Loading

International Journal of Plant Biology & Research

Auxins Increase the Efficiency of 24-Epibrassinolide to Promote Growth, Photosynthesis and Antioxidant System in Vigna radiata

Research Article | Open Access | Volume 8 | Issue 1

  • 1. Department of Biotechnology, Integral University, India
  • 2. Department of Biology, United Arab Emirates University, UAE
  • 3. Plant College of Forest Resources and Environment, Nanjing Forestry University, China
  • 4. Department of Botany, Aligarh Muslim University, India
+ Show More - Show Less
Corresponding Authors
Shamsul Hayat, Plant Physiology Section, Department of Botany, Aligarh Muslim University, Aligarh, India, Tel: 91-9412328593
Abstract

A pot experiment was conducted to observe the response of Vigna radiata plants to auxins (IAA and/or 4-Cl-IAA) and their interaction with 24-epibrassinolide (EBL). At 30-day stage of growth, foliar spray of 10-8 M IAA, 4-Cl-IAA, and/or EBL were given. The plants were then allowed to grow for 45 days and were finally harvested to evaluate plant growth, leaf gas exchange traits and selected biochemical parameters. The plants gave positive response to the hormones (IAA, 4-Cl IAA and EBL) applied alone or in various possible combinations. Combined dose of all the three (IAA + 4-Cl IAA + EBL) generated maximum values for all the parameters observed. The lowest readings were recorded in the plants applied with water solely.

Citation

Khatoon H, Yusuf M, Faizan M, Siddiqui H, Hayat S (2020) Auxins Increase the Efficiency of 24-Epibrassinolide to Promote Growth, Photosynthesis and Antioxidant System in Vigna radiata. Int J Plant Biol Res 8(1): 1118.

Keywords

•    Auxin
•    Antioxidant
•    Brassinosteroid
•    Crosstalk
•    Photosynthesis

ABBREVIATIONS

Aux: Auxin; BR: Brassinosteoids; CA: Carbonic Anhydrase; CAT: Catalase; EBL: 24-Epibrassinolide; POX: Peroxidase

INTRODUCTION

Occurrence of auxin (Aux) biosynthesis, signalling and transport apparatus in single-celled green algae suggests an evolutionary role of auxin in the acclimatization of plants to varying environmental conditions [1]. Auxin binds to TIR1/ AFB nuclear receptors, which are F-box subunits of the SCF ubiquitin ligase complex to co-ordinate plant development. Aux controls growth, phototropism and gravitropism, apical dominance, initiation of lateral root, differentiation of vascular tissues, embryogenesis, fruit setting, ripening and the process of senescence [2]. Some plants also haverelated auxins,like indole-3-butyric acid, phenyl acetic acid and 4-chloroindole-3- acetic acid (4-Cl-IAA) [3,4]. Out of these, 4-Cl-IAA was discovered from the species Pinus sylvestris [5], and the members of the family fabaceae [6]. Some extraordinary properties of 4-Cl-IAA (high auxin activity proved via different bioassays such as pea stem curvature and straight growth, oat and wheat coleoptile growth and mung bean hypocotyls growth etc.) distinguishedit from other auxins [7,8]. Increased enzymes activity and/or their inducibility are other impacts of the application of 4-Cl-IAA [9], which in turn enhanced the photosynthetic rate and finally produced more seed inBrassica juncea, at harvest [10].

Brassinosteroids (BRs) is a group of steroidal compounds that are dispersed in all over the plant kingdom.Brassinolide, 24-epibrassinolide (EBL) and 28-homobrassinolide (HBL) are the three analogues of BRs that possess maximum activity out of all the known BRs and have asignificantinfluence on plant growth and metabolism, and also high stabile under field conditions [11]. BRs regulate/coordinate varied functions like, protein synthesis, reproductive development, gene expression, seed germination, division of cell and growth of pollen tube etc. [12]. Moreover, they also provide resistance to plantsfrom numerous biotic and abiotic stresses, such as, drought, heat and chilling [13,14]. Exogenously applied BRs promote yield and stress tolerance of wheat, by stimulating nucleic acid and protein synthesis, activating ATPase and antioxidant activity, and osmo-protectants accumulation, inducing phytohormone responses, regulating stress-responsive genes expression and inducing photosynthetic efficiency and the translocation of photosynthates to the sink [15-20]. However, the mechanism through which they act on plants is poorly understood [12]. 

This study was conducted to investigate the efficacy of 24-epibrassinolide in the presence or absence of two auxin analogues (IAA and 4-Cl-IAA) to explore the possible relationship in their impact by selecting certain biomarkers of Vigna radiata.

