Loading

Chemical Engineering and Process Techniques

Vapor Liquid Equilibria Calculations for the Hydrofluorocarbons with the Patel-Teja EOS Coupled the Different Alpha Functions

Review Article | Open Access | Volume 5 | Issue 1

  • 1. Department of Chemical and Chemical Engineering, Hefei Normal University, Hefei, 230061, PR China
  • 2. Department of Physics and Materials Engineering, Hefei Normal University, Hefei, 230061, PR China
+ Show More - Show Less
Corresponding Authors
Lin Wang, Department of Physics and Materials Engineering, Hefei Normal University, Hefei, 230061,PR China
ABSTRACT

A comparative study was made to represent the saturated vapor pressure of difluoromethane(R32),1,1,1,2-tetrafluoroethane(R134a), trans-1,3,3,3- tetrafluoropropene(R1234ze(E)), fluoroethane(R161) and 2,3,3,3-tetrafluoroprop-1-ene(R1234yf) with the Patel-Teja EOS coupled the five different alpha functions. Results show that the Patel-Teja coupled the Melhem function gets the adequate representation of the saturated vapor pressure. It also has been demonstrated that the Patel-Teja coupled the Joshipura and the Melhem alpha functions with the VDW mixing rules can represent the isothermal vapor liquid equilibrium for R32/R134a, R32/R1234ze(E),R32/R1234yf, R161/R1234yf,R32/R161 and R161/R1234ze(E) systems well if the EOSs has the right binary interaction parameters.

KEYWORDS

• Alpha functions

• Patel-Teja EOS

• VDW mixing rules

CITATION

Pia Z, Wang L (2020) Vapor Liquid Equilibria Calculations for the Hydrofluorocarbons with the Patel-Teja EOS Coupled the Different Alpha Functions. Chem Eng Process Tech 5(1): 1060.

INTRODUCTION

Numerous modifications to the Van der Waals cubic Equation of State (EOS) have been proposed to improve the predictions of volumetric,thermodynamic and phase equilibrium properties. Among the multiple cubic equations of state, the models of Peng- Robinson(PR) [1] and the Soave-Redlich-Kwong (SRK) EOS [2] are widely used to simulate chemical processes [3]. But the PR and SRK are two-parameter cubic EOSs, this kind of cubic equations of state can predict the same critical compressibility factor independent on the pure substances. This characteristic can predict the liquid density with considerable deviations. To calculate the liquid phase densities, the three-parameter EOS is a better choice [4].

The three-parameter cubic equations of state appear in the early 1980s and they are a step in the development of the cubic equations of state [3]. The Patel-Teja(PT) equation is one of the most recognized three-parameter cubic equations. In a recent study, the PT EoS is a member of the group which provides the most accurate predictions for 102 pure substances among 23 generalized equations of state [5,6]. Moreover, the PT EOS has been used to correlate complex systems with the advanced mixing rule [7].

The Patel-Teja model is a three-parameter (a,b,c) Van der Waals type EOS [8]. In this equation, the pure component parameter is a temperature-dependent. To calculate the parameter “a” in the PT EOS ,an expression to estimate the cohesion function α(Tr) is necessary .In the original PT EOS, the Soave alpha function has been incorporated in the attractive term ,this alpha function always predict a Boyle temperature without physical sense [9]. The expression F in the Soave alpha function and the critical compressibility factor(ξc) are generalized in terms of the acentric factor for nonpolar compounds, and there few values reported for the polar substances [10]. For solving these problems, the Soave alpha functions are always replaced with some exponential alpha functions in the attractive term of the PT EOS and the parameters have to be recalculated. In Velásquez’s work [11], the thermodynamic properties of the saturated pure fluids are evaluated for the Patel-Teja equation couple the five different alpha functions. The generalized expressions to estimate the parameters and the alpha functions in the PT EOSs are listed in Table 3 in Velásquez’s work [11].

In this work, the Patel-Teja equation coupled the five alpha functions which were generalized in Velásquez’s work [11]. Are selected to evaluate the influence of the alpha functions in the saturated vapor pressure calculation of hydrofluorocarbons. Finally, vapor liquid equilibrium calculations for some binary systems have been made with the PT-Joshipura and the PTMelhem EOSs, the Van der Waals one fluid mixing rules with the interaction parameters are used to show the influence of the alpha functions and the interaction parameters in mixtures calculations.

To assess the results of the correlations, the average absolute deviation, AAD, for the pressure and the vapor phase mole fraction are defined as follows:

AAD(P)/%=\frac{100}{N}\sum_{i=1}^{i=N}\left | \frac{P_{exp'i}-Pcal,i}{P_{exp'i}} \right |                                            (1)

AAD(y_{1})=\frac{1}{N}\sum_{i=1}^{i=N}\left | y_{exp'i}-y_{cal,1} \right |                                                               (2)

EVALUATION OF THE ALPHA FUNCTIONS OF PT EOS FOR THE HYDROFLUOROCARBONS

Hydrofluorocarbons play an important role in industry because of their noticeable applications, including the development of alternative environmentally-friendly refrigerants. Before finding out the most appropriate hydrofluorocarbons for a given application, it is necessary to predict the fluid-phase behaviors in both sub- and super-critical regions.

