonstrated following bouts of acute exercise [1-5]. However, 10 minutes of exercise at 75% VO2max has also been stated to be insufficient to produce exercise induced analgesia [6]. The pain relieving properties of exercise thus have the potential to be utilised to help manage painful musculoskeletal conditions, such as osteoarthritis. The mechanisms that underlie this exercise - induced hypoalgesia are poorly understood, as is the type of exercise, the duration and the intensity required to produce hypoalgesia. A complete knowledge of all these factors is required before therapeutic exercise programs for pain management can be implemented on an evidence basis in the clinical setting. This research provides a clearly defined exercise protocol which induces hypoalgesia. Running and cycling are the most common exercise modalities tested and reported in the literature and have resulted in alterations in pain perception in multiple studies [2,7-10]. A number of painful stimuli have been employed to quantify the hypoalgesia; including ischaemic, thermal, electrical and pressure stimuli. Recent evidence indicates that pressure pain threshold test - retest reliability is robust and consistent [11] and the least variable modality of quantitative sensory testing (QST) [12]. Focal pressure stimuli are also an appropriate modality for the assessment of pain related to orthopaedic and rheumatologic conditions [13]. This study has quantified the effect of rowing on pain perception and more specifically pressure pain thresholds in individual rowers. Only one previous study has reported a similar investigation which demonstrated that rowing in synchrony as a crew increases pain thresholds compared to rowing alone but this study applied ischaemic pain caused by inflation of a sphygmomanometer [14].
Indoor ergometer rowing is a low impact activity with a defined range of movement which minimises twisting, thus can be an appropriate exercise for individuals with knee osteoarthritis (OA) in which impact activities, such as running are contraindicated. Ergometer rowing machines are an accessible piece of equipment to the public in fitness centres and rowing clubs and thus represent an exercise alternative to the more commonly performed running and cycling.
Biomechanical factors including deterioration in muscle strength, particularly quadriceps, and joint malposition are strongly associated with knee OA, its initiation and progression [15]. A cure for OA remains elusive; however, manipulation of contributing factors such as poor muscle strength and high body mass index (BMI) associated with poor physical fitness can be achieved through therapeutic exercise. A recent Cochrane review concluded there is ‘platinum level evidence that land - based therapeutic exercise has at least short term benefit in terms of reduced knee pain and improved physical function for people with knee OA’ [15]. Thus in addition to the advantages of reduced BMI, increased muscle strength and improved general physical fitness that can be achieved through regular exercise there is the potential to manipulate pain perception [16].
This study defined that a quantitative effect from an acute bout of high intensity ergometer rowing altered pain perception, as measured by pressure pain thresholds, in a cohort of high performance rowers. We hypothesised that pressure pain thresholds would increase post-exercise compared to pre - exercise baseline measurements in both men and women.
MATERIALS AND METHODS
Participants
A within - group repeated measures design was used. The number of subjects was determined by a difference of 20% in pressure pain thresholds with a power of 0.80 and an alpha of 0.05. This was based on a previous study from our department assessing pressure pain thresholds in patients with osteoarthritis in which a difference in pressure pain threshold of 20% correlated with improved pain perception.
Participants were recruited from university first eight rowing crews and independent high performance rowing crews training for Great Britain rowing squads. Recruitment was made by personal invitation and follow-up email to Boat Club Presidents with subsequent individual consent obtained from all participants. Ethics approval was provided via The University of Nottingham Ethics Committee.
The Physical Activity Readiness Questionnaire (PAR-Q) was used to screen all athletes for their medical fitness to confirm their capacity to exercise before commencement of testing. In addition, any current joint, bone or muscle pain excluded participants. All athletes attended a 45-minute testing session. For logistical purposes male participants were tested in university facilities and female participants were tested at their training centre. All testing was supervised by a medically-qualified doctor.
Pressure pain threshold testing
Patients received pressure pain threshold testing before and immediately following a period of strenuous exercise. Each participant was introduced to pressure algometry using the intermediate phalanx of the index finger of the right hand as a training site prior to all testing. Triplicate pressure pain threshold measurements were taken at three anatomical sites: the medial joint line of the right knee 1cm medial to the patella tendon; 10cm distal to the joint line on the anteromedial border of the tibia of the right leg; and 4cm distal to the suprasternal notch. Anatomical site location was selected based on a pilot study of the test - retest reliability of pressure pain threshold [17]. Pressure pain threshold testing was conducted in a cyclical fashion ensuring no one site was consecutively tested. Pressure pain threshold was recorded via a button press by the participant.
