Loading

JSM Biochemistry and Molecular Biology

Peroxynitrite-Mediated 9,10-Dihydroxylation of Deuterium-Labeled Oleic Acid in Human Hemolysate to Threo- Und Erythro-Dihydroxy-[9,102H2] Stearic Acid.

Short Communication | Open Access | Volume 4 | Issue 2

  • 1. Centre of Pharmacology and Toxicology, Core Unit Proteomics, Germany
+ Show More - Show Less
Corresponding Authors
Dimitrios Tsikas, Centre of Pharmacology and Toxicology, Core Unit Proteomics, Hannover Medical School, CarlNeuberg-Strasse 1, 30625 Hannover, Germany, Tel: 49511 532-3984
Abstract

Background: Peroxynitrite (ONOO−), the reaction product of nitric oxide (•NO) and superoxide anion (O2•–), is a potent oxidizing agent.

Methods: We investigated reactions of cis-[9,10-2H2]-oleic acid in hemolysate with commercially available sodium peroxynitrite (Na+ONOO−). Fatty acids were extracted with ethyl acetate and converted to their pentafluorobenzyl (PFB) ester trimethylsilyl (TMS) ether derivatives (PFB-TMS) for structural identification by gas chromatography-tandem mass spectrometry (GC-MS/MS) in the electron capture negative-ion chemical ionization mode.

Results: The expected anion for dihydroxy-[9,10-2H2]stearic acids [M – PFB]– with mass-to-charge ratio (m/z) of 461 was subjected to collision-induced dissociation. We observed two closely eluting, baseline-separated GC peaks of comparable size with the retention times of the PFB-TMS derivatives of synthetic threo- and erythro-9,10-dihydroxy-stearic acids. The product ion mass spectra obtained from both GC peaks were virtually identical and contained the anions m/z 371, 355, 299, 281, 263, 93, and 89. Except for m/z 89 ([TMSO]–) and 93 ([C6H5O]–), all other mass fragments were by 2 Da larger than of synthetic unlabelled threo- and erythro-9,10-dihydroxy-stearic acids, indicating the presence of two deuterium atoms in the fatty acid skeleton at C-9 and C-10. The underlying mechanism is likely to involve addition of the peroxy group of peroxynitrite on the 9,10-double bond of oleic acid. A mechanism is proposed for the formation of the product ion m/z 93 from m/z 461.

Keywords

Erythrocytes; Hydroxylation; Oleic acid; Peroxynitrite; Tandem mass spectrometry.

CITATION

Tsikas D (2017) Peroxynitrite-Mediated 9,10-Dihydroxylation of Deuterium-Labeled Oleic Acid in Human Hemolysate to Threo- Und Erythro-Dihydroxy-[9,10-2H2 ] Stearic Acid. JSM Biochem Mol Biol 4(2): 1027.

ABBREVIATIONS

BSTFA: N,O-bis(Trimethylsilyl)trifluoroacetamide; Collision-Induced Negative-Ion Dissociation; Chemical CID: ECNICI: Ionization; Electron-Capture cis-EpOA: cis-9,10 epoxystearic acid; GC-MS/MS: Gas Chromatography-Mass Spectrometry/Mass Spectrometry; M: Molecular mass; MUFAs: Monounsaturated Fatty Acids; m/z: mass-to-charge ratio; OA: Oleic acid; cis-d2-Oleic acid: cis-[9,10-2H2 ]-9-Octadecenoic Acid; PFB-Br: 2,3,4,5,6-Pentafluorobenzyl Bromide; PUFAs: Polyunsaturated Fatty Acids

INTRODUCTION

Oleic acid (OA) is the most abundant monounsaturated fatty acid in human blood. Major oxidized oleic acid metabolites in human plasma are cis-9,10-epoxystearic acid (cis-EpOA) and trans-9,10-epoxystearic acid (trans-EpOA). cis-EpOA concentrations in plasma of healthy and diseased human subjects are of the order of 10 – 40 nM [1-4]. In vitro experiments indicate that the hepatic cytochrome P450 (CYP450) system produces cis EpOA [5]. In vivo, circulating cis-EpOA and trans-EpOA in their free and esterified forms may also be formed by non-enzymatic epoxidation [4].