Pure substances

The saturated vapor pressure of R32, R134a, R1234ze (E),R161 and R1234yf were measured at the temperatures from 283.15K to 323.15K with 5K interval in Hu’s work, and the experimental data were correlated by Peng-Robinson-StryjekVera(PRSV) EOS(Hu et al.,2017a,2017b) . In this paper, Patel-Teja EOS with the five different alpha functions was used to correlated the experimental data. The saturated vapor pressure for the five substances are totally predictive because they were not used to obtain the alpha functions in Velásquez’s work [11].

In Table 1,

Table 1: Comparison of the calculated vapor pressure data of pure components with the literature data [12,13].

 

T (k)

 

pexp

 

Soave

 

Joshipura

pcal

Heyen

Melhem

Gasem

 

p

\delta p a/%

p

\delta p a/%

p

\delta p a/%

p

\delta p a/%

p

 

\delta p a/%

R32

283.152

1.1073

1.1118

-0.406

1.0819

2.290

1.1247

-1.571

1.1146

-0.659

1.0947

1.138

288.154

1.2806

1.2880

-0.578

1.2553

1.976

1.3027

-1.726

1.2914

-0.843

1.2699

0.836

293.147

1.4740

1.4842

-0.692

1.4488

1.710

1.5004

-1.791

1.4881

-0.957

1.4650

0.611

298.165

1.6895

1.7030

-0.799

1.6653

1.432

1.7209

-1.859

1.7075

-1.065

1.6830

0.385

303.143

1.9258

1.9432

-0.904

1.9036

1.153

1.9624

-1.901

1.9481

-1.158

1.9225

0.171

308.150

2.1882

2.2095

-0.973

2.1686

0.896

2.2298

-1.901

2.2147

-1.211

2.1884

-0.009

313.146

2.4762

2.5015

-1.022

2.4600

0.654

2.5226

-1.874

2.5070

-1.244

2.4803

-0.166

318.143

2.7916

2.8215

-1.071

2.7802

0.408

2.8429

-1.838

2.8271

-1.272

2.8006

-0.322

323.145

3.1380

3.1715

-1.068

3.1316

0.204

3.1926

-1.740

3.1770

-1.243

3.1514

-0.427

R134a

283.151

0.4138

0.4105

0.798

0.3980

3.818

0.4167

-0.701

0.4122

0.387

0.4016

2.948

288.165

0.4884

0.4840

0.901

0.4697

3.829

0.4913

-0.594

0.4862

0.451

0.4742

2.908

293.151

0.5712

0.5671

0.718

0.5510

3.536

0.5758

-0.805

0.5699

0.228

0.5565

2.574

298.161

0.6651

0.6604

0.707

0.6424

3.413

0.6703

-0.782

0.6637

0.211

0.6490

2.421

303.156

0.7698

0.7653

0.585

0.7454

3.170

0.7765

-0.870

0.7692

0.078

0.7531

2.170

308.150

0.8859

0.8827

0.361

0.8611

2.799

0.8953

-1.061

0.8872

-0.147

0.8698

1.817

313.147

1.0153

1.0129

0.236

0.9896

2.531

1.0268

-1.133

1.0180

-0.266

0.9992

1.586

318.141

1.1584

1.1570

0.121

1.1322

2.262

1.1722

-1.191

1.1626

-0.363

1.1428

1.347

323.146

1.3161

1.3157

0.030

1.2897

2.006

1.3302

-1.071

1.3218

-0.433

1.3010

1.147

R1234ze(E)