MATERIALS AND METHODS

Hormone preparation

EBL was procured from Sigma-Aldrich Chemicals Pvt. Ltd. India. Required quantity of hormone was dissolved in ethanol to make a stock solution of 10-4 M. Final volume was made up to 100 ml by using double distill water (DDW). The stock solution was diluted to 10-8 M. EBL concentration was fixed on the report of Fariduddin et al (2013).Indole acetic acid (IAA) was obtained from Sigma Chemicals Ltd., USA whereas 4-Cl-IAA was gifted by Prof. K.C. Engvild, RISO National Laboratory, Copenhagen, Denmark. The required quantities of the hormones were dissolved in 0.5 ml of ethanol, separately in a volumetric flasks and the volume was made up to 100 ml using DDW. 0.5 ml of surfactant ‘Tween-20’ was added to each flask prior to the treatment.

Biological materials

The seeds of Vigna radiata var. PDM Sarat were acquired from National Seed Corporation Ltd., New Delhi, India. Surface of the seeds were using sodium hypochlorite solution (1%) for 5 min, followed by repeated washings with DDW.

Experimental design and Treatment pattern

The experiment was conducted in net house of Department of Botany, Aligarh Muslim University, Aligarh, India under natural environment conditions. 40 earthen pots of 6 inch in diameter were used and filled with soil and farmyard manure in the ratio 3:1. Sterilized seeds were sown in pots and allowed to germinate. Each treatment was repeated 5 times (replicate). At 30 day stage, foliage of each plant was sprayed by adjusting the nozzle so as to pump out 1 ml (approx) in a single spray. Sampling was done at 45-day stage of growth to assess growth parameters and leaf gas exchange traits as well as biochemical markers. The treatment patterns are as follows:

Set I: DDW spray on foliage (Control)

Set II: EBL (10-8 M) spray on foliage.

Set III: IAA (10-8 M) spray on foliage.

Set IV: 4-Cl-IAA (10-8 M) spray on foliage.

Set V: EBL (10-8 M) and IAA (10-8 M) spray on foliage.

Set VI: EBL (10-8 M) and 4-Cl-IAA (10-8 M) spray on foliage.

Set VII: IAA (10-8 M) and 4-Cl-IAA (10-8 M) spray on foliage.

Set VIII: EBL (10-8 M), IAA (10-8 M) and 4-Cl-IAA (10-8 M) spray on foliage.

Morphological traits

The plants were removed from the pots along with adhering soil and dipped in a water filled bucket and moved gently to remove the adhering soil from the roots. The length of the tap root and that of the shoot were measured on the meter scale. The plants were blotted to record their fresh mass and subsequently placed in an incubator at 70o C for 3 days to record their dry mass.

The area of leaf was measured using a portable leaf area meter (ADC Bioscientific, UK).

Chlorophyll content (SPAD level) and gas exchange parameters

The value of SPAD chlorophyll in the leaf was calculated, using the SPAD chlorophyll meter (SPAD-502; Konica, Minolta sensing, Inc., Japan).

Gas exchange parameters were recorded on the third fully expanded leaf between 11:00 and 12:00 h with the help of infrared gas analyzer (IRGA) portable photosynthetic system (LICOR 6400,LI-COR, and Lincoln, NE, USA). Net photosynthetic rate (PN) and its related attributes [stomatal conductance (gs), internal CO2 concentration (Ci), water use efficiency (WUE)] were calculated by maintaining air temperature, relative humidity, CO2 concentration and PPFD at 25o C, 85%, 600 ppm and 800 μmol mol−2s−1, respectively.

Biochemical analysis

The level of carbonic anhydrase (CA), catalase (CAT), superoxide dismutase (SOD), peroxidase (POX) enzymes and that proline, along with H2 O2 were determined, as per earlier observations [21].

Assay for leaf protein content

The amount of protein in fresh leaves was demonstrated by the method given by Bradford [22]. Bradford reagent (2 ml) was added in to the 100 μl supernatant and mixed smoothly. The samples were incubated at 250 C for 5-10 min. for their absorbance and read absorbance at 595nm by spectrophotometer.

Statistical analysis

Data were analyzed statistically and the standard error (SE) was calculated. Analysisof variance (ANOVA) was performed on the data using SPSS (ver. 10.0 Inc., USA) to determine the least significant difference (LSD). The treatment means were separated by LSD test. Data are presented as mean ± SE (n = 5).

RESULTS AND DISCUSSION

In a natural system, the ratio of various phyto-hormones is maintained to a required level by monitoring their synthesis, transport, metabolism and/or destruction to ensure coordinated growth of various tissues/organs along a defined pattern of growth and development, in the life span of the plant. A limited desired deviation in this set pattern of growth and development may, however, be possible by enhancing the level of any of these regulators by their exogenous application to intact plants or their parts. Observations reveal that length of shoot and root as well as fresh and dry mass of plants increased upon phyto-hormones application, over control plants (Figure 1A-D).