Peroxynitrite (ONOO–; pKa ≈ 6.8 for ONOOH) is the reaction product of nitric oxide (•NO) and superoxide anion (O2 •–) and possesses a high oxidative and moderate nitrative potential against various biomolecules including thiols and tyrosine. Peroxynitrite-mediated oxidation reactions are due to its peroxy group and may include its decomposition products hydrogen peroxide (H2 O2 ) and atomic oxygen. Remarkably, reactions of peroxynitrite and other reactive nitrogen species such as •NO2 [6,7] with oleic acid and other fatty acids have not attracted much attention thus far, unlike PUFAs, notably linoleic acid. Also, available information about the extent of nitration and oxidation of oleic acid by peroxynitrite is limited. Previously, we investigated peroxynitrite-induced oxidative modifications of cis-[9,10-2H2 ]-9-octadecenoic acid (cis-d2-oleic acid) by gas chromatography-mass spectrometry/mass spectrometry (GC MS/MS) and observed formation of deuterium-labelled cis-9,10 epoxystearic acid and several monohydroxy-stearic acids in low yield. In the present work, we investigated peroxynitrite-induced dihydroxylation of cis-d2- oleic acid in human hemolysate by GC MS/MS. We identified formation of two 9,10-dihydroxy-[9,10 2H2 ] stearic acid isomers in comparable amounts.

MATERIALS AND METHODS

Chemicals

All chemicals used in this study were of the highest purity available (≥ 98 %). cis-[9,10-2H2 ]-9-Octadecenoic acid (cis-d2 oleic acid; declared isotopic purity 98 atom% 2H) was obtained from Isotec Inc. (Miamisburg, Ohio, USA). cis-d2-Oleic acid was analyzed by GC-MS [3,6] prior to use and found to be free of oxidized species. Peroxynitrite was purchased as a solution of Na+ONOO− in 400 mM NaOH with a declared concentration of 44 mM (Cayman Chemicals, Ann Arbor, Mi, USA). The alkaline Na+ONOO− solution was stored at -80°C in 100-µL aliquots. 2,3,4,5,6-Pentafluorobenzyl bromide (PFB-Br, 99%) and N,O bis(trimethylsilyl)trifluoroacetamide (BSTFA, 99%) were obtained from Pierce (Rockford, Ill, USA).

Reaction of peroxynitrite with cis-d2-oleic acid in hemolysate

Antecubital venous blood anticoagulated with EDTA was placed immediately upon drawing in an ice bath. Erythrocytes were separated from plasma by centrifugation (800×g, 5 min, 4°C) followed by complete plasma decantation. Erythrocytes were lyzed without washing by freezing for 30 min at -70°C, slow thawing on ice and by vortex-mixing for 1 min with the same volume of ice-cold distilled water. To 1-mL aliquots of hemolysate, 10-µL aliquots of a freshly prepared ethanolic solution of cis-d2-oleic acid (10 mM) were added at a final concentration of 100 µM. Na+ONOO− was then added in portions at a total added concentration of 4 mM. The final pH value of the treated hemolysate was about 8. The incubation time was 20 min at 37°C. Reaction products were extracted by vortex-mixing with 1-mL ethyl acetate for 2 min. After centrifugation (4,500×g, 2 min, 4°C), the organic phase was decanted and dried over anhydrous Na2 SO4 . The solvent was evaporated to dryness under a stream of nitrogen and the residue was derivatized first with PFB-Br and then with BSTFA [4].

Mass spectrometry analyses

GC-MS/MS analyses were performed on a Thermoquest TSQ 7000 triple-stage quadrupole mass spectrometer interfaced with a Thermoquest gas chromatograph model Trace 2000. GC-MS and GC-MS/MS conditions were essentially as described previously [5]. Interface and ion source were kept at 290 and 180°C, respectively. Samples (1 µL of BSTFA solutions) were injected in the splitless mode. For electron-capture negative-ion chemical ionization (ECNICI) methane was used as a reagent gas (65 Pa). Argon (0.15 Pa) was used for collision-induced dissociation (CID). Collision energy, electron energy and emission current were 25 eV, 200 eV and 600 μA. Carboxylate anions [M – PFB]− were subjected to CID and product ion mass spectra were obtained by scanning (1 scan/s) in the m/z-range 40 - 500.

RESULTS AND DISCUSSION

GC-MS/MS analysis of hydroxylated fatty acids in the ECNICI mode requires preceding conversion into their PFB ester TMS ether derivatives [4,8]. Targeted GC-MS/MS analysis of the PFB TMS derivatives of the reaction products of cis-d2-oleic acid and peroxynitrite in hemolysate for dihydroxy derivates was performed by generating product ion spectra from m/z 461 ([M – PFB]–). We observed two equal baseline-separated GC peaks (Peak I and Peak II; Figure 1, lower panel) with retention times almost identical to the PFB-TMS derivatives of synthetic threo- and erythro-9,10-dihydroxy-stearic acids, respectively, by generating product ion spectra from CID of the anion m/z 459 ([M – PFB]–).

