Loading

JSM Cardiothoracic Surgery

NT-proBNP as a Prognostic Indicator for Decompensated Heart Failure in Elderly Population

Case Report | Open Access | Volume 6 | Issue 1

  • 1*. Northern Ireland Medical and Dental Training Agency, United Kingdom
  • 2. University of Buckingham, United Kingdom
  • 2. University of Buckingham, United Kingdom
+ Show More - Show Less
Corresponding Authors
Eranda L Ranasinghe Arachchi, Northern Ireland Medical and Dental Training Agency, United Kingdom
ABSTRACT

Background: As per the updated NICE guidelines, brain (B-type) natriuretic peptide (BNP) is used in the diagnostic criteria and management of heart failure. In this study, we aimed to evaluate the prognostic value of the inactive N-terminal fragment NT-proBNP in an elderly population with decompensated heart failure.

Materials and Methods: We conducted a retrospective observational cohort study of 88 elderly patients who were admitted with decompensated heart failure between September 2023 to April 2024, covering the South Eastern Trust in Northern Ireland. Suspected heart failure admissions were randomly selected to obtain snapshots of each month. Among these admissions, 88 heart failure cases were identified based on echocardiogram findings and NT-proBNP levels obtained at initial admission. The same cohort was followed up for 12 weeks to monitor two specific end points: re-admission with heart failure or death. Heart failure follow-ups were also assessed post-discharge. All cases were categorized into two main cohorts: a heart failure with reduced ejection fraction (HFrEF/EF > 60%) cohort and a heart failure with preserved ejection fraction (HFpEF/EF > 40%) cohort. Prognostic values and all-cause mortality after discharge were assessed for each cohorts via multivariable adjusted Cox regression analysis. Each cohort was further divided into three sub-cohorts based on NT-proBNP value.

Results: The data analysis showed that patients with NT-proBNP values of >2000 exhibited a mortality rate of 29.1% and a heart failure re-admission rate of 45.6%. Those with rising NT-proBNP values during heart failure follow-up exhibited a re-admission rate of 66.6%, which was much lower than that (33.3%) seen in those with declining NT-proBNP values.

Conclusions: Our results indicated that higher NT-proBNP levels on admission were predictive of higher mortality and re-admission rates among the elderly population. Furthermore, rising NT-proBNP levels during heart failure follow up were associated with higher mortality and morbidity rates. Therefore, NT-proBNP levels can be used as a prognostic biomarker for elderly patients with heart failure, irrespective of their ejection fraction status.

KEYWORDS

Heart Failure; NT-proBNP; Elderly; Prognostic Indicator; Mortality Predictor.

INTRODUCTION

Brain (B-type) natriuretic peptide (BNP) is a peptide hormone released primarily from the cardiac ventricles in response to myocyte stretch. It is synthesized as an inactive prohormone that is split into the active hormone BNP and the inactive N-terminal fragment NT-proBNP. BNP has several systemic effects, including vasodilation, increased urinary volume and sodium output, and inhibition of the sympathetic nervous and renin–angiotensin–aldosterone systems [1]. The prognostic importance of BNP and NT-pro-BNP has been extensively studied in patients with heart failure and acute coronary syndromes, and both markers have been shown to be strong predictors of morbidity and mortality [2]. However, neither BNP nor NT-proBNP has been studied as a prognostic indicator among the elderly population. Evaluating BNP as a prognostic indicator of heart failure among the elderly population would enable care providers to plan their treatment and follow-up effectively. Therefore, in this study, we aimed to evaluate the prognostic value of BNP as a predictor of overall outcome in elderly patients with heart failure.

MATERIALS AND METHODS

Study Population

We conducted a retrospective observational cohort study of 98 elderly patients who were admitted with decompensated heart failure between September 2023 to April 2024 in Lagan Valley Hospital, and Lisburn and Ulster Hospital (Dundonald, Northern Ireland). These two major tertiary care and secondary care hospitals, respectively, cover the entire southeastern trust of Norther Ireland, which represents most of the elderly population in the country. Both hospitals have focused protocols for elderly care with onsite availability of cardiac services. We assessed 120 patients with suspected heart failure over eight months. The cases were randomly selected as snapshots covering each month. Among these 120 patients, 88 were confirmed to have heart failure based on clinical symptoms, echocardiography findings, and NT-proBNP findings on admission. Verbal informed consent was obtained from each patient for echocardiography, blood testing, and clinical history and follow-up, as well as for anonymized patient information sharing.