Pressure was applied from a minimum of 10N/m2 at a constant rate increase of 50N/m2 /second, via a 1cm2 pressure algometer tip to a maximum possible application pressure of 2000N/m2 . The pressure algometer was calibrated before testing using the Somedic 10N calibration weight. Threshold testing was conducted with the participant on a couch at 45 degrees supine with the right knee held at 90 degrees flexion. Pressure was applied perpendicular to the skin.
Exercise protocol
An example of the data collected during the exercise period; distance, power output, strokes per minute and heart rate; are represented graphically in Figure (1). Participants completed 10 minutes of sustained exercise on a rowing machine at an estimated intensity of 50-80% of their VO2max. VO2max was not directly measured using an oxygen consumption device. VO2max was estimated from a formula proposed by Swain et al., [18] based on estimated maximum heart rate (MHR): %MHR = 0.64 x %VO2max + 37
Male participant maximum heart rates (HR) were estimated using the commonly accepted formula:
HR = 220 - Age
Figure 1: Example monitoring of study participant recording distance rowed, power output, strokes per minute (SPM), and heart rate (HR) during the prescribed exercise, between 50-80% estimated VO2max, on a rowing ergometer.
Female participant maximum HR were estimated using a formula proposed for female athletes by Gulati et al., [19] which takes into account the often overestimation of heart rate of the above formula when applied to females:
HR = 206 - (0.88 x Age)
This resulted in tables being drawn up for all ages within the recruitment criteria of 18-35 years for both male and female participants; 50% VO2max being equivalent to 69% MHR and 80% VO2max equivalent to 82% MHR. For example an 18 year old male 69% MHR was 139 and 82% was 166 beats per minute. This enabled simple monitoring of participant exertion during exercise.
Heart rate and blood pressure
Heart rate and blood pressure were recorded at rest with the participant seated pre - exercise using non-invasive techniques. Heart rate was then monitored throughout exercise using a chest strap linked to a display screen visible to the participant, allowing maintenance of an estimated VO2max of between 50-80% based on HR. Heart rate and blood pressure were taken once more at 2 minutes 30 seconds post - exercise to allow completion of pressure pain threshold testing immediately post - exercise and to assess physiological recovery after a defined period of time.
Materials
Exercise was conducted on a Model D (Concept 2®, UK) rowing machine with PM3 monitor designed to capture moment by moment rowing performance. Pressure pain threshold was performed using a pressure algometer with a 1cm2 probe area and Sense BOX (Somedic, Sweden). Heart rate was monitored using a chest strap (Pulsar) and body fat percentage was estimated using skin pinch callipers 2.5cm superior to the anterior superior iliac spine. Participants were required to complete the Short - Form 36 (SF-36) quality of life (QoL) questionnaire and the Godin Leisure - Time Exercise questionnaire prior to testing. Following exercise participants rated their perceived exertion on the Borg Rating of Perceived Exertion (RPE) scale
Design and analyses
Participant pressure pain thresholds were measured in triplicate and mean values of pre - and post - exercise PPT were used for statistical comparison. Dependent measures included pressure pain threshold of the medial joint line of the right knee, of the anterior tibia, and of the sternum.
All statistical analyses were performed using SPSS 17.00 software package. Change in PPT was analysed using Student’s paired t-test. Anatomical sites were compared using Friedman test with post - hoc Wilcoxon signed - rank tests plus Bonferroni correction. Correlations between outcome measures were sought using Pearson correlation and male and female participants were compared using Mann - Whitney U test. A P-value of < 0.05 was considered statistically significant.
RESULTS
Patient demographics and characteristics
Twenty elite rowers participated in this study. All athletes fulfilled the requirements of the PAR-Q and no athletes were excluded for any other reason. They had a mean age of 20.8 years (SD: 1.74) and 7 were female. There was a mean rowing experience of 4.3 years (SD: 2.5) with all participants performing strenuous exercise a minimum of 9 times per week (Mean leisure time score 137.8; SD: 35.4). All participants had a BMI within normal range with a mean of 22.48 kgm-1 (SD: 1.76) and mean estimated body fat was 8.4% (SD: 5.9) with females having a higher mean value than the males (15.6% vs. 4.6%). Mean age was 20.8 years (SD: 1.74) with a range of 19-26. Participant characteristics are summarised in Table (1).
