Loading

Chemical Engineering and Process Techniques

Should “Ionic Liquids” also be used for Solid Ionic Compounds? Synthesis and Characterization of p-Anisidinium-Based Ionic Compounds

Research Article | Open Access | Volume 10 | Issue 1

  • 1. Department of Applied Sciences, Durban University of Technology, South Africa
+ Show More - Show Less
Corresponding Authors
Vuyolwethu Tokoyi, Durban University of Technology, Faculty of Applied Sciences, P O Box 1334, Durban, South Africa
Graphical abstract

Keywords

• Ionic Liquids

• Ionic Solids

• Melting Point

• p-Anisidinium

Citation

Tokoyi V, Kabane B, Deenadayalu N (2025) Should “Ionic Liquids” also be used for Solid Ionic Compounds? Synthesis and Characterization of p-Anisidinium-Based Ionic Compounds. Chem Eng Process Tech 10(1): 1097.

INTRODUCTION

ILs are continuously being explored because of their beneficial and tuneable physicochemical properties like excellent chemical stability, thermal stability, electrochemical stability, nonflammability, and negligible volatility [1]. They are composed of organic cations coupled with organic or inorganic anions producing organic molten salts in both liquid and solid forms (Figure 1), with a melting point that is usually below 100°C [2].

Figure 1 Common anions and cations used for producing ILs/ISs: [OAc] = Acetate, [N(CN)2] = Dicyanamide, [OTf] = Trifluoromethanesulfonate, [NTf2] = Bis(trifluoromethylsulfonyl)imide, [CF3CO2] = Trifluoroacetate, [BF4] = Tetrafluoroborate, [PF6] = Hexafluorophosphonate [1,2]

Figure 1: Common anions and cations used for producing ILs/ISs: [OAc] = Acetate, [N(CN)2] = Dicyanamide, [OTf] = Trifluoromethanesulfonate, [NTf2]= Bis(trifluoromethylsulfonyl)imide, [CF3CO2] = Trifluoroacetate, [BF4] = Tetrafluoroborate, [PF6] = Hexafluorophosphonate [1,2]

They are called ‘green’ and alternatives to organic solvents usually because of their properties being in line with the principles of Green Chemistry. However, there have been a lot of studies that reported potential toxicity [4], environmental hazards, and non-biodegradability of ILs [3,5,6], and this results from certain anions with cations interactions. Owing to their unique properties (especially the flowability of the liquid-state ILs and the commonly produced solid-state), they are versatile and widely used in chemical reaction processes as solvents and extractants [7], catalysts [8], in reaction media [9], lubricants, and batteries [3,10,11].

Several studies have been mostly focussing on the syntheses of imidazolium [12-14], pyridinium [4,13], phosphonium [14], and ammonium-based [4,15-18] ILs. Coupling of anions with these types of cations have been reported to produce both solid and liquid states of ILs, and this can be better understood using the structure-activity and cation-anion relationships when designing these ionic compounds. Nagarajan, Shaikh [19], synthesized three triazolium triflate-based acidic ILs with different alkyl chain substituents which resulted into colourless liquid products [Scheme 1].

Scheme 1 Synthesis of 1-alkyl-1,2,4-triazolium triflate.

Scheme 1: Synthesis of 1-alkyl-1,2,4-triazolium triflate.

Duan, Gu [13], explored ILs by synthesizing and characterizing based three 2-methylpyridinium compounds with trifluoroacetate (TFa), trifluoromethanesulfonate (OTf) and methanesulfonate (CH3 SO3 ) anions, producing both solid and liquid products shown in Figure 2.

 Figure 2 2-methylpyridinium-based ILs.

Figure 2: 2-methylpyridinium-based ILs.

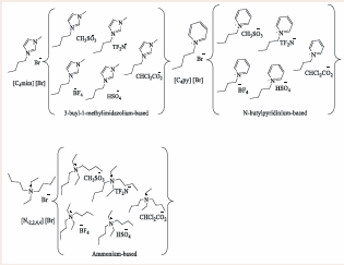
Hassan, Nazir [4], developed a series of ILs using 3-butylimidazolium, butylpyridinium and diethyldibutylammonium as cations, and bromide, methanesulfonate, bis(trifluoromethanesulfonyl) imide and dichloroacetate as ions. A metathesis method was used to produce these compounds and the resulting compounds were either in a liquid or a solid form and are presented in Figure 3.