Baseline Measurements

In all patients, a thorough medical history was recorded, including details of any previous myocardial infarction or revascularization, angina pectoris, arterial hypertension, suspected congestive heart failure (defined by symptoms of shortness of breath or leg edema), previous stroke or transient ischemic attacks, diabetes, atrial fibrillation, and any malignancy. This information was obtained from medical records, directly from the patients, or both. Clinical frailty was evaluated for each patient using the Rockwood Clinical Frailty Scale. Echocardiography findings were evaluated for all the identified cases. Ejection fraction and presence of any regional wall motion abnormalities, valve pathologies, and LV thrombus was documented. The majority of patients received NT-proBNP during the admission. The inclusion criteria were as follows: > 65 years of age or a Rockwood Clinical Frailty Scale score of > 4, established acute hospital admission with heart failure, and an NT-proBNP value of > 400 ng/L.

Follow Up

Heart failure medications upon discharge were documented and categorized as beta blockers, diuretics, dapagliflozin, digoxin, antiplatelets, or anticoagulants. All 98 patients were followed up for 12 weeks after initial hospital discharge. Follow-up pathways were traced through electronic data records, including follow up with any cardiologist, heart failure nurse, or community-based heart failure care provider. Any medication changes or additions during follow up were recorded. Patients who received repeat NT-proBNP were also recorded with values. Follow up was monitored in terms of two major end points: heart failure–related death and re-admission due to heart failure.

Data Analysis

All patients were sorted into two main cohorts: a heart failure with reduced ejection fraction (HFrEF/EF > 60%) cohort and a heart failure with preserved ejection fraction (HFpEF/EF > 40%) cohort. Each cohort was again categorized into three main sub-cohorts according to NT-proBNP value on admission: < 400, 400-2000, and >2000. In total, six sub-cohorts were established, and data were analyzed for each sub-cohort. Average age, gender distribution, clinical frailty score, presenting symptoms, and past medical history were listed under demographic distribution cohort. Follow-up details, heart failure admissions, and deaths were listed under morbidity and mortality section.

Nt-Probnp Values and End Points

The same cohorts were further followed up for 12-15 weeks to monitor the two above-mentioned end points. In addition, whether patients received outpatient heart failure follow-up (e.g., with heart failure nurse, cardiac hub, or cardiology specialist) was also monitored. Repeat BNP values during follow-ups were compared with each patient’s initial BNP value and documented as either a “reduction” or “increase.” These parameters were again correlated with the aforementioned end points.

RESULTS

Demographic Characteristics

HFpEF Cohort: Patients in the HFpEF cohort were categorized into three sub-cohorts according to BNP values. In all three sub-cohorts of the HFpEF cohort, the majority of patients were male, and most had a Rockwood Clinical Frailty Scale score of 6. The majority of patients presented with shortness of breath, and a minority had evidence of fluid overload. Those with moderately and highly elevated BNP had other associated vascular risk factors, including coronary artery disease, hypertension, CKD, CVA, and AF, as seen in (Table 1).

Table 1: Demographic characteristics of HFpEF cohort.

NT-proBNP

< 400 ng/L

n = 111

400-2000 ng/L

n = 151

> 2000 ng/L

n = 27

Age in years, average (SD)

66.2 (13.7)

80.7 (6.3)

83.3 (8.5)

Sex

Female

5 (17.2%)

9 (31.0%)

15 (51.7%)

Male

6 (25.0%)

6 (25.0%)

12 (50.0%)

Clinical Frailty Score

2

2 (100.0%)

0 (0.0%)

0 (0.0%)

3

2 (50.0%)

1 (25.0%)

1 (25.0%)

4

3 (42.9%)

2 (28.6%)

2 (28.6%)

5

3 (23.1%)

5 (38.5%)