283.145

0.3086

0.3056

0.972

0.2960

4.083

0.3098

-0.389

0.3064

0.713

0.2984

3.305

288.149

0.3647

0.3613

0.932

0.3502

3.976

0.3664

-0.466

0.3625

0.603

0.3534

3.098

293.155

0.4280

0.4241

0.911

0.4113

3.902

0.4302

-0.514

0.4257

0.537

0.4154

2.944

298.139

0.4990

0.4953

0.742

0.4810

3.607

0.5024

-0.681

0.4973

0.341

0.4859

2.625

303.142

0.5789

0.5750

0.674

0.5590

3.438

0.5832

-0.743

0.5774

0.259

0.5649

2.418

308.159

0.6684

0.6641

0.643

0.6465

3.277

0.6734

-0.748

0.6670

0.210

0.6533

2.259

313.159

0.7674

0.7634

0.521

0.7441

3.036

0.7738

-0.834

0.7667

0.091

0.7519

2.020

318.156

0.8771

0.8734

0.422

0.8526

2.793

0.8849

-0.889

0.8772

-0.011

0.8613

1.801

323.141

0.9978

0.9953

0.251

0.9732

2.465

1.0079

-1.012

0.9995

-0.170

0.9827

1.513

R161

283.148

0.6014

0.6026

-0.200

0.5833

3.010

0.6069

-0.915

0.6018

-0.067

0.5927

1.447

288.157

0.6982

0.7005

-0.329

0.6788

2.779

0.7057

-1.074

0.6999

-0.244

0.6898

1.203

293.147

0.8056

0.8095

-0.484

0.7852

2.532

0.8156

-1.241

0.8090

-0.422

0.7980

0.943

298.14

0.9248

0.9308

-0.649

0.9041

2.238

0.9379

-1.417

0.9305

-0.616

0.9185

0.681

303.152

1.0574

1.0658

-0.794

1.0366

1.967

1.0739

-1.560

1.0656

-0.776

1.0527

0.445

308.155

1.2034

1.2146

-0.931

1.1830

1.695

1.2236

-1.679

1.2146

-0.931

1.2007

0.224

313.158

1.3636

1.3783

-1.078

1.3446

1.393

1.3883

-1.811

1.3784

-1.085

1.3638

-0.015

318.152

1.5390

1.5575

-1.202

1.5219

1.111

1.5684

-1.910

1.5578

-1.222

1.5424

-0.221

323.147

1.7306

1.7534

-1.312

1.7163

0.826

1.7652

-1.999

1.7539

-1.346

1.7379

-0.422

R1234yf

283.153

0.4374

0.4359

0.343

0.4228

3.338

0.4410

-0.823

0.4367

0.160

0.4277

2.218

288.147

0.5099

0.5087

0.235

0.4939

3.138

0.5147

-0.941

0.5098

0.020

0.4998

1.981

293.157

0.5917

0.5907

0.169

0.5742

2.958

0.5975

-0.980

0.5920

-0.051

0.5811

1.791

298.151

0.6819

0.6819

0.000

0.6638

2.654

0.6897

-1.144

0.6836

-0.249

0.6717

1.496

303.153

0.7825

0.7835

-0.128

0.7639

2.377

0.7923

-1.252

0.7856

-0.396

0.7727

1.252

308.157

0.8936

0.8962

-0.291

0.8752

2.059

0.9059

-1.377

0.8986

-0.560

0.8849

0.974

313.157

1.0178

1.0206

-0.275

0.9983

1.916

1.0311

-1.307

1.0232

-0.531

1.0088

0.884

318.158

1.1532

1.1574

-0.364

1.1341

1.656

1.1687

-1.344

1.1602

-0.607

1.1453

0.685

323.152

1.3014

1.3073

-0.453

1.2833

1.391

1.3192

-1.368

1.3104

-0.692

1.2950

0.492

                                                  a  \delta p =^{^{}}100^{*}\left ( P_{exp}-P_{cal} \right )/P_{exp}

the relative deviations of the saturated vapor pressure are calculated for R32, R134a, R1234ze(E),R1234yf and R161 with the PT EOS coupled the five different alpha functions. The Joshipura function presents the highest average absolute relative deviation (AAD(p)) and it has a value of 2.39%. The lowest average absolute deviation for the vapor pressure reported in Table 1 is 0.56% and it corresponds to the PTMelhem EOS. The other average absolute deviations are 0.61% for the PT-Soave EOS, 1.22% for the PT-Heyen EOS,1.39% for the PT-Gasem EOS. For R32, the deviations are negative for the PTSoave, PT- Heyen and PT-Melhem EOSs. The absolute deviations of the PT-Joshipura and the PT-Gasem EOSs show a decrease trend with the temperature, on the contrary, the absolute deviations of the PT-Soave, PT-Heyen and the PT-Melhem EOSs all show an increase with the temperature, the deviations scatter around the baseline for the PT-Melhem and PT-Gasem EOSs. For R1234ze(E),The average absolute deviations for the vapor pressure are 0.67%, 3.40%,0.70%,0.33% and 2.44% for PTSoave, PT-Joshipura, PT-Heyen ,PT-Melhem and PT-Gaesm EOSs, respectively. The PT-Joshipura and PT-Gasem EOSs show the big deviations, especially at the low temperature zones. For 134a and R1234yf, the PT-Melhem EOS gets the lowest average absolute deviations, the deviations are all within 0.7% around the baseline. For R161, an interesting fact that can be noticed is that the PTGasem EOS improves the performance ,the average absolute deviation for the vapor pressure is 0.62%,while deviations with the Soave,Joshipura, Heyen,

Melhem and Gasem functions are 0.78%, 1.95%,1.51%,0.75%,respectively.

Binary vapor equilibrium calculations

The isothermal vapor liquid equilibrium data of R32/ R134a,R32/R1234ze(E),R32/R1234yf,R161/R1234yf,R32/ R161 and R161/R1234ze(E) were reported. The vapor liquid equilibrium data were correlated by PRSV equation of state combined with the Wong and Sandler(WS) mixing rule and the NRTL activity coefficient model [12-14]. In this work, the isothermal vapor liquid equilibrium calculations of the above binary systems are performed with the Van der Waals one fluid mixing rules with the PT-Joshipura and the PT-Melhem models because the Melhem alpha function is the best to represent the vapor liquid equilibrium of the pure substances, and the Joshipura has the biggest average absolute deviations to calculate the saturated vapor pressure of the pure substances. The Van der Waals one mixing rules to estimate parameters with the PT EOSs are

a_{m}=\sum_{i}^{}\sum_{j}^{}X_{i}X_{j}\sqrt{a_{i}a_{j}(1-k_{ij})}                                          (3)

b_{m}=\sum_{i}^{}x_{i}b{_{i}}                                                                                     (4)

c_{m}=\sum_{i}^{}x_{i}c{_{i}}                                                                                     (5)  

