Loading

International Journal of Clinical Anesthesiology

Induction Dose of Thiopental Sodium for Pediatric Sedation during Radiologic Examination

Research Article | Open Access | Volume 6 | Issue 2

  • 1. Department of Anesthesiology and Pain Medicine, Yonsei University College of Medicine, Republic of Korea
  • 2. Anesthesia and Pain Research Institute, Yonsei University College of Medicine, Republic of Korea
+ Show More - Show Less
Corresponding Authors
Hyo-Jin Byon, Department of Anesthesiology and Pain Medicine, Severance Hospital, Anesthesia and Pain Research Institute, Yonsei University College of Medicine, 50-1 Yonsei-ro, Seodaemun-gu, Seoul 120-752, Postal code: 03722, Republic of Korea
Abstract

Objective: The dose of thiopental sodium for pediatric sedation has been determined mainly based on the patient’s weight. However, children’s demographic characteristics other than the weight can affect the sedative effect of thiopental sodium. The purpose of this study was to determine the demographic characteristics that affect the induction dose of thiopental sodium for pediatric sedation.

Methods: We performed a retrospective chart review of children (<18 years of age) who underwent computed tomography/magnetic resonance imaging between January 2011 and August 2016 at a single tertiary medical center. We collected data on the demographics and the thiopental dose in children in whom sedation was successfully induced, without complications related to thiopental sodium. Regression analysis was performed to evaluate the relationship between the dose of thiopental sodium and the demographics.

Results: A total of 819 children who underwent successful sedation were included in the regression analysis. Weight, height, body surface area (BSA), and age were significantly correlated with the induction dose of thiopental sodium. Based on the multiple regression analysis, the equation for determining the induction dose of thiopental sodium for pediatric sedation was derived as follows: -8.153 + 0.799 × age (month) + 153.844 × BSA.

Conclusions: Not only weight but also age, height, and BSA should be considered for determining the induction dose of thiopental sodium for pediatric sedation by using the proposed regression equation. However, further clinical research should be performed to validate the equation.

Citation

Min JY, Lee JR, Lee HM, Kim HI, Byon HJ (2018) Induction Dose of Thiopental Sodium for Pediatric Sedation during Radiologic Examination. Int J Clin Anesthesiol 6(2): 1095.

Keywords

•    Sedation; Thiopental; Children; Pediatric; 
Radiological examination

ABBREVIATIONS

CT: Computed Tomography; MRI: Magnetic Resonance Imaging; ECG: Electrocardiography; ASA: American Society of Anesthesiologists; NIBP: Non-Invasive Blood Pressure; BSA: Basal Surface Area

INTRODUCTION

Children cannot always be expected to cooperate when undergoing diagnostic tests or procedures. Thus, sedation may be necessary to calm the patients and relieve their anxiety [1,2].

Physicians have found it challenging to determine the appropriate dose for pediatric sedation. If the dose is insufficient to achieve sedation, the diagnostic test or procedure may be unsuccessful. The failure of sedation may result in delayed testing, incorrect findings, and failure of the procedure. Furthermore, unexpected movement of the child may affect safety and cause accidents. Conversely, an excessive dose of sedatives may cause severe side effects, such as airway obstruction, apnea, hypotension, and cardiac arrest [3]. Therefore, it is crucial to address the lack of a fully established method for determining the appropriate dose for pediatric sedation [4].

Currently, the sedatives used in pediatric sedation include propofol, thiopental sodium, ketamine, and midazolam. Among these sedatives, thiopental sodium is useful for children undergoing short procedures because it is a rapid-onset, shortacting barbiturate [5]. Furthermore, thiopental sodium provides effective sedation during magnetic resonance imaging (MRI) and is a cost-effective alternative to other commonly used agents. Nevertheless, the recommended dose of thiopental sodium used for pediatric sedation has a broad range (2-5 mg/kg) and is based only on the weight of the patient [6]. However, pharmacokinetic parameters of thiopental sodium, such as its volume of distribution and clearance, have been reported to change as children grow. Therefore, the dose of thiopental for pediatric sedation should be determined based not only on weight, but also on other demographics of children, such as height and age. The aim of this study was to investigate the demographic characteristics that affect the dose of thiopental sodium for pediatric sedation.