Figure 1: GC-MS/MS analysis of reaction products formed from the reaction of cis-d2-oleic acid (100 µM) and synthetic peroxynitrite (4 mM) in human hemolysate at 37 °C after a 20-min incubation. Product ion mass spectra obtained from CID of m/z 461 of the PFB-TMS derivatives of peak I (upper panel), peak II (middle panel) which were separated by GC (lower panel). Blood was donated by the author.

The product ion mass spectra of Peak I (Figure 1, upper panel) and Peak II (Figure 1, middle panel) contained the mass fragments m/z 371 ([M – PFB – TMSOH]–), 355 ([M – PFB – TMSOH – O]–), 299, 281, 263, 93, and 89 ([TMSO]–). Except for m/z 89 and 93, all other mass fragments were by 2 Da larger than the product ions of m/z 459 ([M – PFB]–) of the synthetic threo- and erythro-9,10-dihydroxy-stearic acids. Proposed structures and a mechanism for the formation of the product ions are depicted in Figure 2.

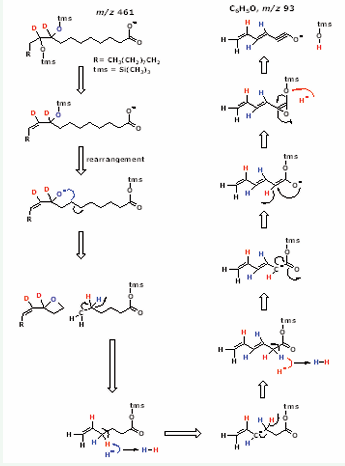
Figure 2: Proposed mechanism for the formation of the product ion m/z 93 of the PFB-TMS derivative of peak I (see Figure 1) obtained by CID of m/z 461 [M – PFB]−. This mechanism is based on an ether to-ester rearrangement of the trimethylsilanolate group from carbon atom 9 to the oxygen atom of the carboxyl group previously reported for hydroxylated eicosanoids [6]. tms, trimethylsilyl.

This mechanism is based on anether/ ester rearrangement of the trimethylsilanolate group which seems to be common in PFB-TMS derivatives of hydroxylated fatty acids and eicosanoids [6]. These observations indicate that the uncommon product ion of m/z 93 of Peak I is specific for threo-9,10-dihydroxy-[9,10-2H2 ]stearic acid. threo- and threo 9,10-Dihydroxy-[9,10-2H2 ]stearic acids carry the original two deuterium atoms of cis-d2-oleic acid in the fatty acid skeleton on the C atoms 9 and 10. The latter finding suggests that the reaction of peroxynitrite with oleic acid is an addition reaction by which the peroxy group of peroxynitrite is added to the 9,10-double bond of cis-d2-oleic acid without loss of the two olefinic 2H atoms. Alternative mechanisms could involve H2 O2 which can be formed from decomposed peroxynitrite. Yet, H2 O2 is unlikely to produce 9,10-dihydroxy-stearic acids because it is formed in low yield, is much less reactive toward oleic acid and due to the presence of catalase in the hemolysate.

CONCLUSION

In human hemolysate, cis-d2-oleic acid was found by GC MS/MS to be dihydroxylated by synthetic peroxynitrite to two isomeric dihydroxy fatty acids, most likely the threo- and erythro 9,10-dihydroxy-[9,10-2H2 ]stearic acids. The PFB-TMS derivatives are separated by GC. The product ion mass spectra of these reaction products differ only in the anion m/z 93 (C6 H5 O) which seems to be characteristic for threo-9,10-dihydroxystearic acid. In the rat, dietary dihydroxy-stearic acids have been reported to induce vitamin K deficiency-like syndromes [9]. The physiological occurrence of threo- and erythro-9,10-dihydroxystearic acids and their biological significance in humans remain to be investigated.

ACKNOWLEDGEMENTS

I thank Drs. Anke Böhmer and Arne Trettin for their contribution to this work.

REFERENCES

1. Tsikas D, Mitschke A, Gutzki FM, Meyer HH, Frölich JC. Gas chromatography mass spectrometry of cis 9,10-epoxyoctadecanoic acid (cis-EODA). II. Quantitative determination of cis-EpOA in human plasma by GC-tandem MS. J Chromatogr B. 2004; 804: 403-412.