5 (38.5%)

6

0 (0.0%)

7 (38.9%)

11 (61.1%)

7

1 (11.1%)

0 (0.0%)

8 (88.9%)

NYHA II SOB

10 (22.2%)

11(24.4%)

24 (53.3%)

Fluid Overload

2 (14.3%)

4 (28.6%)

8 (57.1%)

Hypertension

2 (8.3%)

8 (33.3%)

14(58.3%)

Diabetes Mellitus

2 (15.4%)

3 (23.1%)

8 (61.5%)

Chronic Kidney Disease

0 (0.0%)

2 (16.7%)

10 (83.3%)

Dyslipidemia

2 (40.0%)

2 (40.0%)

1 (20.0%)

Coronary Artery Disease

6 (33.3%)

5 (27.8%)

7 (38.9%)

Cerebrovascular Accident

2 (33.3%)

2 (33.3%)

2 (33.3%)

Atrial Fibrillation

0 (0.0%)

6 (33.3%)

12 (66.7%)

Respiratory Diseases

5 (29.4%)

5 (29.4%)

7 (41.2%)

Malignancy

0 (0.0%)

3 (25.0%)

9 (75.0%)

 

 

 

 

 

 

 

 

 

 

 

 

 

 

 

 

 

 

 

 

 

 

 

 

 

 

 

 

 

 

 

 

 

 

 

Data are presented as frequencies (percentages) unless otherwise stated. NYHA II SOB: xxx. SD: standard deviation.

HFrEF Cohort: The HFrEF cohort was categorized into sub-cohorts according to BNP values. Similar to the HFpEF cohort, the majority of patients were male, the majority of patients presented with shortness of breath and were diagnosed with heart failure, and the minority of patients presented with evidence of fluid overload. The average Rockwood Clinical Frailty Scale score of the HFrEF cohort was 5. As seen in the HFpEF cohort, patients with moderately and highly elevated Surevalues had other cardiovascular risk factors, as seen in (Table 2-4).

Table 2: Demographic characteristics of HFrEF cohort.

BNP

< 400 ng/L

n = 41

400-2000 ng/L

n = 71

> 2000 ng/L

n = 24

Age in years, average (SD)

71.3 (10.7)

60.3 (14.1)

77.3

(13.4)

Sex

Female

1 (8.3%)

3 (25.0%)

8 (66.7%)

Male

3 (13.0%)

4 (17.4%)

16 (69.6%)

Clinical Frailty Score

3

1 (100.0%)

0 (0.0%)

0 (0.0%)

4

1 (16.7%)

3 (50.0%)

2 (33.3%)

5

1 (20.0%)

1 (20.0%)

3 (60%)

6

0 (0.0%)

0 (0.0%)

12 (100%)

7

1 (16.7%)

1 (16.7%)

4 (66.7%)

Missing observations

0

2

3

Presenting symptoms

NYHA II SOB

2 (8.3%)

4 (16.7%)

18 (75.0%)

Fluid Overload

0 (0.0%)

0 (0.0%)

6 (100%)

Past Medical History

Hypetension

0 (0.0%)

2 (20.0%)

8 (80.0%)

Diabetes Mellitus

0 (0.0%)

1 (16.7%)

5 (83.3%)

Chronic Kidney Disease

0 (0.0%)

0 (0.0%)

6 (100.0%)

Dyslipidemia

0 (0.0%)

0 (0.0%)

3 (100%)

Coronary Artery Disease

0 (0.0%)

1 (16.7%)

5 (83.3%)

Cerebrovascular Accident

0 (0.0%)

0 (0.0%)

1 (100%)

Atrial Fibrillation

2 (20.0%)

2 (20.0%)

6 (60.0%)

Respiratory Diseases

1 (20.0%)

1 (20.0%)

3 (60%)

Malignancy

0 (0.0%)

0 (0.0%)

3 (100%)

Data are presented as frequencies (percentages) unless otherwise stated. NYHA II SOB: xxx, SD: standard deviation.

Table 3: Data analysis of end points for HFrEF cohort.