Figure 3 Series of ionic compounds developed from 3-butyl-1 methylimidazolium, N-butylpyridinium and ammonium-based bromide ILs.

Figure 3: Series of ionic compounds developed from 3-butyl-1 methylimidazolium, N-butylpyridinium and ammonium-based bromide ILs.

From the previously reported compounds that have been synthesized and characterized, it is quite evident that several cations interact with anions differently, and a variety of anions coupled with the same cation have an overall influence on the state of the compounds [2]. In this study, three ionic compounds bearing a p-anisidinium cation were synthesized using a metathesis approach to produce p-anisidinium nitrite [p-Anis][NO2 ], p-anisidinium nitrate [p-Anis][NO3 ], and p-anisidinium acetate [p-Anis][OAc], which were obtained in a solid form. These compounds were characterized by the application of spectroscopic techniques namely nuclear magnetic resonance (NMR) and Fourier Transform Infrared Spectroscopy (FTIR), along with elemental analysis to confirm the structure and purity of the compounds. The compounds were further investigated for their thermal stability using DSC and TGA, and in addition, the melting point temperatures were determined to support the ISs perspective.

MATERIALS AND METHODS

 p-Anisidinium chloride (for synthesis, Sigma Aldrich), sodium acetate (anhydrous, AR, Glassworld), sodium nitrate (anhydrous, AR, Glassworld), sodium nitrite (anhydrous, AR, Glassworld), and chloroform (AR, Radchem)

Synthesis of p-anisidinium-based IS

Using a similar counterion metathesis method previously reported by Hassan, Nazir [4], a required amount of a pre-dried sodium acetate, sodium nitrite or sodium nitrate (0.02 mol) was transferred in a 250 mL round bottom flask (RBF), and then 100 mL of deionized water was added forming a solution. Separately, p-anisidinium chloride (0.02 mol) was dissolved in 50 mL of methanol (MeOH) and added to the mixture dropwise. The reaction was maintained at room temperature overnight and monitored by TLC to completion. After completion, the mixture was extracted with 10 mL (3X) of chloroform, and the organic layer was collected, dried in an oven at 40oC overnight, and then desiccated. The solid product obtained was analyzed using FTIR, 1H−NMR, elemental analysis, TGA and DSC (Figures 4).

 Figure 4 Schematic route for the ISs synthesized.

Figure 4: Schematic route for the ISs synthesized.

Characterization

The synthesized p-anisidinium-based ISs were characterized using a proton nuclear magnetic resonance (1H-NMR, Brucker Avance, 600 MHz, UKZN). A required amount (~5 mg) of a sample was dissolved in 1.5 mL of deuterated solvent (d6 ). Transform Infrared Spectroscopy (FTIR, Agilent Cary 360, DUT) of the compounds were obtained in the range of 4000-650 cm-1 at a resolution of 4 cm-1 and 120 scans per sample, to obtain optimum, smooth spectra. A required amount of a dried sample (~1 mg) was placed on a metallic attenuated total reflectance (ATR) stage fitted with a diamond. EA (Thermoscientific Flash 2000 organic elemental analyzer, UKZN) was conducted by combustion of a pre-weighed amount of sample (~2 mg). Thermal gravimetric analysis and differential scanning colorimetry (TGA and DSC, Mettler Toledo TGA/ DSC ISF Model1346, DUT) were recorded in a temperature range of 25oC – 800oC, under nitrogen atmosphere. Melting point values of the compounds were determined using a Cole-Parmer stuartTM (DUT) electrothermal melting point apparatus, with a digital thermometer where a required amount (± 2 mg) of a powdered sample was inserted into the glass capillary tube and then placed inside the apparatus.

RESULTS AND DISCUSSION

The synthesized ISs were obtained in good yield (87% 93%) and high purity as indicated by the number of protons observed in an 1H-NMR (Figure 5), spectra and EA, and the functional groups (Figure 6), within the compounds were identified using FTIR.

Figure 5 1H-NMR spectra for the synthesized ISs: (a) [p-Anis][Cl] (Starting  Material), (b) [p-Anis][NO2  ], (c) [p-Anis][NO3  ] and (d) [p-Anis][OAc]

Figure 5: 1H-NMR spectra for the synthesized ISs: (a) [p-Anis][Cl] (Starting Material), (b) [p-Anis][NO2 ], (c) [p-Anis][NO3 ] and (d) [p-Anis][OAc]

Figure 6 FTIR spectra of p-anisidinium based ISs.