MATERIALS AND METHODS

This was a retrospective study that analyzed the medical records of children (aged 0 ~ 18 years) with an American Society of Anesthesiologists (ASA) classification of 1 or 2 and who had undergone successful sedation with thiopental sodium for computed tomography (CT) or magnetic resonance imaging (MRI) examination in a single tertiary hospital with institutional review board approval from June 1, 2011 to August 31, 2016. Patients were excluded from the analysis if they received any sedatives other than thiopental sodium before or during the examination, or if respiratory infection or uncorrected heart disease were evident.

Protocol of pediatric sedation

Each patient underwent the following protocol during sedation for radiologic examinations. After the patient and their parents entered the CT or MRI room, a pulse oximeter, electrocardiograph machine, non-invasive blood pressure cuff, and end-tidal CO2 monitor were attached to the patient and corresponding parameters were monitored every 5min during the examination. After 0.004mg/kg of glycopyrrolate was intravenously administered, the patient received an intravenous bolus injection of 2 mg/kg of thiopental sodium.

The loss of consciousness was confirmed based on 1) the lack of eyelash reflex or 2) the fitting of a facial mask without resistance. The sedation level was evaluated using a modified Ramsay Sedation Scale and maintained at 4–6 points during the radiologic examination. If the loss of consciousness was not achieved, an additional bolus injection of 2mg/kg of thiopental sodium was administered at 1-min intervals until the patient lost consciousness. If the patient recovered consciousness or movement occurred during the examination, an additional dose (1 mg/kg) of thiopental sodium was injected and the patient was excluded from the study.

After the radiologic examination, the patient was moved and during recovery from sedation, oxygen and hemodynamic monitoring was performed in a pediatric sedation center. Patient discharge was decided upon when the hemodynamic value could be maintained within 20% of the value before sedation, when the modified Aldrete recovery score was > 9, when consciousness of the patient was fully recovered, and when water could be consumed without nausea or vomiting.

Data collection

Data were collected from electronic medical records, including demographic information (sex, age, weight, height, and body surface area [BSA]), the diagnosed disease, the type of radiologic examination, the duration of the examination, the initial and any additional doses of thiopental sodium, and the administration time of thiopental sodium. The incidence of any complications was also recorded, such as respiratory depression, airway obstruction, hypotension, bradycardia, or aspiration. In the present study, BSA was defined using the following formula:

\sqrt{Weight(kg)*Height(cm)/3600.}

The induction dose of thiopental sodium was defined as the total dose administered until the patient lost consciousness. Respiratory depression was defined as the presence of desaturation (SpO2 < 90%), hypercapnia (ETCO2 > 50 mmHg), and apnea. Hypotension or bradycardias were measured against the normal values for blood pressure and pulse rate, respectively, for the patient’s age. Successful sedation was defined as unconsciousness achieved with the administration of thiopental sodium, without interruption of the examination because of recovery of consciousness or substantial movement, and without complications during the examination. Only the data from cases of successful sedation were included in the regression analysis.

Data analyses

The relationship between sex, age, weight, height, BSA, and the induction dose of thiopental sodium was evaluated using simple linear regression. A regression equation was then proposed based on the results of multiple regression analysis. Prior to the multiple linear regressions, the variance inflation factor (VIF) between sex, age, weight, height, and BSA was estimated to detect multiple collinearity; a VIF > 10 indicated multiple collinearity. Sex, age, weight, height, or BSA exhibiting multiple collinearity could not be analyzed simultaneously in a single model; therefore, variables without multiple collinearity were analyzed using different models. The model was visually inspected for linearity, heteroscedasticity, and normality of residuals. Additionally, studentized residual analysis was performed to verify normal distribution and iso-dispersion of residuals. A probability–probability plot (P-P plot) was drawn to evaluate the skewness of distribution. Statistical analyses were performed using Statistical Analysis Software (version 9.4, SAS Inc., Cary, NC, USA).

RESULTS

After review of the medical records of cases of pediatric sedation with thiopental sodium, a total of 819 cases were defined as having successful sedation and included in the regression analysis. The demographic data of patients are shown in Table 1.