 

NT Pro BNP

0-400

NT Pro BNP

400 - 2000

NT Pro BNP

> 2000

Mortality

Alive

3 (75%)

7 (100%)

22 (91.6%)

Deceased

1 (25%)

0%

3 (12.5%)

Readmissions

 

 

 

Yes ( including terminal event admission )

1 (25%)

0%

3 (12.5%)

No admission

3 (75%)

7 (100%)

21 (87.5%)

Heart Failure follow up

Received

4 (100%)

7 (100%)

12 (54.5%)

Not Received

0 (0%)

0 (0%)

6 (27.2%)

Not Warranted

0 (0%)

0 (0%)

4 (18.1%)

NT Pro BNP measured?

Yes

0 (0%)

3 (42.8%)

10 (41.6%)

No

4 (100%)

2 (57.1%)

6 (29.1%)

Table 4: Data analysis of end points for HFpEF cohort.

 

NT Pro BNP

0-400

NT Pro BNP

400 - 2000

NT Pro BNP

>2000

Mortality

Alive

10 (91%)

13 (86.6%)

15 (55.6%)

Deceased

01 (9%)

02 (13.3%)

12 (44.4%)

Readmissions

Yes (including terminal event admission)

02 (18.1%)

03 (33.3%)

19 (74.0%)

No admission

09 (81.8%)

12 (66.6%)

08 (26%)

Heart failure Follow up

Received

05 (45.4%)

08 (61.5%)

05 (35.7%)

Not Received

04 (36.3%)

04 (38.5%)

10 (64.2%)

Not Warranted

02 (18.1%)

0 (0%)

0 (0%)

OP NT Pro BNP monitored?

Yes

1 (11.1%)

03 (38.4%)

02 (35.7%)

No

4 (88.8%)

05 (61.6%)

03 (64.2%)

Nt-Probnp and Mortality: The association between NT-proBNP value and mortality was evaluated for both cohorts. In the HFpEF cohort, the sub-cohort with an initial NT-proBNP value of > 2000 on admission demonstrated a high mortality rate of 44% from admission through follow up. In contrast, the same sub-cohort of the HFrEF cohort exhibited a mortality rate of 8.3%. The mortality rates of all sub-cohorts were standardized and plotted against NT-proBNP levels. The total cohort demonstrated higher mortality. The two sub-cohorts with NT-proBNP values of >2000 demonstrated a mortality rate of 29.1% (Figure 1).

Nt-Probnp and Heart Failure Re-Admission

All data from the six sub-cohorts were analyzed in terms of the heart failure re-admission end point. In the HFpEF cohort, the sub-cohort with initial NT-proBNP values of > 2000 on admission demonstrated a high readmission rate of 74% during follow up. In contrast, in the HFrEF cohort, the same sub-cohort exhibited a lower readmission rate of 12.5%, similar to the results of the mortality end point analysis between groups. The data were then statistically standardized for the whole population and plotted against NT-proBNP values, which showed higher incidence with readmissions (Figure 2).

Heart Failure Follow-Up: 65.7% (n = 23) of the HFrEF cohort received heart failure follow up from a specialist or heart failure nurse–led clinic, whereas only 33.7% (n =18) of the HFpEF cohort received follow up (Figure 3,4). Of the patients who received follow up, 46.3% (n =19) % received a repeat NT-proBNP evaluation either during the follow up or during a readmission. More than 35% of patients with moderately high NT-proBNP (400–2000)-38.4% (n = 3) for the HFpEF cohort and 42.8% (n =3) for the HFrEF cohort-received repeat NT-proBNP evaluation during follow up. Sub-cohorts with NT-proBNP values of > 2000 demonstrated similar repeat BT-proBNP evaluation rates during follow up: 37.5% (n = 6) for the HFpEF cohort and 41.6 %( n = 10) for the HFrEF cohort.

The data analysis was further extended to determine whether patients exhibited declining or rising NT-proBNP values during heart failure follow up, compared the BNP reduction rate with the re-admissions. During follow up, nine patients exhibited rising NT-proBNP values, of which six were re-admitted due to heart failure exacerbation, representing a 66.6% re-admission rate for patients with rising NT-proBNP values. Of the 12 patients who exhibited declining NT-proBNP values during follow up, only four were re-admitted with heart failure exacerbation, representing a 33.3% re-admission rate for patients with declining NT-proBNP values, as seen in (Figure 5).