Figure 6: FTIR spectra of p-anisidinium based ISs.

Spectroscopic data of the synthesized ISs

p-anisidinium nitrite [p-Anis][NO2 ]

State: Brown solid. Yield: 87%. 1 H-NMR: δH (600 MHz, DMSO, ppm) 3.75 (3H, J = 7.4 Hz), 7.16 (2H), 7.44 (2H), 10.27 (3H). FT-IR: (νmax/cm–1) 3365 (N-H), 3189 (C-H, Ar), 2079 (C=C-H), 1572 (C-N), 1483-1453 (C=C), 1330 (C-O). Elemental Analy.: Estimated: C: 49.41; H:5.92, N: 16.46, Found: C: 45.97, H: 4.94, N: 14.39. Melting point: 147 oC .

p-anisidinium nitrate [p-Anis][NO3 ]

State: Brown solid. Yield: 93%. 1 H-NMR: δH (600 MHz, DMSO, ppm) 3.78 (3H, J = 7.4 Hz), 7.16 (2H), 7.44 (2H), 10.42 (3H). FT-IR: (νmax/cm–1) 3343-3421 (N-H), 3227 (C-H, Ar), 2963 (C=C-H), 1172 (C-N), 1632 (C=C), 2836 (C-O). Elemental Analy.: Estimated: C: 45.16; H:5.41, N: 15.05, Found: C: 42.93, H: 4.06, N: 13.89. Melting point: 167 oC

p-anisidinium acetate [p-Anis][OAc]

State: brown solid. Yield: 90%. 1 H-NMR: δH (600 MHz, DMSO, ppm) 2.56 (3H), 3.89 (3H, J = 7.4 Hz), 4.45 (2H), 6.28 (2H), 8.23 (3H). FT-IR: (νmax/cm–1) 3343-3421 (N H), 3089 (C-H, Ar), 2836 (C=C-H), 1172 (C-N), 1502 (C=C), 2836 (C-O), 1632 (C=O). Elemental Analy.: Estimated: C: 59.04; H:7.20, N: 7.70, Found: C: 57.93, H: 6.76, N: 7.66. Melting point: 97 oC

Thermal properties of the synthesized ISs

Thermal stability and phase behaviour of the p-anisidinium-based ISs was studied using TGA and DSC, and the thermograms (Figure 7), were recorded and worked out using the STARe software (version 9.20).

Figure 7 TGA (a) and DSC (b) thermograms of p-anisidinium based ISs.

Figure 7: TGA (a) and DSC (b) thermograms of p-anisidinium based ISs.

Alkyl substituents, functional groups, coupled anions and cations have an impact on the overall thermal stability or phase behaviour of the resultant ionic compounds, either by decreasing or increasing the decomposition temperatures (Td) [20], and causing a phase change of the compounds to either melt (Tm) or crystallize (Tc) [21]. As per (Figure 7(a)), Td recorded for [p-Anis][Cl], [p-Anis][NO3 ], [p-Anis] [NO2 ], and [p-Anis][OAc], were found to be 301.3, 317.4, 260.5 and 244.2oC, respectively. Thus thermal stabilities of the ISs show the following ascending trend: [p-Anis][OAc] < [p-Anis][NO2 ] < [p-Anis][Cl] < [p-Anis][NO3 ].

In Figure 7(b), all the examined ISs exhibited a glass transition phase (Tg) at 36oC, and upon further heating only [p-Anis][OAc] exhibited a semicrystalline nature while the rest ISs were amorphous. The illustrated heat flow curves at 62oC and 238.1oC for [p-Anis][OAc], 228.0oC and 285.1oC for [p-Anis][Cl], and 252.3oC for both [p-Anis] [NO2 ] and [p-Anis][NO3 ] are associated to the crystalline transition phase tendency.