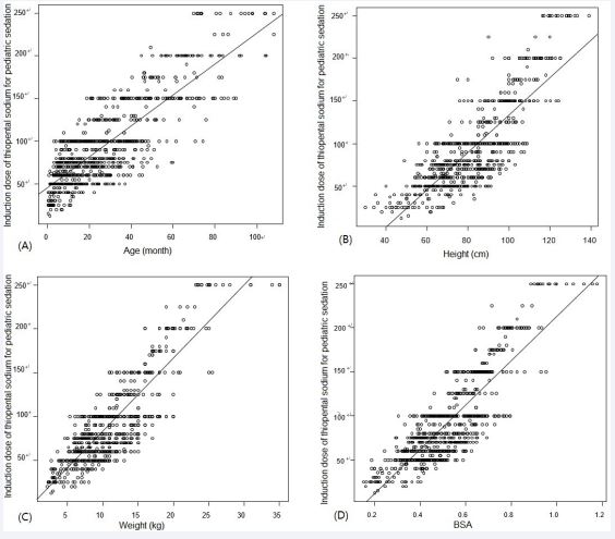
The results of simple linear regression analysis between the pediatric sedation dose of thiopental sodium and each characteristic of the children, including sex, age, weight, height, and BSA, are described in Table 2. Age, weight, height, and BSA showed significant correlations with the pediatric sedation dose of thiopental sodium (p< 0.001). A scatter plot of the relationships between the pediatric sedation dose of thiopental sodium and each characteristic of the children is shown in Figure 1, in which the sloping line representing the dose of thiopental sodium increases with increasing age (A), weight (B), height (C), and BSA (D).

https://www.jscimedcentral.com/public/assets/images/uploads/image-1767856244-1.JPG

Figure 1 Simple linear regression between demographic characteristics and the dose of propofol needed to induce sedation in children undergoing radiological examinations.(A) Age, (B) height, (C) weight, and (D) body surface area (BSA). BSA: body surface area

The VIFs of age, weight, height, and BSA were estimated at 5.833, 76.872, 254.889, and 533.184, respectively. The VIFs of weight, height, and BSA were determined to detect multiple collinearity, and were therefore impossible to analyze in the same model. Therefore, three models, including age and weight together, age and height together, and age and BSA together, were used, as shown in Table 3. The model including age and BSA together had the highest adjusted R-square value (0.739) and was therefore selected as the optimal equation for estimating the dose of thiopental sodium required to achieve successful sedation: induction dose of thiopental sodium (mg) = -8.153 + 0.799× age (months) + 153.844× BSA (m2 ). In the equation, p-value of intercept, age and BSA was 0.064, < 0.001 and < 0.001 respectively.

https://www.jscimedcentral.com/public/assets/images/uploads/image-1767856346-1.JPG

Figure 2 Residual plot of standardized and predicted values Dependent variable: induction dose of thiopental sodium for pediatric sedation.

In Figure 2, the dots appear to be random with no particular tendency, centering around zero. A P-P plot revealed that these points form a nearly linear pattern, indicating that normal distribution was a good model for this data set (Figure 3).

https://www.jscimedcentral.com/public/assets/images/uploads/image-1767856376-1.JPG

Figure 3 Probability–probability plot for the induction dose of thiopental sodium in children undergoing radiological examinations. Dependent variable: induction dose of thiopental sodium for pediatric sedation.

Table 1: Characteristics of children of the 819 children included in present study.

Demograhics n = 819
Gender
Male
Female
Median age, month
435 (53.1%)
384 (46.9%)
19.9 (9.25 – 36.3)
Median weight, kg
Median height, cm
10.4 (8-14)
80.4 (68-94)
Median BSA , m2
ASA class
0.51 ( 0.4-0.63)
I-II 744 (90.8%)
III 75 (9.2%)
Examination  
CT 682 (83.3%)
MRI 137 (16.7%)
CT+MRI 0 ( 0.0 % )
Imaging site  
Brain 476 (58.1%)
Head & Neck 142 (17.3%)
Spine 182 (22.2%)
Others 23 (2.4%)
Values are median (IQR) or number (%)
Abbreviations: ASA: American Society of Anesthesiologists; BSA; Basal 
Surface Area; CT: Computed Tomography; MRI: Magnetic Resonance 
Imaging

Table 2: Simple linear regression analysis between demographic data and dose of thiopental sodium required to induce sedation for children during radiologic examinations.