Change in pressure pain threshold
All anatomical sites demonstrated a significant increase in pressure pain threshold post - exercise compared to pre -exercise baseline measures. The difference between pre - and post - exercise PPT were normally distributed allowing data analysis to be treated as parametric, investigated using Normal Q-Q plot. The anterior tibia demonstrated the largest mean increase in PPT of 113.6Nm-2 (95% CI: 83.8 - 143.3Nm-2; P < 0.001) representing a mean percentage increase of 28%. The medial joint line of the right knee demonstrated a mean increase in PPT of 102.1Nm2 (95% CI: 48.1 - 156.1Nm-2; P = 0.002) representing a mean
Table 1: Mean and standard deviation (SD) values for participant characteristics, years of rowing experience and baseline activity levels assessed using Godin Leisure - Time exercise score.
| Parameter | mean | SD |
| Gender (n = 20) | 13M:7F | |
| Age (Years) | 20.8 | 1.74 |
| Height (cm) | 183.1 | 8.32 |
| Weight (kg) | 75.69 | 10.24 |
| BMI (kgm-1) | 22.48 | 1.76 |
| Body Fat (%) | 8.4 | 5.9 |
| -Male | 4.6 | 2.7 |
| -Female | 15.6 | 2.3 |
| Rowing Experience (Years) | 4.3 | 2.5 |
| Leisure-Time Score | 137.8 | 35.4 |
Figure 2: Mean difference in the pain threshold evaluated pre-and post-exercise at each anatomical site (mean, 95% CI).
percentage increase of 20.1%. The sternum demonstrated the least mean increase in PPT of 56.9Nm-2 (95% CI: 30.4 - 83.5Nm2 ; P < 0.001) - a mean percentage increase of 13.7% (Table 2, Figure 2). A retrospective power analysis of changes in PPT at each anatomical site identified the power was > 96% in each case.
Comparison of anatomical sites
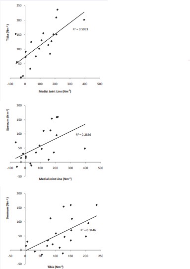
There were significant differences in PPT at all anatomical sites tested. The medial joint line demonstrated significantly higher PPT values at both pre - exercise baseline measurements and post - exercise than the anterior tibia and sternum (P < 0.001). The anterior tibia demonstrated significantly higher PPT pre - and post - exercise than the sternum (P < 0.001). The anterior tibia also demonstrated the greatest absolute and percentage increase in PPT with the sternum demonstrating the least change. Pressure pain threshold measurements at each anatomical site were significantly correlated with values recorded at the other two sites, as demonstrated in Figure (3).
Figure 3 Mean difference between pre and post-exercise pressure pain thresholds correlations between anatomical sites. Pearson Correlation: A Medial Joint Line-Tibia, r = 0.716 (P < 0.001); B Medial Joint Line-Sternum, r = 0.456 (P = 0.043); and C Tibia and Sternum, r = 0.445 (P = 0.05).
Comparison of sexes
Male participants had significantly higher PPT pre - and post - exercise than female participants (P < 0.043) apart from the post - exercise medial joint line measurement (P = 0.104). However, there was no significant difference in exercise - induced change in PPT at any site between male and female participants (P > 0.501). Men rowed significantly further (P = 0.002), and had a higher mean power output (P = 0.004). Male and female outcome measures and comparisons are summarised in Table (3).
Relationship between PPT, exercise intensity and physiological measures
Exercise intensity and physiological measures are summarised in Table (4). The change in pressure pain threshold at the sternum was significantly correlated with the distance rowed and power output (P < 0.045). Change in PPT at all other anatomical sites demonstrated no significant correlation with measures of exercise intensity (p > 0.05). Perceived exercise intensity as measured by the Borg Category Rating Scale demonstrated a median value of 13 (Range: 7-18) and did not correlate with any measure.
Years of rowing experience was significantly correlated with resting heart rate (P = 0.021). Estimated body fat percentage was inversely correlated with distance rowed, calories burnt and power output (P < 0.012), however significance is not maintained when male and female participants are analysed separately. Participants reported no untoward outcomes from testing and no participants withdrew from the study.