Here, xi are the mole fraction of component “i” in a mixture, kij is the binary interaction parameter characterizing the molecular interactions between the molecules “i” and “j”. When i equals j, kij is zero. In this paper, the values for kij are those that minimize the following objective function:

F=\frac{1}{N}\sum_{i=1}^{N}\left ( \left ( \frac{P_{exp,i}P_{_{cal,i}}}{P_{exp,i}} \right )^{2}+\left ( y_{exp,i}-y_{exp,i} \right )^{2} \right )^{0.5}

In Equation.(4),N is the number of experimental data, the subscripts “exp” and “cal” represent the experimental and the calculated results, respectively.

The binary interaction parameters obtained at each temperature and the average absolute deviations of the pressure and the vapor phase mole fraction between the measured and the calculated values are listed in Table 2.

Table 2: Interaction parameter (kij) and average absolute percent deviation (AAD) of p and y.

 

 

 

PT-Joshipura

 

PT-Melhem

PT- Joshipura

 

PT-Melhem

 

T(K)

kij

 

 

 

AAD

AAD

kij

AAD

AAD

kij

AAD

AAD

kij

AAD

AAD

 

 

 

 

 

(pa)/%

(y1b)

 

(pa)/%

(y1b)

 

(pa)/%(y1b)

 

(pa)/%

(y1b)

 

R32/R134

 

 

 

 

 

 

 

 

 

 

 

R32/R1234ze(E)

 

 

 

 

 

283.15

0.004

0.99

 

0.009

0.000

0.37

0.009

0.009

1.93

0.011

0.005

1.44

0.010

293.15

 

 

 

 

 

 

 

 

 

 

 

0.009

1.88

0.010

0.005

1.48

0.010

303.15

0.003

0.76

 

0.009

-0.001

0.39

0.009

0.009

1.73

0.010

0.005

1.39

0.010

313.15

 

 

 

 

 

 

 

 

 

 

 

0.009

1.60

0.008

0.005

1.33

0.008

323.15

0.002

0.53

 

0.006

-0.001

0.37

0.005

0.009

1.48

0.007

0.005

1.30

0.007

 

 

 

 

 

 

 

 

 

 

 

 

 

 

 

 

 

 

R32/R1234yf

 

 

 

 

 

 

 

 

 

 

 

R161/R1234yf

 

 

 

 

 

283.15

0.015

 

2.36

 

 

0.021

0.011

2.34

0.021

0.003

0.72

0.002

-0.001

0.26

0.002

293.15

0.015

 

2.18

 

 

0.020

0.011

2.11

0.020

0.003

0.56

0.001

-0.001

0.21

0.001

303.15

0.014

 

2.02

 

 

0.019

0.010

1.91

0.018

0.003

0.65

0.001

-0.001

0.30

0.001

313.15

0.013

 

1.87

 

 

0.017

0.010

1.75

0.018

0.002

0.37

0.001

-0.002

0.41

0.001

323.15

0.012

 

1.71

 

 

0.016

0.010

1.66

0.017

0.001

0.46

0.001

-0.002

0.31

0.001

 

 

 

 

 

 

 

 

 

 

 

 

 

 

 

 

 

 

R32/R161

 

 

 

 

 

 

 

 

 

 

 

R161/R1234ze(E)

 

 

 

 

 

283.15

0.005

 

1.13

 

 

0.004

0.001

0.56

0.003

-0.001

1.62

0.011

-0.005

1.19

0.011

293.15

0.005

 

1.01

 

 

0.003

0.001

0.60

0.003

-0.001

1.41

0.010

-0.005

1.06

0.010

303.15

0.005

 

0.86

 

 

0.003

0.001

0.62

0.003

-0.001

1.24

0.008

-0.005

0.98

0.008

313.15

0.004

 

0.77

 

 

0.003

0.001

0.72

0.003

-0.001

1.09

0.007

-0.005

0.92

0.007

323.15

0.003

 

0.58

 

 

0.003

0.000

0.66

0.003

-0.001

0.92

0.006

-0.005

0.88

0.006

                                              a AAD(P)/%=100/N^{*}\sum_{i=1}^{i=N}\left | \frac{P_{exp'i}-Pcal,i}{P_{exp'i}} \right |

                                                 b AAD(y_{1})/%=1/N^{*}\sum_{i=1}^{i=N}\left | y_{1.exp'i}-y_{1,cal,i} \right |

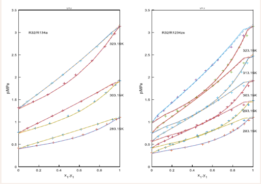
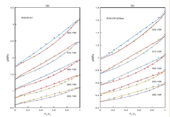
The vapor liquid equilibrium data for the R32/R134a, R32/R1234ze(E),R32/ R1234yf,R161/R1234yf,R32/R161 and R161/R1234ze (E) of the experiments [12-14]. and the results of the calculation with the PT EOSs are compared in Figure 1.