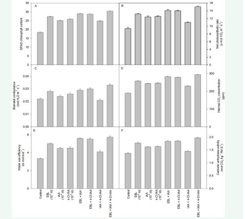
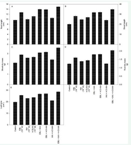
https://www.jscimedcentral.com/public/assets/images/uploads/image-1768202590-1.JPG

Figure 1 Effect of 24-epibrassinolide (EBL; 10-8 M) in the presence and/or absence of auxin (IAA) or 4-Cl-IAA on (A) root length, (B) shoot length, (C) shoot dry mass, (D) root dry mass, and (E) leaf area of Vigna radiata at 45 days stage of growth.

In the present study, application of the Aux (IAA and 4-Cl-IAA) or EBL alone to the foliage considerably enhanced the values of the growth parameter (root and shoot length, fresh and dry mass of root and shoot and leaf area; Figure 1A-E) whereas, Aux analogues generated comparable response. This could have been feasible because Aux have a distinctive role in cell division and elongation as well as in cellular differentiation [23]. The combination of EBL+IAA+4-Cl-IAA proved best among the treatments (Figure 1A-C) increasing the root (54.4%) and shoot length (73.4%) and fresh and dry mass (42.5% and 69.6%) of plants to a maximum, ver the control plants. The earliest auxin action is to shift the electrical properties of the plasma membrane by influencing the proton pump that activates the shift of protons into cell wall, formulating “acid growth theory” favoring cell wall loosening [24]. It also has an impact on the functioning of the ionic channels thereby affecting the direction of the movement of ions and solutes and the turgor of the cells [2]. Moreover, the expression of genes is also encouraged by auxin by altering the type, activity and level of proteins [23]. All these modified process have a cumulative impact favoring a shift in plant growth biomarkers. Similarly, Mangus et al. [25], noted auxin (4-Cl-IAA) induced positive shift in the fresh and dry mass of the Pisum sativum; Ali et al. [26] in Vigna radiata by IAA or 4-Cl-IAA. The synergistic effects of auxins and BRs were also shown by Choudhary et al. [27].

https://www.jscimedcentral.com/public/assets/images/uploads/image-1768202643-1.JPG

Figure 2 Effect of 24-epibrassinolide (EBL; 10-8 M) in the presence and/or absence of auxin (IAA) or 4-Cl-IAA on (A) SPAD chlorophyll content, (B) net photosynthetic rate, (C) stomatal conductance, (D) internal CO2 concentration, (E) water use efficiency, and (F) Carbonic anhydrase activity of Vigna radiata at 45 days stage of growth.

It is proposed that, competent photosynthetic machinery and higher production of chlorophyll is the result of healthy growth and cell water relation. In present study, photosynthetic attributes along with net photosynthetic rate (Figure 2B-E), SPAD chlorophyll values increased extensively in the presence of EBL and/or Aux (IAA and 4-Cl-IAA). EBL (10-8 M) alone generated a considerable increase in the chlorophyll content (SPAD values) which was 48% more than water treated plants (Figure 2A). Moreover, synergistic impacts of EBL with Aux improved the values further (Figure 2A-E) favoring Aux induced shift in transcriptional and translational process [28] thus, improving the level of enzyme proteins involved in the process. A reason to defend the enhancement of the level of chlorophyll pigments and finally the photosynthesis rate [29] coupled with higher rate of phosphorylation [30] that finally culminated into an improvement of the values for other related attributes (Figure 2B).

Figures 2B-E revealed that EBL, IAA and 4-Cl-IAA alone, significantly enhanced the activity of photosynthetic attributes (PN, gs, Ci, and WUE). However, the combined effects of EBL+IAA+4-Cl-IAA induced a maximum increase in PN (60%), gs (50%), Ci (54.73%) and WUE (72%) in comparison to control plants. Our study is strengthened from that of Ali et al. [26], in which Aux enhanced the level of chlorophyll content and the rate of photosynthesis in Vigna radiata. Moreover, Ahmad et al. [10] established a positive correlation between higher CA levels with photosynthesis and our observations proves that activity of CA was notably increased by EBL (10-8 M) by 29 % in comparison to control plants whose were at par with those treated with IAA and/or 4-Cl-IAA.Moreover, EBL, IAA and 4-ClIAA, in combination induced highest enzyme activity, 43% more than the control plants (Figure 2F). Auxin and BRs-induced increase in CA activity (Figure 2F) and/or that of the ribulose 1, 5-bisphosphatecarboxylase [31]; may be the reason to explain an increase in photosynthetic rate (Figure 2B). According to Fariduddin et al. [14], BRs ameliorate photosynthetic machinery, together with PSII quantum yield which gives strength to our findings.