DISCUSSION
This novel pilot study assessed the effect of 10 minutes high intensity ergometer rowing on pressure pain thresholds in high performance rowers. In the 20 participants tested mean pressure pain threshold increased significantly at all anatomical sites both local and remote. The magnitude of hypoalgesia induced by exercise varied between anatomical site with the anterior tibia demonstrating the greatest increase and the sternum the least. This increase in PPT at both the appendicular sites of the knee and tibia and at the central site of the sternum suggests
Table 2: Change between the pre and post-exercise pressure pain threshold at each of the Medial Joint Line, Anterior Tibia and Sternum anatomical sites (§ paired Student’s t-test).
| Anatomical Site | Mean Difference (Nm-2) | 95% Confidence Intervals | Percentage Difference (%) | P Value § |
| Medial Joint Line | 102.1 | 48.1-156.1 | 20.1 | 0.002 |
| Anterior Tibia | 113.6 | 83.8-143.3 | 28 | <0.001 |
| Sternum | 56.9 | 30.4-83.5 | 13.7 | < 0.001 |
Table 3: Comparison of male and female pressure pain thresholds pre and post-rowing ergometer exercise (Mann-Whitney U, mean values).
| Parameter | Male | Female | P value |
| Pre - Exercise Medial Joint Line PPT (Nm-2) | 645.8 | 363.7 | 0.029 |
| Post - Exercise Medial Joint Line PPT (Nm-2) | 735.8 | 488.3 | 0.104 |
| Pre - Exercise Anterior Tibia PPT (Nm-2) | 519.2 | 301.9 | 0.024 |
| Post - Exercise Anterior Tibia PPT (Nm-2) | 634.1 | 413.1 | 0.043 |
| Pre - Exercise Sternum PPT (Nm-2) | 399.5 | 197.0 | 0.016 |
| Post - Exercise Sternum PPT (Nm-2) | 463.5 | 240.7 | 0.019 |
| Distance Rowed (metres) | 2720.1 | 2481.8 | 0.002 |
| Power Output (watts) | 261.4 | 200.3 | 0.004 |
Table 4: Exercise - related outcomes and physiological measures from all participants (n = 20).
| Parameter | mean | SD |
| Distance Rowed (m) | 2636.68 | 173.68 |
| Split (/500m) (mins: secs) | 1:54.3 | 0:08.1 |
| Strokes per minute | 22.3 | 2.7 |
| Power Output (Watts) | 240.0 | 44.6 |
| Pre - Exercise HR (bpm) | 62 | 7 |
| Pre - Exercise BP (mmHg) | 134/73 | 13/12 |
| Post - Exercise HR (bpm) | 86 | 18 |
| Post - Exercise BP (mmHg) | 134/73 | 16/13 |
| Perceived Exertion | 12 (median) | 7-18 (range) |
that exercise causes a global increase in PPT and is not limited to sites situated next to large highly exercised muscle tissues. This is reaffirmed by the finding that the degree of hypoalgesia demonstrated is significantly correlated between anatomical sites, signifying that the increase in PPT at the knee is reflected by a proportional increase at the tibia and the sternum, and so forth. This is in agreement with other studies that have found immediate exercise-induced hypoalgesia at both local and remote sites from the exercised muscles [20] .
Subgroup analysis was performed comparing male with female participants. Male participants had significantly higher PPT at all anatomical sites both before and following exercise, apart from the post - exercise medial joint line PPT. This is in agreement with previous published studies demonstrating men having consistently higher PPT than women [21,22]. The anomalous result at the medial joint line is most likely due to the small number of participants in our cohort. Most interestingly, despite the gender difference in absolute PPT values there was no significant difference in the change in PPT induced by exercise. This suggests that gender plays little to no part in exercise -induced hypoalgesia.
Interestingly, the degree of hypoalgesia observed in this cohort did not correlate with perceived exercise intensity as measured by the Borg Category Rating Scale. Although this does not provide a complete assessment of the personal psychological evaluation of exercise by the participant it does suggest more of a physiological response causing hypoalgesia than psychological one. In addition, exercise - induced sternal hypoalgesia was significantly correlated with the physical measures of exercise intensity, including distance rowed, calories burnt and power output, although neither the medial joint line of the knee or the anterior tibia demonstrated any correlation.