2. Becker T, Mevius I, de Vries DK, Schaaherder AFM, Meyer zu Vilsendorf A, Klempnauer J, et al. The L-arginine/NO pathway in end-stage liver disease and during orthotopic liver and kidney transplantation: Biological and analytical ramifications. Nitric Oxide. 2009; 20: 61-67.

3. Thum T, Batkai S, Malinski PG, Becker T, Mevius I, Klempnauer J, et al. Measurement and diagnostic use of hepatic cytochrome P450 metabolism of oleic acid in liver disease. Liver Int. 2010; 30: 1181 1188.

4. Tsikas D, Zoerner AA, Jordan J. Oxidized and nitrated oleic acid in biological systems: Analysis by GC-MS/MS and LC-MS/MS, and biological significance. Biochem Biophys Acta. 2011; 1811: 694-705.

5. Trettin A, Böhmer A, Zoerner AA, Gutzki FM, Jordan J, Tsikas D. GC MS/MS and LC-MS/MS studies on unlabelled and deuterium-labelled oleic acid (C18:1) reactions with peroxynitrite (O=N-O-O?) in buffer and hemolysate support the pM/nM-range of nitro-oleic acids in human plasma. J Chromatogr B Analyt Technol Biomed Life Sci. 2014; 964: 172-179.

6. Tsikas D. GC-ECNICI-MS/MS of eicosanoids as pentafluorobenzyl trimethylsilyl (TMS) derivatives: Evidence of CAD-induced intramolecular TMS ether-to-ester rearrangement using carboxy 18O-labelled eicosanoids and possible implications in quantitative analysis. J Chromatogr B Analyt Technol Biomed Life Sci. 2017; 1047: 185-196.

7. Jain K, Siddam A, Marathi A, Roy U, Falck JR, Balazy M. The mechanism of oleic acid nitration by NO2 . Free Radic Biol Med. 2008; 45: 269-283.

8. Tsikas D. Application of gas chromatography-mass spectrometry and gas chromatography-tandem mass spectrometry to assess in vivo synthesis of prostaglandins, thromboxane, leukotrienes, isoprostanes and related compounds in humans. J Chromatogr B. 1998; 717: 201 245.

9. Lockhart EE, Sherman H, Harris RS. Dihydroxy-stearic acid and vitamin K deficiency. Science. 1942; 96: 542-543.

Tsikas D (2017) Peroxynitrite-Mediated 9,10-Dihydroxylation of Deuterium-Labeled Oleic Acid in Human Hemolysate to Threo- Und Erythro-Dihydroxy-[9,10-2H2 ] Stearic Acid. JSM Biochem Mol Biol 4(2): 1027.