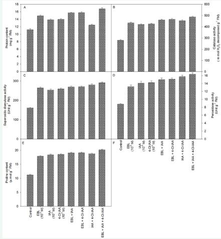
https://www.jscimedcentral.com/public/assets/images/uploads/image-1768202730-1.JPG

Figure 3 Effect of 24-epibrassinolide (EBL; 10-8 M) in the presence and/or absence of auxin (IAA) or 4-Cl-IAA on (A) protein content, (B) catalase activity, (C) superoxide dismutase activity, (D) peroxidase activity, and (E) proline content, of Vigna radiata at 45 days stage of growth.

According to Asada [32], antioxidants are those molecules which keep plants in an equilibrium state to overcome the effect of reactive oxygen species (ROS). Antioxidants are of two types, one which have low molecular weight i.e. glutathione (GSH), ascorbate (AsA) and tocopherol. The second type includes the examples such as, SOD, POX, CAT and glutathione reductase (GR) [32]. The level of SOD was also increased in the leaves, treated with either of the hormones (EBL, IAA and 4-Cl-IAA) alone or in various concentrations, compared with that of the control (Figure 3C). Moreover, the most significant increase of 81% was found in plants treated with EBL + IAA + 4-Cl-IAA. Catalase activity improved by the exogenous application of EBL (10-8 M) which is 29.6% more in comparison to the control plants. On the other hand, the maximum increase of 74% in CAT activity was found in plants treated with EBL + IAA + 4-Cl-IAA, over the control. Phytohormones (EBL, IAA and 4-Cl-IAA) alone increased the activity of POX respectively by 50%, 60% and 61% over the control (Figure 3D) and the values increased further if used in various concentrations. Therefore, the plants exposed to EBL + IAA + 4-Cl-IAA exhibited maximum activity of POX which was 85% more than the control. These antioxidants minimize the production of ROS under specific conditions, directly or indirectly however, in control conditions ROS produce signals for stress response activation [33]. In our study treatment of normal plants with Aux and EBL alone or in varied combinations, considerably enhanced the antioxidant enzymes (catalase, peroxidase and superoxide dismutase) (Figure 3 B-D) to give further strength to the plants with higher metabolic state. This elevation in the level of antioxidant enzymes by EBL is proposed to be the consequence of enhanced expression of det2 gene, which counters the excess ROS in Arabidopsis [34]. Application of EBL, like ours is known to alter the antioxidant enzymes activity, under several abiotic stresses [14] and also in stress free conditions [12]. Contents of the proline (an non-enzymatic antioxidant) in the treated plants increased through the application of either of the phytohormones (Figure 3E), compared with the control. Highest leaf proline content, 80% more than the control, was found in the plants treated with EBL+IAA+4-Cl-IAA combination.

This suggests that Aux along with other plant growth regulators control the activity of key antioxidant enzymes, and some of their isoforms that are involved in the regulation of plant growth [35,36]. Moreover, BRs also bring about additional power in the plants by elevating their proline content (Figure 3E) through the involvement of genes [18]. The expression of both regulatory genes, such as RBOH (respiratory burst oxidase homologue), MAPK1 (mitogen-activated protein kinase 1) and MAPK3 (mitogen activated protein kinase 3) and the genes involved in defence is under the control of BRs [18]. According to Gill and Tuteja [37], proline is a influential inhibitor of PCD and it also acts as non-enzymatic antioxidant that stabilizes subcellular structures like, proteins and cell membrane, scavenging free radicals and buffering redox potential, and also has the ability as a molecular chaperon that protects the integrity of proteins and enhances the activity of different enzymes [38]. Phyto-hormones treatment enhanced the total protein, though combination of IAA + 4-Cl-IAA excelled over their individual effects but, maximum impacts on protein content (50% more than the control) was reported in EBL + IAA + 4-Cl-IAA treated plants. Similarly, an increase in the activity of antioxidant enzymes and the contents of proline and protein by phytohormones is reported in sorghum and wheat [12,39].

CONCLUSION

It may be derived from the above study in mung bean that the Aux boost selective aspects of the plant system that are expressed as improvement in general growth, photosynthetic traits and antioxidant system. Moreover, IAA and 4-Cl-IAA generate a comparable response even though the latter is recognized as an active Aux. This impact was further boosted in the presence of EBL suggesting a cumulative response by the plants of Vigna radiata to the two groups (Aux and BR) of phytohormones.

ACKNOWLEDGEMENTS

All the authors thank to the Chairman, Department of Botany for providing the necessary facilities.

REFERENCES

1. De Smet I, Voss U, Lau S, Michael W, Ning S, Ruth ET, et al. Unraveling the evolution of auxin signaling. Plant Physiol. 2011; 155: 209-221.