  Dose of thiopental sodium to induce sedation
β (SE) p-value
Sex 0.729 (3.108) 0.815
Age(months) 1.808 (0.041) <0.001
Height(cm) 2.183 (0.056) <0.001
Weight(kg) 8.307 (0.172) <0.001
BSA(m2 ) 251.835 (5.572) <0.001
BSA: Basal surface area

Table 3: Regression equations describing dose of thiopental sodium needed to induce sedationbetween age and other demograhics (height, weight and BSA).

Variable equation Adjusted R2
Age, height -8.84 + 1.98 × Age (months) + 0.86 × Height (cm) 0.709
Age, weight 14.15 + 0.80 × age (months) + 5.12 × Weight (kg) 0.738
Age, BSA -8.15 + 0.78 × age (months) + 153.84 × BSA (m2 ) 0.739
BSA: Basal surface area

 

DISCUSSION

In this study, we reviewed the medical records of children successfully sedated with thiopental sodium and we performed a regression analysis on the relationship between the sedation dose and the different characteristics. The regression analysis showed that the sedation dose was significantly correlated with not only weight but also age, height, and BSA. Based on the multiple regression analysis equation, the formula for calculating the pediatric sedation dose of thiopental sodium was -8.153 + 0.799 × age (month) + 153.844 × BSA. This formula could help physician to determine the dose of thiopental sodium for pediatric sedation during radiologic examinations. However, physician should be careful of possible complications due to thiopental sodium in children.

In the current ASA guidelines, the thiopental dose for pediatric patients is based only on the weight of the child. However, weight may not reflect changes in the size and composition of the body as children grow. Previous studies have found that pharmacokinetic parameters, such as the volume of distribution and clearance, differ between adults and children [7-9]. It is reasonable that these aspects be considered when determining the dose of thiopental for pediatric sedation. As a result of simple regression analysis, we found that weight is not the only factor that affects the sedative effects of thiopental. Thus, the thiopental dose for pediatric sedation should be decided based not only on weight, but also on height, age, and BSA [10,11].

We performed the multiple regression analysis to evaluate how weight, height, age, and BSA affect the thiopental dose for pediatric sedation together. Based on the multiple regression analysis, a formula was developed to calculate the dose of thiopental sodium for pediatric sedation during radiologic examination. The formula was selected from among three regression models because it had highest value of R2 . In the present study, BSA was determined using the following equation:

\sqrt{Weight(kg)*Height(cm)/3600}

The formula used in present study suggested that age, weight, and height be considered together to determine the dose of thiopental sodium. The calculated dose means the dose of thiopental sodium administered in previous successful cases for children with same age, weight and height.

The formula developed in the present study can help physicians determine the dose of thiopental sodium for a successful pediatric sedation [12]. Because current guidelines for pediatric sedation propose a broad range of thiopental doses, deciding an appropriate dose can be challenging, particularly for physicians with less experience in pediatric sedation [6]. While, using the formula proposed in present study, physicians can calculate specific dose of thiopental sodium for children undergoing radiologic examinations. Because thiopental is not the first-choice drug for pediatric sedation, physicians have less experience using thiopental but it remains a useful sedative for pediatric sedation when propofol cannot be used (e.g.,, when there is a lack of availability, the patient has an allergy to the anesthetic, or when approval to use propofol in children cannot be granted [13]. The formula may be useful for these less experienced physicians to offer the referential dose of thiopental sodium based on the age and BSA of children [3].

The dose of thiopental sodium calculated using the formula developed in the present study is not an exact dose for inducing pediatric sedation. In our protocol, an initial loading dose of 2 mg/kg of thiopental sodium was administered, followed by an additional dose of 2 mg/kg at 1-min intervals until the loss of consciousness was achieved. In some children who need 3 mg/kg of thiopental sodium to achieve sedation, 4 mg/kg of thiopental sodium was injected because additional dose was 2 mg/kg. A greater dose of thiopental sodium than necessary to induce sedation may have been administered. Therefore, concern about the complications of thiopental, such as apnea and hypotension, may arise when using the formula developed in the present study.