Received : 19 Jun 2017
Accepted : 26 Jul 2017
Published : 28 Jul 2017
Journals
Annals of Otolaryngology and Rhinology
ISSN : 2379-948X
Launched : 2014
JSM Schizophrenia
Launched : 2016
Journal of Nausea
Launched : 2020
JSM Internal Medicine
Launched : 2016
JSM Hepatitis
Launched : 2016
JSM Oro Facial Surgeries
ISSN : 2578-3211
Launched : 2016
Journal of Human Nutrition and Food Science
ISSN : 2333-6706
Launched : 2013
JSM Regenerative Medicine and Bioengineering
ISSN : 2379-0490
Launched : 2013
JSM Spine
ISSN : 2578-3181
Launched : 2016
Archives of Palliative Care
ISSN : 2573-1165
Launched : 2016
JSM Nutritional Disorders
ISSN : 2578-3203
Launched : 2017
Annals of Neurodegenerative Disorders
ISSN : 2476-2032
Launched : 2016
Journal of Fever
ISSN : 2641-7782
Launched : 2017
JSM Bone Marrow Research
ISSN : 2578-3351
Launched : 2016
JSM Mathematics and Statistics
ISSN : 2578-3173
Launched : 2014
Journal of Autoimmunity and Research
ISSN : 2573-1173
Launched : 2014
JSM Arthritis
ISSN : 2475-9155
Launched : 2016
JSM Head and Neck Cancer-Cases and Reviews
ISSN : 2573-1610
Launched : 2016
JSM General Surgery Cases and Images
ISSN : 2573-1564
Launched : 2016
JSM Anatomy and Physiology
ISSN : 2573-1262
Launched : 2016
JSM Dental Surgery
ISSN : 2573-1548
Launched : 2016
Annals of Emergency Surgery
ISSN : 2573-1017
Launched : 2016
Annals of Mens Health and Wellness
ISSN : 2641-7707
Launched : 2017
Journal of Preventive Medicine and Health Care
ISSN : 2576-0084
Launched : 2018
Journal of Chronic Diseases and Management
ISSN : 2573-1300
Launched : 2016
Annals of Vaccines and Immunization
ISSN : 2378-9379
Launched : 2014
JSM Heart Surgery Cases and Images
ISSN : 2578-3157
Launched : 2016
Annals of Reproductive Medicine and Treatment
ISSN : 2573-1092
Launched : 2016
JSM Brain Science
ISSN : 2573-1289
Launched : 2016
JSM Biomarkers
ISSN : 2578-3815
Launched : 2014
JSM Biology
ISSN : 2475-9392
Launched : 2016
Archives of Stem Cell and Research
ISSN : 2578-3580
Launched : 2014
Annals of Clinical and Medical Microbiology
ISSN : 2578-3629
Launched : 2014
JSM Pediatric Surgery
ISSN : 2578-3149
Launched : 2017
Journal of Memory Disorder and Rehabilitation
ISSN : 2578-319X
Launched : 2016
JSM Tropical Medicine and Research
ISSN : 2578-3165
Launched : 2016
JSM Head and Face Medicine
ISSN : 2578-3793
Launched : 2016
JSM Cardiothoracic Surgery
ISSN : 2573-1297
Launched : 2016
JSM Bone and Joint Diseases
ISSN : 2578-3351
Launched : 2017
JSM Bioavailability and Bioequivalence
ISSN : 2641-7812
Launched : 2017
JSM Atherosclerosis
ISSN : 2573-1270
Launched : 2016
Journal of Genitourinary Disorders
ISSN : 2641-7790
Launched : 2017
Journal of Fractures and Sprains
ISSN : 2578-3831
Launched : 2016
Journal of Autism and Epilepsy
ISSN : 2641-7774
Launched : 2016
Annals of Marine Biology and Research
ISSN : 2573-105X
Launched : 2014
JSM Health Education & Primary Health Care
ISSN : 2578-3777
Launched : 2016
JSM Communication Disorders
ISSN : 2578-3807
Launched : 2016
Annals of Musculoskeletal Disorders
ISSN : 2578-3599
Launched : 2016
Annals of Virology and Research
ISSN : 2573-1122
Launched : 2014
JSM Renal Medicine
ISSN : 2573-1637
Launched : 2016
Journal of Muscle Health
ISSN : 2578-3823
Launched : 2016
JSM Genetics and Genomics
ISSN : 2334-1823
Launched : 2013
JSM Anxiety and Depression
ISSN : 2475-9139
Launched : 2016
Clinical Journal of Heart Diseases
ISSN : 2641-7766
Launched : 2016
Annals of Medicinal Chemistry and Research
ISSN : 2378-9336
Launched : 2014
JSM Pain and Management
ISSN : 2578-3378
Launched : 2016
JSM Women's Health
ISSN : 2578-3696
Launched : 2016
Clinical Research in HIV or AIDS
ISSN : 2374-0094
Launched : 2013
Journal of Endocrinology, Diabetes and Obesity
ISSN : 2333-6692
Launched : 2013
Journal of Substance Abuse and Alcoholism
ISSN : 2373-9363
Launched : 2013
JSM Neurosurgery and Spine
ISSN : 2373-9479
Launched : 2013
Journal of Liver and Clinical Research
ISSN : 2379-0830
Launched : 2014
Journal of Drug Design and Research
ISSN : 2379-089X
Launched : 2014
JSM Clinical Oncology and Research
ISSN : 2373-938X
Launched : 2013
JSM Bioinformatics, Genomics and Proteomics