Figure 1: NT-proBNP values and mortality rates for both HFrEF and  HFpEF cohorts.

Figure 1: NT-proBNP values and mortality rates for both HFrEF and HFpEF cohorts.

Figure 2: NT-proBNP values and heart failure readmission rates for  HFrEF and HFpEF cohorts.

Figure 2: NT-proBNP values and heart failure readmission rates for HFrEF and HFpEF cohorts.

Figure 3: Follow-up rates for HFrEF and HFpEF cohorts.

Figure 3: Follow-up rates for HFrEF and HFpEF cohorts.

Figure 4: Follow-up NT-proBNP evaluation rates for total study  sample and sub-cohorts.

Figure 4: Follow-up NT-proBNP evaluation rates for total study sample and sub-cohorts.

Figure 5: Association between changes in NT-proBNP value and readmission rate.

Figure 5: Association between changes in NT-proBNP value and re-admission rate

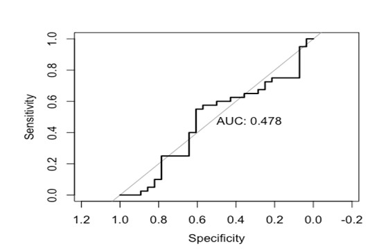
Statistical Power: Categorical variables are reported as frequencies and percentages. Normally distributed continuous variables are presented as means ± standard deviations, whereas non-normally distributed continuous variables are presented medians and interquartile ranges. Student’s t-test or the Mann–Whitney U test for continuous variables, and the chi?squared or Fisher’s exact test for categorical variables were used comparison between groups, as appropriate. When needed, the variables were transformed for further analysis. We re-categorized all the data according to NT-proBNP values. Area under the receiver operating curve (AUROC) was calculated for each cohort to measure the natriuretic peptide’s performance in predicting heart failure mortality at first admission screening. Multiple logistic regression was then performed for the total study sample to determine whether NT-proBNP was predictive of mortality in heart failure, as seen in (Figure 6). AUROC was 0.478 for the total study sample, indicating that NT-proBNP values can be used as a prognostic biomarker for predicting mortality in elderly heart failure patients.

Kaplan-Meier curves and log?rank analysis were used to compare the cumulative incidence of the primary end point between groups, as seen in (Figures 7,8). The Kaplan–Meier curves for both cohorts demonstrated that survival probability decreased as NT-proBNP levels increased (p-values of 0.29 and 0.018 for the HFpEF and HFrEF cohorts, respectively). In this study, the null hypothesis is that NT-proBNP cannot be used as a prognostic indicator for elderly patients with heart failure. As the significance level for this study was set at 1, and the p-values for both cohorts were less than this significance level, the null hypothesis was rejected (Figure 9).

Figure 6: Receiver operating characteristic curve for the total study  sample, indicating NT-proBNP as a mortality and readmission  predictor for heart failure exacerbation.

Figure 6: Receiver operating characteristic curve for the total study sample, indicating NT-proBNP as a mortality and readmission predictor for heart failure exacerbation.

Figure 7: Kaplan–Meier curve for HFpEF cohort.

Figure 7: Kaplan–Meier curve for HFpEF cohort.

Figure 8: Kaplan–Meier curve for HFrEF cohort.

Figure 8: Kaplan–Meier curve for HFrEF cohort.

Figure 9: Kaplan–Meier Curve for different NT-proBNP levels.

Figure 9: Kaplan–Meier Curve for different NT-proBNP levels.

DISCUSSION

The Summery of Main Findings F

In this cohort study, two major heart failure cohorts were analyzed for specific end points under six main sub-cohorts. Our data analysis showed that whose with NT-proBNP values of > 2000 exhibited a mortality rate of 29.1% and a heart failure re-admission rate of 45.6%. Those with rising NT-proBNP values during heart failure follow-up exhibited a re-admission rate of 66.6%, which was much lower than that (33.3%) among those with declining NT-proBNP values. Based on the statistical power of the study, NT-proBNP can be used as a prognostic marker for mortality in elderly patients with heart failure irrespective of their ejection fraction.