However, this study was based on the medical records of children whose pediatric sedation was successful and without any complications associated with thiopental. Thus, complications of an excessive dose of thiopental sodium may be few when the dose of thiopental sodium is decided using the formula developed in the present study. Similarly, in the case of propofol, a high dose has proven effective for pediatric sedation without an increase of the adverse effects associated with propofol [2]. Nevertheless, physicians should monitor vital signs and respiratory function carefully because the possibility of an adverse event caused by a high dose of thiopental cannot be ruled out. Additional clinical studies assessing the clinical outcome when using the formula should be performed to prove the effect of the formula in pediatric sedation.

The dose of sedative drugs should be decided based on the type of examination or procedure because the required level of sedation differs accordingly. We only included cases of pediatric sedation during radiologic examinations such as MRI or CT, which require deep sedation to prevent any movement or analgesic effect during examination. It would be appropriate to apply the results of present study to children undergoing examination or procedures with the same sedation requirements. However, caution must be used when applying the results of the present study to examinations or procedures that need different levels of sedative or analgesic effect e.g., lumbar puncture, bone marrow aspiration, chemo port insertion).

The present study had several limitations. First, as a retrospective study, the data were collected from medical records of pediatric sedation, which are recorded in detail for quality improvement. Second, the medical records were recorded by a provider of pediatric sedation. Thus, it is possible that the data of the medical records could have been influenced by the recorder. Third, the data were collected from the medical records of children with an ASA classification of 1 or 2. Caution is necessary when applying the results of the present study to critically ill children who might be susceptible to complications caused by thiopental sodium. Fourth, possible effects of other medications that the children were taking on the sedative effect of thiopental sodium were not considered.

CONCLUSION

The induction dose of thiopental sodium for pediatric sedation during radiologic examinations should be determined based not only on weight but also on age, height, and BSA. The formula proposed in present study based on regression analysis might be used to calculate the referential dose of thiopental sodium to induce sedation in children undergoing radiologic examinations. Further clinical research to evaluate the clinical effectiveness of the formula developed in the present study should be performed to assess the outcomes.

ACKNOWLEDGEMENTS

J.Y Min, H.J Byon participated in organizing our materials, participated in the design of the study and performed the statistical analysis. JR Lee, H.M Lee, H.I Kim conceived of the study, participated in its design and coordination, and helped draft the manuscript. All authors read and approved the final manuscript. This research was supported by a grant of the Korea Health Technology R&D Project through the Korea Health Industry Development Institute (KHIDI), funded by the Ministry of Health & Welfare, Republic of Korea (grant number: HI16C0793).

REFERENCES

1. Schulte-Uentrop L, Goepfert MS. Anaesthesia or sedation for MRI in children. Curr Opin Anaesthesiol. 2010; 23: 513-517.

2. Heng Vong C, Bajard A, Thiesse P, Bouffet E, Seban H, Marec Berard P. Deep sedation in pediatric imaging: efficacy and safety of intravenous chlorpromazine. Pediatr Radiol. 2012; 42: 552-561.

3. Pitetti RD, Singh S, Pierce MC. Safe and efficacious use of procedural sedation and analgesia by nonanesthesiologists in a pediatric emergency department. Arch Pediatr Adolesc Med. 2003; 157: 1090- 1096.

4. Mason KP, Green Sm Fau, Piacevoli Q. Adverse event reporting tool to standardize the reporting and tracking of adverse events during procedural sedation: a consensus document from the World SIVA International Sedation Task Force. Br J Anaesth. 2012; 108: 13-20.

5. Ustun YB, Atalay YO, Koksal E, Kaya C, Ozkan F, Sener EB, et al. Thiopental versus ketofol in paediatric sedation for magnetic resonance imaging: A randomized trial. J Pak Med Assoc. 2017; 67: 247-251.

6. Hansen TG. Sedative medications outside the operating room and the pharmacology of sedatives. Curr Opin Anaesthesiol. 2015; 28: 446- 452.