2. Macdonald H. Auxin perception and signal transduction. Physiol Plant. 2006; 100: 423-430.

3. Normanly J. Auxin metabolism. Physiol Plant. 1997; 100: 431-442.

4. Davies PJ. Plant Hormones: biosynthesis, signal transduction, action! Kluwer Academic Publishers. Dordrecht, The Netherlands; 2004.

5. Ernstsen A, Sandberg G. Identification of 4?chloroindole?3?acetic acid and indole-3-aldehyde in seeds of Pinus sylvestris. Physiol Plant. 1986; 68: 511–518.

6. Engvild KC. The Chloroindole Auxins of Pea, Strong Plant Growth Hormones, or Endogenous Herbicides? Risø National Laboratory Denmark, Roskilde, Denmark, 1994.

7. Katekar GF, Geissler AE. Structure activity differences between indoleacetic acid auxins on pea and wheat. Phytochem. 1983; 22: 27- 31.

8. Ahmad A, Andersen AS, Engvild KC. Rooting growth and ethylene evolution of pea cuttings in response to chloro indole auxins. Physiol Plant. 1987; 69: 137-140.

9. Ahmad A, Hayat S, Fariduddin Q, Alvi S. Germination and α-amylase activity in the grains of wheat, treated with chloro indole acetic acids. Soc Comm Seed Technol. 2001; 23: 88-91.

10. Ahmad A, Hayat S, Fariduddin Q, Ahmad I. Photosynthetic efficiency of plants of Brassica juncea, treated with chloro substituted auxins. Photosynthetica. 2001; 39: 565-568.

11. Khripach VA, Zhabinskii VN, Groot AE. Brassinosteroids: A New Class of Plant Hormones. San Diego USA Academic Press. 1999.

12. Bajguz A, Hayat S. Effects of brassinosteroids on the plant responses to environmental stresses. Plant Physiol Biochem. 2009; 47: 1-8.

13. Divi UK, Krishna P. Overexpression of the brassinosteroid biosynthetic gene At DWF4 in Arabidopsis seeds overcomes abscisic acid-induced inhibition of germination and increases cold tolerance in transgenic seedlings. J Plant Growth Regul. 2010; 29: 385-393.

14. Fariduddin Q, Yusuf M, Ahmad I, Ahmad A. Brassinosteroids and their role in response of plants to abiotic stresses. Biol Plant. 2014; 58: 9-17.

15. Dhaubhadel S, Browning KS, Gallie DR, Krishna P. Brassinosteroid functions to protect the translational machinery and heat-shock protein synthesis following thermal stress. Plant Journal. 2002; 29: 681-691.

16. Khripach VA, Zhabinskii VN, Khripach NB. New practical aspects of brassinosteroids and results of their 10 year agricultural use in Russia and Balarus. In Hayat S, Ahmad A, eds. Brassinosteroids: Bioactivity and crop productivity. Netherland, Dordrecht, Kluwer Academic Publishers. 2003; 189-230.

17. Vert G, Nemhauser JL, Geldner N, Hong F, Chory J. Molecular mechanisms of steroid hormone signaling in plants. Ann Rev Cell Dev Biol. 2005; 21: 177–201.

18. Ozdemir F, Bor M, Demiral T, Turkan I. Effects of 24-epibrassinolide on seed germination, seedling growth, lipid peroxidation, proline content and antioxidative system of rice (Oryza sativa L.) under salinity stress. Plant Growth Regul. 2004; 42: 203–221.

19. Kagale S, Divi UK, Krochko JE, Keller WA, Krishna P. Brassinosteroid confers tolerance in Arabidopsis thaliana and Brassica napus to a range of abiotic stresses. Planta. 2007; 225: 353–364.

20. Shahbaz M, Ashraf M, Athar H. Does exogenous application of 24-epibrassinolide ameliorate salt induced growth inhibition in wheat (Triticum aestivum L.). Plant Growth Regul. 2008; 55: 51–64.

21. Yusuf M, Fariduddin Q, Ahmad A. 28-Homobrassinolide mitigates boron induced toxicity through enhanced antioxidant system in Vigna radiata plants. Chemosphere. 2011; 85: 1574–1584.

22. Bradford M. A rapid and sensitive method for the quantitation of microgram quantities of protein utilizing the principle of protein-dye binding. Analyt Biochem. 1976; 72: 248–254.

23. Sitbon F, Perrot-Rechenmann C. Expression of auxin-regulated genes. Physiol Plant. 1997; 100: 443–455.

24. Cleland RE. Introduction: Nature, occurrence and function of plant hormones. In: Hooykaas PJJ, Hall MA, Libbenga KR, eds. Biochem. Mol Biol Plant Hormones, Elsevier, Amsterdam, 1999; 33: 3-22.