Strengths and Limitations of the Study

The case selection for this study was done after a thorough analysis of more than 200 patients, considering clinical presentation, echocardiography findings and NT-pro BNP values. The case selection represents a correct picture of a clinical case of an elderly patient who has chronic heart failure with recurrent exacerbations. The scope of this study was to evaluate how impactful monitoring NT-proBNP levels in such a case to reduce the recurrence of exacerbations and improve the overall morbidity and mortality. The monitoring time for the endpoint is powerful in this study as we managed to monitor each case for more than 8 months. Assessing the follow up details across longer duration with follow up NT-proBNP levels were powerful as the existing literature on this fact is still limited. Echocardiographic Heart of England Screening (ECHOES) study [5] is one of the major studies that is carried out to date, to evaluate the long-term prognosis of patients with chronic heart failure patients. Even though, the results of ECHOES study shows that the survival rate in severe left ventricular dysfunction is poor, there was no measurement and correlation with NT-pro BNP levels in the study population. Furthermore, there were no classifications of heart failure as HFrEF or HFpEF at the time of ECHOES study happened. Hence, our pilot study can be considered as a stepping stone for a comprehensive mass study of analyzing all types of heart failure with NT-Pro BNP assessment.

This study did have some limitations. The data collection was done randomly to obtain snapshots of each month of the study period. The initial approach used for data collection included screening patients who had inpatient echocardiography for heart failure, with the assumption that all heart failure admissions received inpatient echocardiography. However, this selection process may have missed some patients. Other factors that can cause high NT-proBNP values were not evaluated in this study. However, the documented demographic characteristics included most of these factors, and the results were standardized. 14 of 16 Data on body mass index, serum creatinine levels, and sepsis were not collected, as it was challenging to access these data sets.

In the future, we hope to carry out a separate study to extensively analyze these factors. The mortality and re-admission record we obtained were analyzed to determine the causes for mortality and re-admissions. Some patients had other associated causes of mortality beyond heart failure, such as sepsis, Acute Kidney Injury (AKI) on Chronic Kidney Disease (CKD) and cardiorenal syndrome. Most of the re-admissions were actual heart failure re-admissions, but a minority of patients presented with respiratory conditions that could have exacerbated existing heart failure, such as pneumonia or infective exacerbation of chronic obstructive pulmonary disease. The presence of other associated conditions in addition to heart failure that contributed to mortality and re-admission was an unavoidable limitation in this study.

Comparison with Existing Literature

Taylor C.J did a study [1] by analyzing 594 participants of the ECHOES study who took part in the NT-proBNP sub-study. As per the analysis, the proportion of patients surviving 10 years was significantly lower in the group with an NT-proBNP level ≥150 pg/mL compared to an NT-proBNP level <150pg/mL (61% vs 89%respectively in the general population). An NT-proBNP level ≥150 pg/mL was strongly predictive of a diagnosis of HF at screening and of death in the next 10 years. Our study further confirms similar findings of above study in further comprehensive manner by assessing the population based on different Ejection fraction levels (HFrEF and HFpEF) and different NT- proBNP levels. Clare J did a study [5] which was similar to our study by assessing the mortality my correlating NT-pro BNP values with HFrEF and HFpEF cohorts. This study highlights that NT-proBNP levels confer the same relative risk information in HFpEF cohort similar to the HFrEF cohort. The study further confirms that NT-pro BNP still can be used as a prognostic indicator for patients who have other comorbidities along with HFpEF. Similarly, our study results also proved that NT-Pro BNP still can predict the morbidity and mortality, irrespective of the ejection fraction status of the patients.

Additionally, we were able to prove in our study that rising NT-proBNP values during the follow up, tend to result in more re-admissions whereas the opposite for declining NT-pro BNP values. This fact was not evaluated much in the study [5] done by Clare J. Hobbs FDR did another study [3] by assessing 591 patients in the community level to evaluate the reliability of both NT-pro BNP and BNP in diagnosing heart failure. This study confirmed that both NT-proBNP and BNP have value in diagnosing left ventricular systolic dysfunction in a community setting, with similar sensitivities and specificities. Our study further proves that monitoring NT-pro BNP at the community is reliable in diagnosing heart failure exacerbations in the community.