7. Batchelor HK, Marriott JF. Paediatric pharmacokinetics: key considerations. Br J Clin Pharmacol. 2015; 79: 395-404.

8. Johnson TN. The problems in scaling adult drug doses to children. Arch Dis Child. 2008; 93: 207-211.

9. Cella M, Knibbe CF, Danhof MF, Della Pasqua O. What is the right dose for children? Br J Clin Pharmacol. 2010; 70: 597-603.

10. Sharkey I, Boddy AF, Wallace H, Mycroft J, Hollis R, Hollis R, et al. Body surface area estimation in children using weight alone: application in paediatric oncology. Br J Cancer. 2001; 85: 23-28.

11. Hughes IP, Harris M, Cotterill A, Ambler G, Cowell CT, Cutfield WS, et al. Comparison of weight- vs body surface area-based growth hormone dosing for children: implications for response. Clin Endocrinol (Oxf). 2014; 80: 384-394.

12. Atalay YO, Leman T, Tobias JD. Efficacy and safety of intravenous thiopental for sedation during magnetic resonance imaging in pediatric patients: A retrospective analysis. Saudi J Anaesth. 2017; 11: 185-189.

13. Jasiak KD, Phan H, Christich AC, Edwards CJ, Skrepnek GH, Patanwala AE. Induction dose of propofol for pediatric patients undergoing procedural sedation in the emergency department. Pediatr Emerg Care. 2012; 28: 440-442.

Min JY, Lee JR, Lee HM, Kim HI, Byon HJ (2018) Induction Dose of Thiopental Sodium for Pediatric Sedation during Radiologic Examination. Int J Clin Anesthesiol 6(2): 1095.