25. Magnus V, Ozga JA, Reinecke DM, Pierson GL, Larue TA, Cohen JD, et al. 4-chloro-indole-3-acetic acid and indole-3-acetic acid in Pisum sativum. Phytochem. 1997; 46: 675-681.

26. Ali B, Hayat S, Hasan SA, Ahmad A. A comparative effect of IAA and 4-Cl-IAA on growth, nodulation and nitrogen fixation in Vigna radiata (L.) Wilczek. Acta Physiol Plant. 2008; 30: 35-41.

27. Choudhary SP, Oral HV, Bhardwaj R, Yu JQ, Tran LSP. Interaction of brassinosteroids and polyamines enhances copper stress tolerance in Raphanus sativus. J Exp Bot. 2012; 63: 5659-5675.

28. Moore TC. Mechanism of auxin action. In TC Moore, edn. Biochemistry and Physiology of Plant Hormones, Edn 2. Springer-Verlag, New York. 1989; 61-85.

29. Arteca RN, Dong CN. Stimulation of photosynthesis by application of phytohormones to the root systems of tomato plants. Photosyn Res. 1981; 2: 243-249.

30. Chatterjee A, Mandal RK, Sircar SM. Effects of growth substances on productivity, photosynthesis and translocation of rice varieties. Indian J Plant Physiol. 1976; 19: 121-138.

31. Yu JQ, Huang LF, Hu WH, Zhou YH, Mao WH, Ye SF. A role of brassinosteroids in the regulation of photosynthesis in Cucumis sativus. J Exp Bot. 2004; 55: 1135-1143. 

32. Asada K. Production and scavenging of reactive oxygen species in chloroplasts and their functions. Plant Physiol. 2006; 141: 391-396. 33.Mittler R. Oxidative stress, antioxidants and stress tolerance. Trends Plant Sci. 2002; 7: 405–410.

34. Cao S, Xu Q, Cao Y, Qian K, An K, Zhu Y, et al. Loss-of function mutations in DET2 gene lead to an enhanced resistance to oxidative stress in Arabidopsis. Plant Physiol. 2005; 123: 57-66.

35. Synkova H, Semoradova S, Burketova L. High content of endogenous cytokinins stimulates activity of enzymes and proteins involved in stress response in Nicotiana tabacum. Plant Cell Tissue Organ Cult. 2004; 79: 169-179.

36. Tognetti VB, Mullenbock PER, Van Breusegem F. Stress homeostasis— the redox and auxin perspective. Plant Cell Environ. 2012; 35: 321– 333.

37. Gill SS, Tuteja N. Reactive oxygen species and antioxidant machinery in abiotic stress tolerance in crop plants. Plant Physiol Biochem. 2010; 48: 909–930.

38. Szabados L, Savoure A. Proline: A multifunctional amino acid. Trends Plant Sci. 2009; 15: 89-97.

39. Aldesuquy L. Synergistic effect of phytohormones on pigment and fine structure of chloroplasts in flag leaf of wheat plants irrigated by seawater. Egyptian J Basic Appl Sci. 2015; 2: 310-317.

Khatoon H, Yusuf M, Faizan M, Siddiqui H, Hayat S (2020) Auxins Increase the Efficiency of 24-Epibrassinolide to Promote Growth, Photosynthesis and Antioxidant System in Vigna radiata. Int J Plant Biol Res 8(1): 1118.