CONCLUSION

In this study, the perspective of using the term ISs rather than ILs for solid state compounds with higher melting points than common ILs with melting points below 100°C, was proven to be suitable and applicable for NO2 and NO3 −based ionic compounds. Three p-anisidinium based ISs were synthesized using a counterion metathesis approach and characterized to validate their structural C−H framework, purity, and thermal properties. The obtained spectroscopic data for each compound showed a successful preparation, and the obtained melting points are in the range of 97oC to 167oC. From what is commonly known about ILs having melting points below 100oC, it is quite evident from the [p-Anis][NO2 ] and [p-Anis][NO3 ] ionic compounds that the term “ILs” is not applicable but rather “ISs”, except for [p-Anis][OAc] which showed a 97oC melting point. Thermal stabilities and phase behaviour of the compounds were also studied, from the obtained thermograms [p-Anis][NO3 ] was the most thermally stable from all the examined, and all compounds exhibited both a glass transition, amorphous and crystallization phases. Even though the obtained compounds were in a solid state it does not necessarily mean that they can automatically be referred to as ISs because [p-Anis][OAc] which showed a 97oC melting point, the term IL is still applicable. Based on these findings it is imperative to separate the ILs from the ISs despite their physical state. This would be beneficial to researchers that are constantly and continuously exploring these types of material for a variety of applications that require materials to be of specific states for them to be potent.

REFERENCES
  1. Kinik FP, Uzun A, Keskin S. Ionic liquid/metal-organic framework composites: From synthesis to applications. ChemSusChem. 2017; 10: 2842-2863.
  2. Philippi F, Welton T. Targeted modifications in ionic liquids - from understanding to design. Phys Chem Chem Phys. 2021; 23: 6993- 7021.
  3. Stolte S, Steudte S, Igartua A, Stepnowski P. The biodegradation of ionic liquids - The view from a chemical structure. Curr Organ Chem. 2011; 15: 1-28.
  4. Hassan R, Farzana N, Roosh M, Qaisar A, Habib U, Sajini AA, et al. Synthesis, characterization, biological evaluation, and in silico studies of imidazolium-, pyridinium-, and ammonium-based ionic liquids. Molecules. 2022; 22: 1-20.
  5. Pernak J, Borucka N, Walkiewicz F, Markiewicz B, Fochtman P, Stolte S, et al. Synthesis, toxicity, biodegradability and physicochemical properties of 4-benzyl-4-methylmorpholinium-based ionic liquids. Green Chemy. 2011; 13: 2901-2910.
  6. Bizukojc EL, Maton C, Stevens VC. Biodegradation of imidazolium ionic liquids by activated sludge microorganisms. Biodegradation. 2015; 26: 453-463.
  7. Rajamani S, Santhosh R, Raghunath R, Jadhav AS. Value-added chemicals from sugarcane bagasse using ionic liquids. Chemical Papers. 2021; 75: 5605-5622.
  8. Ren C, Wang Z, Gao Q, Li Z, Jiang S, Huang Q, et al. Novel Brønsted acidic ionic liquids as high efficiency catalysts for liquid-phase beckmann rearrangement. Catalysts. 2023; 13: 1-16.
  9. Long G, Wu D, Pan H, Zhao T, Hu X. Imidazolium hydrogen carbonate ionic liquids: Versatile organocatalysts for chemical conversion of CO2 into valuable chemicals. J CO2 Utilization. 2020; 39: 1-6.
  10. He T, Yan J, Xiao W, Sun J. Latest advances in ionic liquids promoted synthesis and application of advanced biomass materials. Front Chem Sci Engineering. 2023; 17: 798-816.
  11. Handy ST. Ionic liquids-Classes and Properties. InTech: Janeza Trdine 9, 51000 Rijeka. 2011; 1-313.
  12. Gazitua M, Fuentealba P, Contreras R , Toledo RO. Lewis acidity/ basicity changes in imidazolium based ionic liquids brought about by impurities. J Phys Chem B. 2015; 119: 13160-13166.
  13. Duan Z, Gu Y, Zhang J, Zhu L, Deng Y. Protic pyridinium ionic liquids: Synthesis, acidity determination and their performances for acid catalysis. J Mol Catalysis A: Chemical. 2006; 250: 163-168.
  14. Ajiambo F, Charles N, Namango S. Enhancement of simple sugar production: pretreatment of Gadam sorghum stalks using imidazolium, pyridinium and phosphonium based ionic liquids. Int J Scientific Eng Res. 2017; 8: 471-483.
  15. Mudzakir A, Anwar B, Sitifatimah S. Ammonium and cholinium based ils as a new chemical modifier for giant bamboo dendrocalamus asper. J Eng Sci Technol. 2021; 16: 1183-1195.
  16. Jadhav C, Nipate A, Chate A, Gill C. Triethylammonium hydrogen sulfate [Et3NH][HSO4]-Catalyzed rapid and efficient multicomponent synthesis of pyrido[2,3-d]pyrimidine and pyrazolo[3,4-b]pyridine hybrids. ACS Omega. 2021; 6: 18215-18225.
  17. An YM, Zhuang J, Li Y, Dai JY, Xiu ZL. Pretreatment of Jerusalem artichoke stalk using hydroxylammonium ionic liquids and their influences on 2,3-butanediol fermentation by Bacillus subtilis. Bioresource Technol. 2022; 354: 1-8.
  18. Nurdin M, Abimanyu H, Putriani H, Setiawan LOMI, Maulidiyah M, Wibowo D, et al. Optimization of OPEFB lignocellulose transformation process through ionic liquid [TEA][HSO4] based pretreatment. Sci Rep. 2021; 11: 11338.
  19. Nagarajan S, Shaikh TM, Kandasamy E. Synthesis of 1-alkyl triazolium triflate room temperature ionic liquids and their catalytic studies in multi-component Biginelli reaction. J Chem Sci. 2015; 127: 1539-1545.
  20. Sardar S, Wilfred C, Mumtaz A, Rashid Z, Leveque JM. Synthesis,thermophysical properties, Hammett acidity and COSMO- RS study of camphorsulfonate-based Brönsted acidic ionic liquids. J Mol Liquids. 2018; 271: 621-630.
  21. Meng Y, Liu J, Li Z, Wei H. Synthesis and physicochemical properties of two SO3H-functionalized ionic liquids with hydrogen sulfate anion. J Chem Engin Data. 2014; 59: 2186-2195.