The prediction of isothermal curves for the binary systems using the PT- Joshipura and the PT-Melhem models.  +: experimental data, solid lines: the curves predicted with the PT- Joshipura model, the dashed line: the curves predicted with the PT-Melhem model.  Figure 2.

Figure 1: The prediction of isothermal curves for the binary systems using the PT- Joshipura and the PT-Melhem models.

+: experimental data, solid lines: the curves predicted with the PT- Joshipura model, the dashed line: the curves predicted with the PT-Melhem model.

Figure 2.

The prediction of isothermal curves for the binary systems using the PT- Joshipura and the PT-Melhem models.  +: experimental data, solid lines: the curves predicted with the PT- Joshipura model, the dashed line: the curves predicted with the PT-Melhem model.

Figure 2: The prediction of isothermal curves for the binary systems using the PT- Joshipura and the PT-Melhem models.

+: experimental data, solid lines: the curves predicted with the PT- Joshipura model, the dashed line: the curves predicted with the PT-Melhem model.

Figure 3.

The prediction of isothermal curves for the binary systems using the PT- Joshipura and the PT-Melhem models.

Figure 3: The prediction of isothermal curves for the binary systems using the PT- Joshipura and the PT-Melhem models.

+: experimental data, solid lines: the curves predicted with the PT- Joshipura model, the dashed line: the curves predicted with the PT-Melhem model.

Results in Table 2 and Figures 1-3 show using the PTJoshipura and the PT-Melhem models, the good results can be obtained for the systems evaluated. However, the results also show that the average absolute deviations of the bubble pressure with the two equations, the PT-Melhem equation is lower than those predictions employing the PT-Joshipura equation, the average absolute deviations for the bubble pressure are 1.23%, 0.98%,respectively. But the PT- Joshipura and the PT-Melhem models give the same average absolute deviation in the vapor molar fractions, they are all 0.008.Comparison between the PTJoshipura and the PT-Melhem models show that the predictions are very similar for the systems in this study. In the other hand, a more detailed analysis is made for the results reported in Table 2 and Figures 1-3.

For the R32/R134a systems, the binary interaction parameters are around 0.000 at the temperatures with the PTMelhem EOS. The average absolute deviation of the bubble pressure is 0.38%, while the average absolute deviation in the vapor molar fraction (AAD(y1)) is 0.008. For the PT- Joshipura EOS, the binary parameters are dependent on the temperatures, the average absolute deviation of the vapor pressure is bigger than the PT-Melhem EOS. In Figure 1(b), five predicted isothermal phase diagrams of the R32/R1234ze(E) are plotted with the experimental data published by Hu et al, [12] The optimized binary interaction parameters kij are independent of the temperature, the values of the binary interaction parameters of the PTJoshipura and PT-Melhem are 0.009 and 0.005, respectively. Again, a satisfactory agreement is observed between the experimental data and the calculated curves, although the bubble pressure of the R32/R1234ze(E) system is slightly overestimated when the mole fraction of R32 tends to one with both models. The average absolute deviation of pressure (AAD(p) ) and the average absolute deviation of vapor phase mole fraction (AAD(y1)) are 1.72%,1.39% and 0.009,0.009 for the PT-Joshipura and the PTMelhem EOSs. Figure 2(a) shows the isothermal phase diagrams for the R32/R1234yf systems, the optimized binary interaction parameters kij are almost independent of temperature. The binary interaction parameters in the two equations are relative bigger, this may be due to the polarity of R1234yf .The average absolute deviations of the bubble pressure and the average absolute deviations of the vapor phase mole fractions are the same for the two EOSs, because the bubble pressure of the R32/ R1234yf system is overestimated when the mole fraction of R32 tends to one, the absolute deviations of bubble pressure are all around 2.0%,the absolute deviations of vapor phase mole fractions are all around 0.02.In Figure 2(b) p-x-y data and the predicted curves are presented for the R161/R1234yf binary systems. The optimized binary interaction parameters kij are also independent on the temperature, an accurate predictions are obtained with the PT- Joshipura and PT-Melhem models. The average absolute deviation of pressure (AAD(p) ) and the average absolute deviations of the vapor phase mole fraction(AAD(y1)) are 0.55%,0.30% and 0.001,0.001 for these systems. In Figure 3 (a), the results of the vapor liquid equilibrium of the R32/R161 system are shown. The average absolute deviation of pressure (AAD(p) ) and the average absolute deviation of vapor phase mole fraction(AAD(y1)) are 0.87%,0.63% and 0.003,0.003. In Figure.3(b), for the R161/R1234ze binary system, the binary interaction parameters are all around 0.005 for the PT- Joshipura model at the five temperatures, the average absolute deviation of pressure and the average absolute deviation of vapor phase mole fraction are 0.87% and 0.005,but for the PT-Melhem EOS, the binary interaction parameters are all around 0.001,the average absolute deviation of pressure and the average absolute deviation of vapor phase mole fraction are 0.63% and 0.003,and the binary interactions parameters are also independent on the temperatures.