Received : 02 May 2020
Accepted : 26 May 2020
Published : 28 May 2020
Journals
Annals of Otolaryngology and Rhinology
ISSN : 2379-948X
Launched : 2014
JSM Schizophrenia
Launched : 2016
Journal of Nausea
Launched : 2020
JSM Internal Medicine
Launched : 2016
JSM Hepatitis
Launched : 2016
JSM Oro Facial Surgeries
ISSN : 2578-3211
Launched : 2016
Journal of Human Nutrition and Food Science
ISSN : 2333-6706
Launched : 2013
JSM Regenerative Medicine and Bioengineering
ISSN : 2379-0490
Launched : 2013
JSM Spine
ISSN : 2578-3181
Launched : 2016
Archives of Palliative Care
ISSN : 2573-1165
Launched : 2016
JSM Nutritional Disorders
ISSN : 2578-3203
Launched : 2017
Annals of Neurodegenerative Disorders
ISSN : 2476-2032
Launched : 2016
Journal of Fever
ISSN : 2641-7782
Launched : 2017
JSM Bone Marrow Research
ISSN : 2578-3351
Launched : 2016
JSM Mathematics and Statistics
ISSN : 2578-3173
Launched : 2014
Journal of Autoimmunity and Research
ISSN : 2573-1173
Launched : 2014
JSM Arthritis
ISSN : 2475-9155
Launched : 2016
JSM Head and Neck Cancer-Cases and Reviews
ISSN : 2573-1610
Launched : 2016
JSM General Surgery Cases and Images
ISSN : 2573-1564
Launched : 2016
JSM Anatomy and Physiology
ISSN : 2573-1262
Launched : 2016
JSM Dental Surgery
ISSN : 2573-1548
Launched : 2016
Annals of Emergency Surgery
ISSN : 2573-1017
Launched : 2016
Annals of Mens Health and Wellness
ISSN : 2641-7707
Launched : 2017
Journal of Preventive Medicine and Health Care
ISSN : 2576-0084
Launched : 2018
Journal of Chronic Diseases and Management
ISSN : 2573-1300
Launched : 2016
Annals of Vaccines and Immunization
ISSN : 2378-9379
Launched : 2014
JSM Heart Surgery Cases and Images
ISSN : 2578-3157
Launched : 2016
Annals of Reproductive Medicine and Treatment
ISSN : 2573-1092
Launched : 2016
JSM Brain Science
ISSN : 2573-1289
Launched : 2016
JSM Biomarkers
ISSN : 2578-3815
Launched : 2014
JSM Biology
ISSN : 2475-9392
Launched : 2016
Archives of Stem Cell and Research
ISSN : 2578-3580
Launched : 2014
Annals of Clinical and Medical Microbiology
ISSN : 2578-3629
Launched : 2014
JSM Pediatric Surgery
ISSN : 2578-3149
Launched : 2017
Journal of Memory Disorder and Rehabilitation
ISSN : 2578-319X
Launched : 2016
JSM Tropical Medicine and Research
ISSN : 2578-3165
Launched : 2016
JSM Head and Face Medicine
ISSN : 2578-3793
Launched : 2016
JSM Cardiothoracic Surgery
ISSN : 2573-1297
Launched : 2016
JSM Bone and Joint Diseases
ISSN : 2578-3351
Launched : 2017
JSM Bioavailability and Bioequivalence
ISSN : 2641-7812
Launched : 2017
JSM Atherosclerosis
ISSN : 2573-1270
Launched : 2016
Journal of Genitourinary Disorders
ISSN : 2641-7790
Launched : 2017
Journal of Fractures and Sprains
ISSN : 2578-3831
Launched : 2016
Journal of Autism and Epilepsy
ISSN : 2641-7774
Launched : 2016
Annals of Marine Biology and Research
ISSN : 2573-105X
Launched : 2014
JSM Health Education & Primary Health Care
ISSN : 2578-3777
Launched : 2016
JSM Communication Disorders
ISSN : 2578-3807
Launched : 2016
Annals of Musculoskeletal Disorders
ISSN : 2578-3599
Launched : 2016
Annals of Virology and Research
ISSN : 2573-1122
Launched : 2014
JSM Renal Medicine
ISSN : 2573-1637
Launched : 2016
Journal of Muscle Health
ISSN : 2578-3823
Launched : 2016
JSM Genetics and Genomics
ISSN : 2334-1823
Launched : 2013
JSM Anxiety and Depression
ISSN : 2475-9139
Launched : 2016
Clinical Journal of Heart Diseases
ISSN : 2641-7766
Launched : 2016
Annals of Medicinal Chemistry and Research
ISSN : 2378-9336
Launched : 2014
JSM Pain and Management
ISSN : 2578-3378
Launched : 2016
JSM Women's Health
ISSN : 2578-3696
Launched : 2016
Clinical Research in HIV or AIDS
ISSN : 2374-0094
Launched : 2013
Journal of Endocrinology, Diabetes and Obesity
ISSN : 2333-6692
Launched : 2013
Journal of Substance Abuse and Alcoholism
ISSN : 2373-9363
Launched : 2013
JSM Neurosurgery and Spine
ISSN : 2373-9479
Launched : 2013
Journal of Liver and Clinical Research
ISSN : 2379-0830
Launched : 2014
Journal of Drug Design and Research
ISSN : 2379-089X
Launched : 2014
JSM Clinical Oncology and Research
ISSN : 2373-938X
Launched : 2013
JSM Bioinformatics, Genomics and Proteomics
ISSN : 2576-1102
Launched : 2014