Tokoyi V, Kabane B, Deenadayalu N (2025) Should “Ionic Liquids” also be used for Solid Ionic Compounds? Synthesis and Characterization of p-Anisidinium-Based Ionic Compounds. Chem Eng Process Tech 10(1): 1097.

Received : 11 Nov 2024
Accepted : 08 Dec 2025
Published : 30 Dec 2025
Journals
Annals of Otolaryngology and Rhinology
ISSN : 2379-948X
Launched : 2014
JSM Schizophrenia
Launched : 2016
Journal of Nausea
Launched : 2020
JSM Internal Medicine
Launched : 2016
JSM Hepatitis
Launched : 2016
JSM Oro Facial Surgeries
ISSN : 2578-3211
Launched : 2016
Journal of Human Nutrition and Food Science
ISSN : 2333-6706
Launched : 2013
JSM Regenerative Medicine and Bioengineering
ISSN : 2379-0490
Launched : 2013
JSM Spine
ISSN : 2578-3181
Launched : 2016
Archives of Palliative Care
ISSN : 2573-1165
Launched : 2016
JSM Nutritional Disorders
ISSN : 2578-3203
Launched : 2017
Annals of Neurodegenerative Disorders
ISSN : 2476-2032
Launched : 2016
Journal of Fever
ISSN : 2641-7782
Launched : 2017
JSM Bone Marrow Research
ISSN : 2578-3351
Launched : 2016
JSM Mathematics and Statistics
ISSN : 2578-3173
Launched : 2014
Journal of Autoimmunity and Research
ISSN : 2573-1173
Launched : 2014
JSM Arthritis
ISSN : 2475-9155
Launched : 2016
JSM Head and Neck Cancer-Cases and Reviews
ISSN : 2573-1610
Launched : 2016
JSM General Surgery Cases and Images
ISSN : 2573-1564
Launched : 2016
JSM Anatomy and Physiology
ISSN : 2573-1262
Launched : 2016
JSM Dental Surgery
ISSN : 2573-1548
Launched : 2016
Annals of Emergency Surgery
ISSN : 2573-1017
Launched : 2016
Annals of Mens Health and Wellness
ISSN : 2641-7707
Launched : 2017
Journal of Preventive Medicine and Health Care
ISSN : 2576-0084
Launched : 2018
Journal of Chronic Diseases and Management
ISSN : 2573-1300
Launched : 2016
Annals of Vaccines and Immunization
ISSN : 2378-9379
Launched : 2014
JSM Heart Surgery Cases and Images
ISSN : 2578-3157
Launched : 2016
Annals of Reproductive Medicine and Treatment
ISSN : 2573-1092
Launched : 2016
JSM Brain Science
ISSN : 2573-1289
Launched : 2016
JSM Biomarkers
ISSN : 2578-3815
Launched : 2014
JSM Biology
ISSN : 2475-9392
Launched : 2016
Archives of Stem Cell and Research
ISSN : 2578-3580
Launched : 2014
Annals of Clinical and Medical Microbiology
ISSN : 2578-3629
Launched : 2014
JSM Pediatric Surgery
ISSN : 2578-3149
Launched : 2017
Journal of Memory Disorder and Rehabilitation
ISSN : 2578-319X
Launched : 2016
JSM Tropical Medicine and Research
ISSN : 2578-3165
Launched : 2016
JSM Head and Face Medicine
ISSN : 2578-3793
Launched : 2016
JSM Cardiothoracic Surgery
ISSN : 2573-1297
Launched : 2016
JSM Bone and Joint Diseases
ISSN : 2578-3351
Launched : 2017
JSM Bioavailability and Bioequivalence
ISSN : 2641-7812
Launched : 2017
JSM Atherosclerosis
ISSN : 2573-1270
Launched : 2016
Journal of Genitourinary Disorders