ISSN : 2576-1102
Launched : 2014
JSM Chemistry
ISSN : 2334-1831
Launched : 2013
Journal of Trauma and Care
ISSN : 2573-1246
Launched : 2014
JSM Surgical Oncology and Research
ISSN : 2578-3688
Launched : 2016
Annals of Food Processing and Preservation
ISSN : 2573-1033
Launched : 2016
Journal of Radiology and Radiation Therapy
ISSN : 2333-7095
Launched : 2013
JSM Physical Medicine and Rehabilitation
ISSN : 2578-3572
Launched : 2016
Annals of Clinical Pathology
ISSN : 2373-9282
Launched : 2013
Annals of Cardiovascular Diseases
ISSN : 2641-7731
Launched : 2016
Journal of Behavior
ISSN : 2576-0076
Launched : 2016
Annals of Clinical and Experimental Metabolism
ISSN : 2572-2492
Launched : 2016
Clinical Research in Infectious Diseases
ISSN : 2379-0636
Launched : 2013
JSM Microbiology
ISSN : 2333-6455
Launched : 2013
Journal of Urology and Research
ISSN : 2379-951X
Launched : 2014
Journal of Family Medicine and Community Health
ISSN : 2379-0547
Launched : 2013
Annals of Pregnancy and Care
ISSN : 2578-336X
Launched : 2017
JSM Cell and Developmental Biology
ISSN : 2379-061X
Launched : 2013
Annals of Aquaculture and Research
ISSN : 2379-0881
Launched : 2014
Clinical Research in Pulmonology
ISSN : 2333-6625
Launched : 2013
Journal of Immunology and Clinical Research
ISSN : 2333-6714
Launched : 2013
Annals of Forensic Research and Analysis
ISSN : 2378-9476
Launched : 2014
Annals of Breast Cancer Research
ISSN : 2641-7685
Launched : 2016
Annals of Gerontology and Geriatric Research
ISSN : 2378-9409
Launched : 2014
Journal of Sleep Medicine and Disorders
ISSN : 2379-0822
Launched : 2014
JSM Burns and Trauma
ISSN : 2475-9406
Launched : 2016
Chemical Engineering and Process Techniques
ISSN : 2333-6633
Launched : 2013
Annals of Clinical Cytology and Pathology
ISSN : 2475-9430
Launched : 2014
JSM Allergy and Asthma
ISSN : 2573-1254
Launched : 2016
Journal of Neurological Disorders and Stroke
ISSN : 2334-2307
Launched : 2013
Annals of Sports Medicine and Research
ISSN : 2379-0571
Launched : 2014
JSM Sexual Medicine
ISSN : 2578-3718
Launched : 2016
Annals of Vascular Medicine and Research
ISSN : 2378-9344
Launched : 2014
JSM Biotechnology and Biomedical Engineering
ISSN : 2333-7117
Launched : 2013
Journal of Hematology and Transfusion
ISSN : 2333-6684
Launched : 2013
JSM Environmental Science and Ecology
ISSN : 2333-7141
Launched : 2013
Journal of Cardiology and Clinical Research
ISSN : 2333-6676
Launched : 2013
JSM Nanotechnology and Nanomedicine
ISSN : 2334-1815
Launched : 2013
Journal of Ear, Nose and Throat Disorders
ISSN : 2475-9473
Launched : 2016
JSM Ophthalmology
ISSN : 2333-6447
Launched : 2013
Journal of Pharmacology and Clinical Toxicology
ISSN : 2333-7079
Launched : 2013
Annals of Psychiatry and Mental Health
ISSN : 2374-0124
Launched : 2013
Medical Journal of Obstetrics and Gynecology
ISSN : 2333-6439
Launched : 2013
Annals of Pediatrics and Child Health
ISSN : 2373-9312
Launched : 2013
JSM Clinical Pharmaceutics
ISSN : 2379-9498
Launched : 2014
JSM Foot and Ankle
ISSN : 2475-9112
Launched : 2016
JSM Alzheimer's Disease and Related Dementia
ISSN : 2378-9565
Launched : 2014
Journal of Addiction Medicine and Therapy
ISSN : 2333-665X
Launched : 2013
Journal of Veterinary Medicine and Research
ISSN : 2378-931X
Launched : 2013
Annals of Public Health and Research
ISSN : 2378-9328
Launched : 2014
Annals of Orthopedics and Rheumatology
ISSN : 2373-9290
Launched : 2013
Journal of Clinical Nephrology and Research
ISSN : 2379-0652
Launched : 2014
Annals of Community Medicine and Practice
ISSN : 2475-9465
Launched : 2014
Annals of Biometrics and Biostatistics
ISSN : 2374-0116
Launched : 2013
JSM Clinical Case Reports
ISSN : 2373-9819
Launched : 2013
Journal of Cancer Biology and Research
ISSN : 2373-9436
Launched : 2013
Journal of Surgery and Transplantation Science
ISSN : 2379-0911
Launched : 2013
Journal of Dermatology and Clinical Research
ISSN : 2373-9371
Launched : 2013
JSM Gastroenterology and Hepatology
ISSN : 2373-9487
Launched : 2013
Annals of Nursing and Practice
ISSN : 2379-9501
Launched : 2014
JSM Dentistry
ISSN : 2333-7133
Launched : 2013
Author Information X