CONCLUSION

The Patel-Teja coupled the five different alpha functions are used to calculate the saturated vapor pressure of R32,R134 , R1234ze(E),R1234yf ,R161.The PT-Melhem model shows the lowest average absolute deviation of pressure(AAD(p) ),the one-parameter exponential alpha function, as the Joshipura expression, gives the worst results for the saturated vapor pressure. To our surprise, two or three parameter exponential alpha functions does not produce better results than those estimated using the Soave function except for the Melhem function.

Minimizing the objective function, the adjusted parameters in the model are regressed from the experimental data. It has been demonstrated that the PT-Joshipura and the PT-Melhem EOS with the VDW mixing rule can correlate the bubble pressure and the vapor phase mole fractions well for the R32/R134a, R32/ R1234ze(E),R32/R1234yf, R161/R1234yf, R32/R161 and R161/ R1234ze(E) systems. Compared with the PRSV-WS-NRTL model, whereas the PT-Joshipura and the PT-Melhem with the VDW mixing rule is relatively simple with only one fitted parameter. 

ACKNOWLEDGMENT

This work was supported by the Educational Commission Key Program of Natural Science Foundation of Anhui Province of China (KJ2016A579),the Natural Science Research Project of Anhui Province(1908085MB50).

REFERENCES
  1. Peng DY, Robinson DB. “A New Two constant Equation of State”.  Ind Eng Chem Fundam. 1976; 15: 59.
  2. Soave G. “Equilibrium Constants from a Modified Redlich-Kwong Equation of State”. Chem Eng Sci. 1972; 27: 1917.
  3. Valderrama JO. “The state of the cubic equations of state”. Ind Eng Chem Res. 2003; 42: 1603-1618.
  4. Valderrama JF, Alfaro OM. “Liquid Volumes from Generalized Cubic Equations of State: Take It with Care”.  Oil Gas Sci Technol. 2000; 55: 523.
  5. Abdollahi-Demneh F, Moosavian MA, Montazer-Rahmati MM, Omidkhah MR, Bahmaniar H. “Comparison of the prediction power of 23 generalized equations of state: Part I. Saturated thermodynamic properties of 102 pure substances” Fluid Phase Equilibria. 2010a; 288: 67.
  6. Abdollahi-Demneh F, Moosavian MA, Montazer-Rahmati MM, Omidkhah MR, Bahmaniar H.  “Comparison of the prediction power of 23 generalized equations of state: Part II-Parametric evaluation” Fluid Phase Equilibria. 2010b; 291: 48.
  7. Yang T, Chen GJ, Yan W, Guo TM. “Extension of the Wong-Sandler mixing rule to the three-parameter Patel-Teja equation of state: “Application up to the near-critical region ”. Chem Eng J. 1997; 67: 27.
  8. Patel NC, Teja AS. “A new cubic equation of state for pure fluids and mixtures” Chem Eng Sci. 1981; 37: 463.
  9. Segura H, Kraska T, Mejía A, Winniak J, Polishuk I. “Unnoticed Pitfalls of Soave -Type Alpha Functions in Cubic Equations of State”. Ind Eng Chem Res. 2003; 42: 56-62.
  10. Forero LA, Velásquez jA. “A Method to Estimate the Patel-Teja Equation of State Constants”. J Chem Eng Data. 2010; 55: 50-94.
  11. Forero LA, Velásquez jA. “The Patel-Teja and the Peng-Robinson EOSs performance when Soave alpha function is replaced by an exponential function”. Fluid Phase Equilibria. 2012; 332: 55-76.
  12. Xiaozhen Hu, Xianyang Meng, Jiangtao Wu. “Isothermal vapor liquid equilibrium measurements for difluoromethane(R32)+trans-1,3,3,3-tetrafluoropropene(R1234ze(E))”. Fluid Phase euilibria. 2017a; 431: 58-65.
  13. Xiaozhen Hu,Tao yang, Xianyang Meng, Shengshan Bi, Jiangtao Wu. “Vapor liquid equilibrium measurements for difluoromethane (R32)+2,3,3,3-tetrafluoroprop-1-ene(R1234yf) and  fluoroethane(R161)+2,3,3,3-tetrafluoroprop-1-ene(R1234yf)”. Fluid Phase Equilibria. 2017b; 438: 10-17.
  14. Xianyang Meng, Xiaoz hen Hu, Tao yang, Jiangtao Wu. “Vapor liquid equilibria for binary mixtures of  difluoromethane(R32)+fluoroethane(R161)andfluoroethane(R161)+trans-1,3,3,3-tetrafluoropropene(R1234ze(E))”. J Chem Thermodyn. 2018; 118: 43.

Pia Z, Wang L (2020) Vapor Liquid Equilibria Calculations for the Hydrofluorocarbons with the Patel-Teja EOS Coupled the Different Alpha Functions. Chem Eng Process Tech 5(1): 1060.