Received : 20 Nov 2018
Accepted : 07 Dec 2018
Published : 10 Dec 2018
Journals
Annals of Otolaryngology and Rhinology
ISSN : 2379-948X
Launched : 2014
JSM Schizophrenia
Launched : 2016
Journal of Nausea
Launched : 2020
JSM Internal Medicine
Launched : 2016
JSM Hepatitis
Launched : 2016
JSM Oro Facial Surgeries
ISSN : 2578-3211
Launched : 2016
Journal of Human Nutrition and Food Science
ISSN : 2333-6706
Launched : 2013
JSM Regenerative Medicine and Bioengineering
ISSN : 2379-0490
Launched : 2013
JSM Spine
ISSN : 2578-3181
Launched : 2016
Archives of Palliative Care
ISSN : 2573-1165
Launched : 2016
JSM Nutritional Disorders
ISSN : 2578-3203
Launched : 2017
Annals of Neurodegenerative Disorders
ISSN : 2476-2032
Launched : 2016
Journal of Fever
ISSN : 2641-7782
Launched : 2017
JSM Bone Marrow Research
ISSN : 2578-3351
Launched : 2016
JSM Mathematics and Statistics
ISSN : 2578-3173
Launched : 2014
Journal of Autoimmunity and Research
ISSN : 2573-1173
Launched : 2014
JSM Arthritis
ISSN : 2475-9155
Launched : 2016
JSM Head and Neck Cancer-Cases and Reviews
ISSN : 2573-1610
Launched : 2016
JSM General Surgery Cases and Images
ISSN : 2573-1564
Launched : 2016
JSM Anatomy and Physiology
ISSN : 2573-1262
Launched : 2016
JSM Dental Surgery
ISSN : 2573-1548
Launched : 2016
Annals of Emergency Surgery
ISSN : 2573-1017
Launched : 2016
Annals of Mens Health and Wellness
ISSN : 2641-7707
Launched : 2017
Journal of Preventive Medicine and Health Care
ISSN : 2576-0084
Launched : 2018
Journal of Chronic Diseases and Management
ISSN : 2573-1300
Launched : 2016
Annals of Vaccines and Immunization
ISSN : 2378-9379
Launched : 2014
JSM Heart Surgery Cases and Images
ISSN : 2578-3157
Launched : 2016
Annals of Reproductive Medicine and Treatment
ISSN : 2573-1092
Launched : 2016
JSM Brain Science
ISSN : 2573-1289
Launched : 2016
JSM Biomarkers
ISSN : 2578-3815
Launched : 2014
JSM Biology
ISSN : 2475-9392
Launched : 2016
Archives of Stem Cell and Research
ISSN : 2578-3580
Launched : 2014
Annals of Clinical and Medical Microbiology
ISSN : 2578-3629
Launched : 2014
JSM Pediatric Surgery
ISSN : 2578-3149
Launched : 2017
Journal of Memory Disorder and Rehabilitation
ISSN : 2578-319X
Launched : 2016
JSM Tropical Medicine and Research
ISSN : 2578-3165
Launched : 2016
JSM Head and Face Medicine
ISSN : 2578-3793
Launched : 2016
JSM Cardiothoracic Surgery
ISSN : 2573-1297
Launched : 2016
JSM Bone and Joint Diseases
ISSN : 2578-3351
Launched : 2017
JSM Bioavailability and Bioequivalence
ISSN : 2641-7812
Launched : 2017
JSM Atherosclerosis
ISSN : 2573-1270
Launched : 2016
Journal of Genitourinary Disorders
ISSN : 2641-7790
Launched : 2017
Journal of Fractures and Sprains
ISSN : 2578-3831
Launched : 2016
Journal of Autism and Epilepsy
ISSN : 2641-7774
Launched : 2016
Annals of Marine Biology and Research
ISSN : 2573-105X
Launched : 2014
JSM Health Education & Primary Health Care
ISSN : 2578-3777
Launched : 2016
JSM Communication Disorders
ISSN : 2578-3807
Launched : 2016
Annals of Musculoskeletal Disorders
ISSN : 2578-3599
Launched : 2016
Annals of Virology and Research
ISSN : 2573-1122
Launched : 2014
JSM Renal Medicine
ISSN : 2573-1637
Launched : 2016
Journal of Muscle Health
ISSN : 2578-3823
Launched : 2016
JSM Genetics and Genomics
ISSN : 2334-1823
Launched : 2013
JSM Anxiety and Depression
ISSN : 2475-9139
Launched : 2016
Clinical Journal of Heart Diseases
ISSN : 2641-7766
Launched : 2016
Annals of Medicinal Chemistry and Research
ISSN : 2378-9336
Launched : 2014
JSM Pain and Management
ISSN : 2578-3378
Launched : 2016
JSM Women's Health
ISSN : 2578-3696
Launched : 2016
Clinical Research in HIV or AIDS
ISSN : 2374-0094
Launched : 2013
Journal of Endocrinology, Diabetes and Obesity
ISSN : 2333-6692
Launched : 2013
Journal of Substance Abuse and Alcoholism
ISSN : 2373-9363
Launched : 2013
JSM Neurosurgery and Spine
ISSN : 2373-9479
Launched : 2013
Journal of Liver and Clinical Research
ISSN : 2379-0830
Launched : 2014
Journal of Drug Design and Research
ISSN : 2379-089X
Launched : 2014
JSM Clinical Oncology and Research
ISSN : 2373-938X
Launched : 2013
JSM Bioinformatics, Genomics and Proteomics
ISSN : 2576-1102
Launched : 2014