ISSN : 2641-7790
Launched : 2017
Journal of Fractures and Sprains
ISSN : 2578-3831
Launched : 2016
Journal of Autism and Epilepsy
ISSN : 2641-7774
Launched : 2016
Annals of Marine Biology and Research
ISSN : 2573-105X
Launched : 2014
JSM Health Education & Primary Health Care
ISSN : 2578-3777
Launched : 2016
JSM Communication Disorders
ISSN : 2578-3807
Launched : 2016
Annals of Musculoskeletal Disorders
ISSN : 2578-3599
Launched : 2016
Annals of Virology and Research
ISSN : 2573-1122
Launched : 2014
JSM Renal Medicine
ISSN : 2573-1637
Launched : 2016
Journal of Muscle Health
ISSN : 2578-3823
Launched : 2016
JSM Genetics and Genomics
ISSN : 2334-1823
Launched : 2013
JSM Anxiety and Depression
ISSN : 2475-9139
Launched : 2016
Clinical Journal of Heart Diseases
ISSN : 2641-7766
Launched : 2016
Annals of Medicinal Chemistry and Research
ISSN : 2378-9336
Launched : 2014
JSM Pain and Management
ISSN : 2578-3378
Launched : 2016
JSM Women's Health
ISSN : 2578-3696
Launched : 2016
Clinical Research in HIV or AIDS
ISSN : 2374-0094
Launched : 2013
Journal of Endocrinology, Diabetes and Obesity
ISSN : 2333-6692
Launched : 2013
Journal of Substance Abuse and Alcoholism
ISSN : 2373-9363
Launched : 2013
JSM Neurosurgery and Spine
ISSN : 2373-9479
Launched : 2013
Journal of Liver and Clinical Research
ISSN : 2379-0830
Launched : 2014
Journal of Drug Design and Research
ISSN : 2379-089X
Launched : 2014
JSM Clinical Oncology and Research
ISSN : 2373-938X
Launched : 2013
JSM Bioinformatics, Genomics and Proteomics
ISSN : 2576-1102
Launched : 2014
JSM Chemistry
ISSN : 2334-1831
Launched : 2013
Journal of Trauma and Care
ISSN : 2573-1246
Launched : 2014
JSM Surgical Oncology and Research
ISSN : 2578-3688
Launched : 2016
Annals of Food Processing and Preservation
ISSN : 2573-1033
Launched : 2016
Journal of Radiology and Radiation Therapy
ISSN : 2333-7095
Launched : 2013
JSM Physical Medicine and Rehabilitation
ISSN : 2578-3572
Launched : 2016
Annals of Clinical Pathology
ISSN : 2373-9282
Launched : 2013
Annals of Cardiovascular Diseases
ISSN : 2641-7731
Launched : 2016
Journal of Behavior
ISSN : 2576-0076
Launched : 2016
Annals of Clinical and Experimental Metabolism
ISSN : 2572-2492
Launched : 2016
Clinical Research in Infectious Diseases
ISSN : 2379-0636
Launched : 2013
JSM Microbiology
ISSN : 2333-6455
Launched : 2013
Journal of Urology and Research
ISSN : 2379-951X
Launched : 2014
Journal of Family Medicine and Community Health
ISSN : 2379-0547
Launched : 2013
Annals of Pregnancy and Care
ISSN : 2578-336X
Launched : 2017
JSM Cell and Developmental Biology
ISSN : 2379-061X
Launched : 2013
Annals of Aquaculture and Research
ISSN : 2379-0881
Launched : 2014
Clinical Research in Pulmonology
ISSN : 2333-6625
Launched : 2013
Journal of Immunology and Clinical Research
ISSN : 2333-6714
Launched : 2013