Charlotte K, did another study [6] by assessing 288 patients with stable coronary artery disease. The results showed median NT-pro-BNP level was significantly lower among patients who survived than among those who died from cardiovascular diseases. This study was done in a cohort with stable coronary artery disease where they have included patients with non-occlusive coronary arteries as the inclusion criteria. This study further proves that NT-proBNP is an excellent independent prognostic indicator for mortality in patients with left ventricular systolic dysfunction irrespective of associated ischemic origin. We believe that this fact (inclusion criteria of patients with non-occlusive coronaries) was something deficient in our study that we might have been considered in the study design. Zhang. B did a similar type of a study [7] to assess the prognostic value of NT-proBNP in patients with valvular heart disease. The results were similar to the rest of the study results confirming that NT-pro BNP levels can be used as a prognostic indicator in patients with valvular heart diseases. In our study, we were able to collect echocardiographic data on valvular abnormalities but could not correlate with the NT-pro BNP values and the end points. This is again something deficient on our study compared to the study by Bin Zhang MD [7].

Implications on Future Practice

Current National Institute of Health and Care Excellence ( NICE) , United Kingdom guidelines [4] only consider measuring NT-proBNP as a part of treatment optimization protocol only in a specialized care setting for people under 75 who have heart failure with reduced ejection fraction and estimated Glomerular Filtration Rate ( eGFR) more than 60 ml/min/1.73 m2. The results of our study, along with existing literature proves that NT-proBNP is a very reliable prognostic indicator for mortality and morbidity, irrespective of the ejection fraction status and presence of coronary artery disease. Furthermore, the study proves that routine monitoring of NT-pro BNP and assessing the trend would accurately predict future readmissions and then mortality of the patients with chronic heart failure.

These results would enable to re-evaluate NICE guidelines [4] on chronic heart failure follow up, by expanding the criteria by enabling the elderly population to have NT-proBNP as a part of follow up irrespective of their age and the follow up care provider. Monitoring NT-pro BNP tends on the follow up, would enable the health care providers to identify future re-admissions early and make the treatment plans accordingly to prevent exacerbations. This would be a potential guideline update in the future if this pilot study gets expanded.

CONCLUSION

Our results provided satisfactory statistical evidence that higher NT-proBNP values on admission were a good predictor of mortality and re-admission among the elderly population. Furthermore, rising NT-proBNP levels during heart failure follow up were associated with higher mortality and morbidity rates. Therefore, NT-proBNP level can be used as a prognostic biomarker for elderly patients with heart failure, irrespective of their ejection fraction status. Monitoring NT-proBNP levels in all heart failure cases could be beneficial to prevent mortality and morbidity, as heart failure medications can then be optimized prior to episodes of heart failure decompensation.