A number of mechanisms have been postulated as to how exercise induces a hypoalgesic effect. The most widely lauded hypothesis is that of a centrally - mediated opioid mechanism, however, variable outcomes in studies addressing this hypothesis suggest that this is not an independent mechanism leading to hypoalgesia [1]. The modulation of descending inhibitory pathways within a central pain circuit has also been suggested in which effects are produced through the activation of proprioceptive and muscle afferents [23,24].
CONCLUSION
Ten minutes of indoor ergometer rowing at 50-80% estimated VO2max induces statistically and clinically significant mechanical hypoalgesia at both local and remote sites in high performance rowers. Females had significantly lower pressure pain thresholds than their male counterparts however there was no significant difference between the sexes in the degree of exercise - induced hypoalgesia demonstrated. Only the degree of hypoalgesia observed at the remote site correlated with physical exercise intensity but not perceived exercise intensity and no other measurement correlated with either physical or perceived exercise intensity. Ergometer rowing is a low impact activity which generates hypoalgesia at relatively high exercise intensities and may prove beneficial in the management of painful musculoskeletal conditions, such as OA.
IMPACT
This research supports rowing as an aerobic exercise modality that induces both local and remote pressure hypoalgesia. It specifically defines an exercise intensity of ten minutes at 50- 80% estimated VO2max at which hypoalgesia can clinically and statistically be detected to a significant level in elite athletes. We demonstrated a shorter exercise duration than the majority of previously documented which evoked an exercise - induced hypoalgesia response. Hoffman et al., [6] concluded that 10 minutes of exercise at 75% VO2max was inadequate to alter pain ratings in young, healthy volunteers. Hence, the results of this study continue to add to our understanding of the factors involved in exercise - induced hypoalgesia and progress us closer to the knowledge required to implement tailored exercise programs as pain management therapies in painful musculoskeletal conditions in both the athlete and the patient.
LIMITATIONS
The main limitation of this study is its size. A cohort of 20 participants was used based on a power calculation using data from a previous study we performed on the test - retest reliability of pressure pain threshold in knee osteoarthritis [17]. The small cohort also represented the fact that this was a pilot study and was also a logistically appropriate number considering the niche group of participants we were testing. Despite its size, however, the study has demonstrated clear and significant outcomes for drawing preliminary conclusions which are suitable for the basis of further studies.
This was an uncontrolled study and as such there is no comparison to non - athlete controls. This is a limitation of this study. We accept that further work must be done to discover whether the results obtained are transferable to a non - athlete group and even a potentially elderly, less mobile cohort. The questions thus remain as to whether other cohorts would be able to produce the required exercise intensity to induce hypoalgesia while rowing and to what extent the examined cohorts underlying chronic exercise impacted on the effects seen post - acute exercise.
Throughout this study we used the surrogate marker of heart rate to estimate VO2max. This is a limitation as it does not accurately measure exercise intensity. However, the formula we used to estimate VO2max through heart rate are validated and take into account gender difference. Equipment could be used to accurately measure VO2max during rowing.
FUTURE WORK
This study provides data which will contribute to the development and implementation of further studies. This study measured PPT immediately post - exercise. Future studies would aim to take repeat readings at 5, 10, 15, 30 and 60 minutes post - exercise. Koltyn et al., [3] documented exercise - induced hypoalgesia to persist for at least 15 minutes post - aerobic exercise. Kemppainen et al., [25] found hypoalgesia to persist for approximately 30 minutes, while Hoffman et al., [6] showed an analgesic effect at 5 minutes post - exercise but no significant result at 30 minutes.
This study indicates that hypoalgesia is obtained after 10 minutes of ergometer rowing at 50-80% VO2max. This reduced exercise duration compared to previous studies may be related to the exercise modality studied. Thus, future work would be to determine the shortest duration and lowest VO2max at which ergometer rowing could be performed to statistically and clinically detect hypoalgesia.
We aim to develop this line of research for pain management in knee osteoarthritis patients. Thus, our future work will identify if aspects of this research are translatable to a less active, more elderly cohort, where motivation to perform exercise may prove key [26-28]. This provides a challenge both as a researcher and as a clinician who may look to implement therapeutic exercise in the clinical setting. Hence, the appropriateness of the exercise intensities required to achieve hypoalgesia in a wide range of age groups of varying physical status necessitates investigation.