Annals of Forensic Research and Analysis
ISSN : 2378-9476
Launched : 2014
JSM Biochemistry and Molecular Biology
ISSN : 2333-7109
Launched : 2013
Annals of Breast Cancer Research
ISSN : 2641-7685
Launched : 2016
Annals of Gerontology and Geriatric Research
ISSN : 2378-9409
Launched : 2014
Journal of Sleep Medicine and Disorders
ISSN : 2379-0822
Launched : 2014
JSM Burns and Trauma
ISSN : 2475-9406
Launched : 2016
Annals of Clinical Cytology and Pathology
ISSN : 2475-9430
Launched : 2014
JSM Allergy and Asthma
ISSN : 2573-1254
Launched : 2016
Journal of Neurological Disorders and Stroke
ISSN : 2334-2307
Launched : 2013
Annals of Sports Medicine and Research
ISSN : 2379-0571
Launched : 2014
JSM Sexual Medicine
ISSN : 2578-3718
Launched : 2016
Annals of Vascular Medicine and Research
ISSN : 2378-9344
Launched : 2014
JSM Biotechnology and Biomedical Engineering
ISSN : 2333-7117
Launched : 2013
Journal of Hematology and Transfusion
ISSN : 2333-6684
Launched : 2013
JSM Environmental Science and Ecology
ISSN : 2333-7141
Launched : 2013
Journal of Cardiology and Clinical Research
ISSN : 2333-6676
Launched : 2013
JSM Nanotechnology and Nanomedicine
ISSN : 2334-1815
Launched : 2013
Journal of Ear, Nose and Throat Disorders
ISSN : 2475-9473
Launched : 2016
JSM Ophthalmology
ISSN : 2333-6447
Launched : 2013
Journal of Pharmacology and Clinical Toxicology
ISSN : 2333-7079
Launched : 2013
Annals of Psychiatry and Mental Health
ISSN : 2374-0124
Launched : 2013
Medical Journal of Obstetrics and Gynecology
ISSN : 2333-6439
Launched : 2013
Annals of Pediatrics and Child Health
ISSN : 2373-9312
Launched : 2013
JSM Clinical Pharmaceutics
ISSN : 2379-9498
Launched : 2014
JSM Foot and Ankle
ISSN : 2475-9112
Launched : 2016
JSM Alzheimer's Disease and Related Dementia
ISSN : 2378-9565
Launched : 2014
Journal of Addiction Medicine and Therapy
ISSN : 2333-665X
Launched : 2013
Journal of Veterinary Medicine and Research
ISSN : 2378-931X
Launched : 2013
Annals of Public Health and Research
ISSN : 2378-9328
Launched : 2014
Annals of Orthopedics and Rheumatology
ISSN : 2373-9290
Launched : 2013
Journal of Clinical Nephrology and Research
ISSN : 2379-0652
Launched : 2014
Annals of Community Medicine and Practice
ISSN : 2475-9465
Launched : 2014
Annals of Biometrics and Biostatistics
ISSN : 2374-0116
Launched : 2013
JSM Clinical Case Reports
ISSN : 2373-9819
Launched : 2013
Journal of Cancer Biology and Research
ISSN : 2373-9436
Launched : 2013
Journal of Surgery and Transplantation Science
ISSN : 2379-0911
Launched : 2013
Journal of Dermatology and Clinical Research
ISSN : 2373-9371
Launched : 2013
JSM Gastroenterology and Hepatology
ISSN : 2373-9487
Launched : 2013
Annals of Nursing and Practice
ISSN : 2379-9501
Launched : 2014
JSM Dentistry
ISSN : 2333-7133
Launched : 2013
Author Information X