Received : 21 Apr 2020
Accepted : 01 Sep 2020
Published : 03 Sep 2020
Journals
Annals of Otolaryngology and Rhinology
ISSN : 2379-948X
Launched : 2014
JSM Schizophrenia
Launched : 2016
Journal of Nausea
Launched : 2020
JSM Internal Medicine
Launched : 2016
JSM Hepatitis
Launched : 2016
JSM Oro Facial Surgeries
ISSN : 2578-3211
Launched : 2016
Journal of Human Nutrition and Food Science
ISSN : 2333-6706
Launched : 2013
JSM Regenerative Medicine and Bioengineering
ISSN : 2379-0490
Launched : 2013
JSM Spine
ISSN : 2578-3181
Launched : 2016
Archives of Palliative Care
ISSN : 2573-1165
Launched : 2016
JSM Nutritional Disorders
ISSN : 2578-3203
Launched : 2017
Annals of Neurodegenerative Disorders
ISSN : 2476-2032
Launched : 2016
Journal of Fever
ISSN : 2641-7782
Launched : 2017
JSM Bone Marrow Research
ISSN : 2578-3351
Launched : 2016
JSM Mathematics and Statistics
ISSN : 2578-3173
Launched : 2014
Journal of Autoimmunity and Research
ISSN : 2573-1173
Launched : 2014
JSM Arthritis
ISSN : 2475-9155
Launched : 2016
JSM Head and Neck Cancer-Cases and Reviews
ISSN : 2573-1610
Launched : 2016
JSM General Surgery Cases and Images
ISSN : 2573-1564
Launched : 2016
JSM Anatomy and Physiology
ISSN : 2573-1262
Launched : 2016
JSM Dental Surgery
ISSN : 2573-1548
Launched : 2016
Annals of Emergency Surgery
ISSN : 2573-1017
Launched : 2016
Annals of Mens Health and Wellness
ISSN : 2641-7707
Launched : 2017
Journal of Preventive Medicine and Health Care
ISSN : 2576-0084
Launched : 2018
Journal of Chronic Diseases and Management
ISSN : 2573-1300
Launched : 2016
Annals of Vaccines and Immunization
ISSN : 2378-9379
Launched : 2014
JSM Heart Surgery Cases and Images
ISSN : 2578-3157
Launched : 2016
Annals of Reproductive Medicine and Treatment
ISSN : 2573-1092
Launched : 2016
JSM Brain Science
ISSN : 2573-1289
Launched : 2016
JSM Biomarkers
ISSN : 2578-3815
Launched : 2014
JSM Biology
ISSN : 2475-9392
Launched : 2016
Archives of Stem Cell and Research
ISSN : 2578-3580
Launched : 2014
Annals of Clinical and Medical Microbiology
ISSN : 2578-3629
Launched : 2014
JSM Pediatric Surgery
ISSN : 2578-3149
Launched : 2017
Journal of Memory Disorder and Rehabilitation
ISSN : 2578-319X
Launched : 2016
JSM Tropical Medicine and Research
ISSN : 2578-3165
Launched : 2016
JSM Head and Face Medicine
ISSN : 2578-3793
Launched : 2016
JSM Cardiothoracic Surgery
ISSN : 2573-1297
Launched : 2016
JSM Bone and Joint Diseases
ISSN : 2578-3351
Launched : 2017
JSM Bioavailability and Bioequivalence
ISSN : 2641-7812
Launched : 2017
JSM Atherosclerosis
ISSN : 2573-1270
Launched : 2016
Journal of Genitourinary Disorders
ISSN : 2641-7790
Launched : 2017
Journal of Fractures and Sprains
ISSN : 2578-3831
Launched : 2016
Journal of Autism and Epilepsy
ISSN : 2641-7774
Launched : 2016
Annals of Marine Biology and Research
ISSN : 2573-105X
Launched : 2014
JSM Health Education & Primary Health Care
ISSN : 2578-3777
Launched : 2016
JSM Communication Disorders
ISSN : 2578-3807
Launched : 2016
Annals of Musculoskeletal Disorders
ISSN : 2578-3599
Launched : 2016
Annals of Virology and Research
ISSN : 2573-1122
Launched : 2014
JSM Renal Medicine
ISSN : 2573-1637
Launched : 2016
Journal of Muscle Health
ISSN : 2578-3823
Launched : 2016
JSM Genetics and Genomics
ISSN : 2334-1823
Launched : 2013
JSM Anxiety and Depression
ISSN : 2475-9139
Launched : 2016
Clinical Journal of Heart Diseases
ISSN : 2641-7766
Launched : 2016
Annals of Medicinal Chemistry and Research
ISSN : 2378-9336
Launched : 2014
JSM Pain and Management
ISSN : 2578-3378
Launched : 2016
JSM Women's Health
ISSN : 2578-3696
Launched : 2016
Clinical Research in HIV or AIDS
ISSN : 2374-0094
Launched : 2013
Journal of Endocrinology, Diabetes and Obesity
ISSN : 2333-6692
Launched : 2013
Journal of Substance Abuse and Alcoholism
ISSN : 2373-9363
Launched : 2013
JSM Neurosurgery and Spine
ISSN : 2373-9479
Launched : 2013
Journal of Liver and Clinical Research
ISSN : 2379-0830
Launched : 2014
Journal of Drug Design and Research
ISSN : 2379-089X
Launched : 2014
JSM Clinical Oncology and Research
ISSN : 2373-938X
Launched : 2013
JSM Bioinformatics, Genomics and Proteomics