JSM Chemistry
ISSN : 2334-1831
Launched : 2013
Journal of Trauma and Care
ISSN : 2573-1246
Launched : 2014
JSM Surgical Oncology and Research
ISSN : 2578-3688
Launched : 2016
Annals of Food Processing and Preservation
ISSN : 2573-1033
Launched : 2016
Journal of Radiology and Radiation Therapy
ISSN : 2333-7095
Launched : 2013
JSM Physical Medicine and Rehabilitation
ISSN : 2578-3572
Launched : 2016
Annals of Clinical Pathology
ISSN : 2373-9282
Launched : 2013
Annals of Cardiovascular Diseases
ISSN : 2641-7731
Launched : 2016
Journal of Behavior
ISSN : 2576-0076
Launched : 2016
Annals of Clinical and Experimental Metabolism
ISSN : 2572-2492
Launched : 2016
Clinical Research in Infectious Diseases
ISSN : 2379-0636
Launched : 2013
JSM Microbiology
ISSN : 2333-6455
Launched : 2013
Journal of Urology and Research
ISSN : 2379-951X
Launched : 2014
Journal of Family Medicine and Community Health
ISSN : 2379-0547
Launched : 2013
Annals of Pregnancy and Care
ISSN : 2578-336X
Launched : 2017
JSM Cell and Developmental Biology
ISSN : 2379-061X
Launched : 2013
Annals of Aquaculture and Research
ISSN : 2379-0881
Launched : 2014
Clinical Research in Pulmonology
ISSN : 2333-6625
Launched : 2013
Journal of Immunology and Clinical Research
ISSN : 2333-6714
Launched : 2013
Annals of Forensic Research and Analysis
ISSN : 2378-9476
Launched : 2014
JSM Biochemistry and Molecular Biology
ISSN : 2333-7109
Launched : 2013
Annals of Breast Cancer Research
ISSN : 2641-7685
Launched : 2016
Annals of Gerontology and Geriatric Research
ISSN : 2378-9409
Launched : 2014
Journal of Sleep Medicine and Disorders
ISSN : 2379-0822
Launched : 2014
JSM Burns and Trauma
ISSN : 2475-9406
Launched : 2016
Chemical Engineering and Process Techniques
ISSN : 2333-6633
Launched : 2013
Annals of Clinical Cytology and Pathology
ISSN : 2475-9430
Launched : 2014
JSM Allergy and Asthma
ISSN : 2573-1254
Launched : 2016
Journal of Neurological Disorders and Stroke
ISSN : 2334-2307
Launched : 2013
Annals of Sports Medicine and Research
ISSN : 2379-0571
Launched : 2014
JSM Sexual Medicine
ISSN : 2578-3718
Launched : 2016
Annals of Vascular Medicine and Research
ISSN : 2378-9344
Launched : 2014
JSM Biotechnology and Biomedical Engineering
ISSN : 2333-7117
Launched : 2013
Journal of Hematology and Transfusion
ISSN : 2333-6684
Launched : 2013
JSM Environmental Science and Ecology
ISSN : 2333-7141
Launched : 2013
Journal of Cardiology and Clinical Research
ISSN : 2333-6676
Launched : 2013
JSM Nanotechnology and Nanomedicine
ISSN : 2334-1815
Launched : 2013
Journal of Ear, Nose and Throat Disorders
ISSN : 2475-9473
Launched : 2016
JSM Ophthalmology
ISSN : 2333-6447
Launched : 2013
Journal of Pharmacology and Clinical Toxicology
ISSN : 2333-7079
Launched : 2013
Annals of Psychiatry and Mental Health
ISSN : 2374-0124
Launched : 2013
Medical Journal of Obstetrics and Gynecology
ISSN : 2333-6439
Launched : 2013
Annals of Pediatrics and Child Health
ISSN : 2373-9312
Launched : 2013
JSM Clinical Pharmaceutics
ISSN : 2379-9498
Launched : 2014
JSM Foot and Ankle
ISSN : 2475-9112
Launched : 2016
JSM Alzheimer's Disease and Related Dementia
ISSN : 2378-9565
Launched : 2014
Journal of Addiction Medicine and Therapy
ISSN : 2333-665X
Launched : 2013
Journal of Veterinary Medicine and Research
ISSN : 2378-931X
Launched : 2013
Annals of Public Health and Research
ISSN : 2378-9328
Launched : 2014
Annals of Orthopedics and Rheumatology
ISSN : 2373-9290
Launched : 2013
Journal of Clinical Nephrology and Research
ISSN : 2379-0652
Launched : 2014
Annals of Community Medicine and Practice
ISSN : 2475-9465
Launched : 2014
Annals of Biometrics and Biostatistics
ISSN : 2374-0116
Launched : 2013
JSM Clinical Case Reports
ISSN : 2373-9819
Launched : 2013
Journal of Cancer Biology and Research
ISSN : 2373-9436
Launched : 2013
Journal of Surgery and Transplantation Science
ISSN : 2379-0911
Launched : 2013
Journal of Dermatology and Clinical Research
ISSN : 2373-9371
Launched : 2013
JSM Gastroenterology and Hepatology
ISSN : 2373-9487
Launched : 2013
Annals of Nursing and Practice
ISSN : 2379-9501
Launched : 2014
JSM Dentistry
ISSN : 2333-7133
Launched : 2013
Author Information X