JSM Chemistry
ISSN : 2334-1831
Launched : 2013
Journal of Trauma and Care
ISSN : 2573-1246
Launched : 2014
JSM Surgical Oncology and Research
ISSN : 2578-3688
Launched : 2016
Annals of Food Processing and Preservation
ISSN : 2573-1033
Launched : 2016
Journal of Radiology and Radiation Therapy
ISSN : 2333-7095
Launched : 2013
JSM Physical Medicine and Rehabilitation
ISSN : 2578-3572
Launched : 2016
Annals of Clinical Pathology
ISSN : 2373-9282
Launched : 2013
Annals of Cardiovascular Diseases
ISSN : 2641-7731
Launched : 2016
Journal of Behavior
ISSN : 2576-0076
Launched : 2016
Annals of Clinical and Experimental Metabolism
ISSN : 2572-2492
Launched : 2016
Clinical Research in Infectious Diseases
ISSN : 2379-0636
Launched : 2013
JSM Microbiology
ISSN : 2333-6455
Launched : 2013
Journal of Urology and Research
ISSN : 2379-951X
Launched : 2014
Journal of Family Medicine and Community Health
ISSN : 2379-0547
Launched : 2013
Annals of Pregnancy and Care
ISSN : 2578-336X
Launched : 2017
JSM Cell and Developmental Biology
ISSN : 2379-061X
Launched : 2013
Annals of Aquaculture and Research
ISSN : 2379-0881
Launched : 2014
Clinical Research in Pulmonology
ISSN : 2333-6625
Launched : 2013
Journal of Immunology and Clinical Research
ISSN : 2333-6714
Launched : 2013
Annals of Forensic Research and Analysis
ISSN : 2378-9476
Launched : 2014
JSM Biochemistry and Molecular Biology
ISSN : 2333-7109
Launched : 2013
Annals of Breast Cancer Research
ISSN : 2641-7685
Launched : 2016
Annals of Gerontology and Geriatric Research
ISSN : 2378-9409
Launched : 2014
Journal of Sleep Medicine and Disorders
ISSN : 2379-0822
Launched : 2014
JSM Burns and Trauma
ISSN : 2475-9406
Launched : 2016
Chemical Engineering and Process Techniques
ISSN : 2333-6633
Launched : 2013
Annals of Clinical Cytology and Pathology
ISSN : 2475-9430
Launched : 2014
JSM Allergy and Asthma
ISSN : 2573-1254
Launched : 2016
Journal of Neurological Disorders and Stroke
ISSN : 2334-2307
Launched : 2013
Annals of Sports Medicine and Research
ISSN : 2379-0571
Launched : 2014
JSM Sexual Medicine
ISSN : 2578-3718
Launched : 2016
Annals of Vascular Medicine and Research
ISSN : 2378-9344
Launched : 2014
JSM Biotechnology and Biomedical Engineering
ISSN : 2333-7117
Launched : 2013
Journal of Hematology and Transfusion
ISSN : 2333-6684
Launched : 2013
JSM Environmental Science and Ecology
ISSN : 2333-7141
Launched : 2013
Journal of Cardiology and Clinical Research
ISSN : 2333-6676
Launched : 2013
JSM Nanotechnology and Nanomedicine
ISSN : 2334-1815
Launched : 2013
Journal of Ear, Nose and Throat Disorders
ISSN : 2475-9473
Launched : 2016
JSM Ophthalmology
ISSN : 2333-6447
Launched : 2013
Journal of Pharmacology and Clinical Toxicology
ISSN : 2333-7079
Launched : 2013
Annals of Psychiatry and Mental Health
ISSN : 2374-0124
Launched : 2013
Medical Journal of Obstetrics and Gynecology
ISSN : 2333-6439
Launched : 2013
Annals of Pediatrics and Child Health
ISSN : 2373-9312
Launched : 2013
JSM Clinical Pharmaceutics
ISSN : 2379-9498
Launched : 2014
JSM Foot and Ankle
ISSN : 2475-9112
Launched : 2016
JSM Alzheimer's Disease and Related Dementia
ISSN : 2378-9565
Launched : 2014
Journal of Addiction Medicine and Therapy
ISSN : 2333-665X
Launched : 2013
Journal of Veterinary Medicine and Research
ISSN : 2378-931X
Launched : 2013
Annals of Public Health and Research
ISSN : 2378-9328
Launched : 2014
Annals of Orthopedics and Rheumatology
ISSN : 2373-9290
Launched : 2013
Journal of Clinical Nephrology and Research
ISSN : 2379-0652
Launched : 2014
Annals of Community Medicine and Practice
ISSN : 2475-9465
Launched : 2014
Annals of Biometrics and Biostatistics
ISSN : 2374-0116
Launched : 2013
JSM Clinical Case Reports
ISSN : 2373-9819
Launched : 2013
Journal of Cancer Biology and Research
ISSN : 2373-9436
Launched : 2013
Journal of Surgery and Transplantation Science
ISSN : 2379-0911
Launched : 2013
Journal of Dermatology and Clinical Research
ISSN : 2373-9371
Launched : 2013
JSM Gastroenterology and Hepatology
ISSN : 2373-9487
Launched : 2013
Annals of Nursing and Practice
ISSN : 2379-9501
Launched : 2014
JSM Dentistry
ISSN : 2333-7133
Launched : 2013
Author Information X