ISSN : 2576-1102
Launched : 2014
JSM Chemistry
ISSN : 2334-1831
Launched : 2013
Journal of Trauma and Care
ISSN : 2573-1246
Launched : 2014
JSM Surgical Oncology and Research
ISSN : 2578-3688
Launched : 2016
Annals of Food Processing and Preservation
ISSN : 2573-1033
Launched : 2016
Journal of Radiology and Radiation Therapy
ISSN : 2333-7095
Launched : 2013
JSM Physical Medicine and Rehabilitation
ISSN : 2578-3572
Launched : 2016
Annals of Clinical Pathology
ISSN : 2373-9282
Launched : 2013
Annals of Cardiovascular Diseases
ISSN : 2641-7731
Launched : 2016
Journal of Behavior
ISSN : 2576-0076
Launched : 2016
Annals of Clinical and Experimental Metabolism
ISSN : 2572-2492
Launched : 2016
Clinical Research in Infectious Diseases
ISSN : 2379-0636
Launched : 2013
JSM Microbiology
ISSN : 2333-6455
Launched : 2013
Journal of Urology and Research
ISSN : 2379-951X
Launched : 2014
Journal of Family Medicine and Community Health
ISSN : 2379-0547
Launched : 2013
Annals of Pregnancy and Care
ISSN : 2578-336X
Launched : 2017
JSM Cell and Developmental Biology
ISSN : 2379-061X
Launched : 2013
Annals of Aquaculture and Research
ISSN : 2379-0881
Launched : 2014
Clinical Research in Pulmonology
ISSN : 2333-6625
Launched : 2013
Journal of Immunology and Clinical Research
ISSN : 2333-6714
Launched : 2013
Annals of Forensic Research and Analysis
ISSN : 2378-9476
Launched : 2014
JSM Biochemistry and Molecular Biology
ISSN : 2333-7109
Launched : 2013
Annals of Breast Cancer Research
ISSN : 2641-7685
Launched : 2016
Annals of Gerontology and Geriatric Research
ISSN : 2378-9409
Launched : 2014
Journal of Sleep Medicine and Disorders
ISSN : 2379-0822
Launched : 2014
JSM Burns and Trauma
ISSN : 2475-9406
Launched : 2016
Annals of Clinical Cytology and Pathology
ISSN : 2475-9430
Launched : 2014
JSM Allergy and Asthma
ISSN : 2573-1254
Launched : 2016
Journal of Neurological Disorders and Stroke
ISSN : 2334-2307
Launched : 2013
Annals of Sports Medicine and Research
ISSN : 2379-0571
Launched : 2014
JSM Sexual Medicine
ISSN : 2578-3718
Launched : 2016
Annals of Vascular Medicine and Research
ISSN : 2378-9344
Launched : 2014
JSM Biotechnology and Biomedical Engineering
ISSN : 2333-7117
Launched : 2013
Journal of Hematology and Transfusion
ISSN : 2333-6684
Launched : 2013
JSM Environmental Science and Ecology
ISSN : 2333-7141
Launched : 2013
Journal of Cardiology and Clinical Research
ISSN : 2333-6676
Launched : 2013
JSM Nanotechnology and Nanomedicine
ISSN : 2334-1815
Launched : 2013
Journal of Ear, Nose and Throat Disorders
ISSN : 2475-9473
Launched : 2016
JSM Ophthalmology
ISSN : 2333-6447
Launched : 2013
Journal of Pharmacology and Clinical Toxicology
ISSN : 2333-7079
Launched : 2013
Annals of Psychiatry and Mental Health
ISSN : 2374-0124
Launched : 2013
Medical Journal of Obstetrics and Gynecology
ISSN : 2333-6439
Launched : 2013
Annals of Pediatrics and Child Health
ISSN : 2373-9312
Launched : 2013
JSM Clinical Pharmaceutics
ISSN : 2379-9498
Launched : 2014
JSM Foot and Ankle
ISSN : 2475-9112
Launched : 2016
JSM Alzheimer's Disease and Related Dementia
ISSN : 2378-9565
Launched : 2014
Journal of Addiction Medicine and Therapy
ISSN : 2333-665X
Launched : 2013
Journal of Veterinary Medicine and Research
ISSN : 2378-931X
Launched : 2013
Annals of Public Health and Research
ISSN : 2378-9328
Launched : 2014
Annals of Orthopedics and Rheumatology
ISSN : 2373-9290
Launched : 2013
Journal of Clinical Nephrology and Research
ISSN : 2379-0652
Launched : 2014
Annals of Community Medicine and Practice
ISSN : 2475-9465
Launched : 2014
Annals of Biometrics and Biostatistics
ISSN : 2374-0116
Launched : 2013
JSM Clinical Case Reports
ISSN : 2373-9819
Launched : 2013
Journal of Cancer Biology and Research
ISSN : 2373-9436
Launched : 2013
Journal of Surgery and Transplantation Science
ISSN : 2379-0911
Launched : 2013
Journal of Dermatology and Clinical Research
ISSN : 2373-9371
Launched : 2013
JSM Gastroenterology and Hepatology
ISSN : 2373-9487
Launched : 2013
Annals of Nursing and Practice
ISSN : 2379-9501
Launched : 2014
JSM Dentistry
ISSN : 2333-7133
Launched : 2013
Author Information X