REFERENCES
  1. Taylor CJ, Roalfe AK, Iles R, Hobbs FD. The potential role of NT-proBNP in screening for and predicting prognosis in heart failure: a survival analysis. BMJ Open. 2014; 4: e004675. doi: 10.1136/bmjopen-2013-004675. PMID: 24747793; PMCID: PMC3996821.
  2. Salah K, Stienen S, Pinto YM, Eurlings LW, Metra M, Bayes-Genis A, et al. Prognosis and NT-proBNP in heart failure patients with preserved versus reduced ejection fraction. Heart. 2019; 105: 1182-1189. doi: 10.1136/heartjnl-2018-314173. Epub 2019 Apr 8. PMID: 30962192; PMCID: PMC6662953.
  3. Hobbs FD, Davis RC, Roalfe AK, Hare R, Davies MK. Reliability of N-terminal proBNP assay in diagnosis of left ventricular systolic dysfunction within representative and high risk populations. Heart. 2004; 90: 866-870. doi: 10.1136/hrt.2003.014258. PMID: 15253955; PMCID: PMC1768355.
  4. Chronic heart failure in adults: diagnosis and management. NICE. 2018.
  5. Taylor CJ, Roalfe AK, Iles R, Hobbs FD. Ten-year prognosis of heart failure in the community: follow-up data from the Echocardiographic Heart of England Screening (ECHOES) study. Eur J Heart Fail. 2012; 14: 176-184. doi: 10.1093/eurjhf/hfr170. PMID: 22253455.
  6. Salah K, Stienen S, Pinto YM, Eurlings LW, Metra M, Bayes-Genis A, et al. Prognosis and NT-proBNP in heart failure patients with preserved versus reduced ejection fraction. Heart. 2019; 105: 1182-1189. doi: 10.1136/heartjnl-2018-314173. Epub 2019 Apr 8. PMID: 30962192; PMCID: PMC6662953.
  7. Zhang B, Xu H, Zhang H, Liu Q, Ye Y, Hao J, et al. Prognostic Value of N-Terminal Pro-B-Type Natriuretic Peptide in Elderly Patients With Valvular Heart Disease. J Am Coll Cardiol. 2020; 75: 1659-1672. doi: 10.1016/j.jacc.2020.02.031. PMID: 32273031.

Arachchi ELR, Agboyibor K, Yalamanchilli G (2023) NT-proBNP as a Prognostic Indicator for Decompensated Heart Failure in Elderly Population. JSM Cardiothorac Surg 6(1): 1019

Received : 14 Nov 2024
Accepted : 11 Nov 2024
Published : 14 Nov 2024
Journals
Annals of Otolaryngology and Rhinology
ISSN : 2379-948X
Launched : 2014
JSM Schizophrenia
Launched : 2016
Journal of Nausea
Launched : 2020
JSM Internal Medicine
Launched : 2016
JSM Hepatitis
Launched : 2016
JSM Oro Facial Surgeries
ISSN : 2578-3211
Launched : 2016
Journal of Human Nutrition and Food Science
ISSN : 2333-6706
Launched : 2013
JSM Regenerative Medicine and Bioengineering
ISSN : 2379-0490
Launched : 2013
JSM Spine
ISSN : 2578-3181
Launched : 2016
Archives of Palliative Care
ISSN : 2573-1165
Launched : 2016
JSM Nutritional Disorders
ISSN : 2578-3203
Launched : 2017
Annals of Neurodegenerative Disorders
ISSN : 2476-2032
Launched : 2016
Journal of Fever
ISSN : 2641-7782
Launched : 2017
JSM Bone Marrow Research
ISSN : 2578-3351
Launched : 2016
JSM Mathematics and Statistics
ISSN : 2578-3173
Launched : 2014
Journal of Autoimmunity and Research
ISSN : 2573-1173
Launched : 2014
JSM Arthritis
ISSN : 2475-9155
Launched : 2016
JSM Head and Neck Cancer-Cases and Reviews
ISSN : 2573-1610
Launched : 2016
JSM General Surgery Cases and Images
ISSN : 2573-1564
Launched : 2016
JSM Anatomy and Physiology
ISSN : 2573-1262
Launched : 2016
JSM Dental Surgery
ISSN : 2573-1548
Launched : 2016
Annals of Emergency Surgery
ISSN : 2573-1017
Launched : 2016
Annals of Mens Health and Wellness
ISSN : 2641-7707
Launched : 2017
Journal of Preventive Medicine and Health Care
ISSN : 2576-0084
Launched : 2018
Journal of Chronic Diseases and Management
ISSN : 2573-1300
Launched : 2016
Annals of Vaccines and Immunization
ISSN : 2378-9379
Launched : 2014
JSM Heart Surgery Cases and Images
ISSN : 2578-3157
Launched : 2016
Annals of Reproductive Medicine and Treatment
ISSN : 2573-1092
Launched : 2016
JSM Brain Science
ISSN : 2573-1289
Launched : 2016
JSM Biomarkers
ISSN : 2578-3815
Launched : 2014
JSM Biology
ISSN : 2475-9392
Launched : 2016
Archives of Stem Cell and Research
ISSN : 2578-3580
Launched : 2014
Annals of Clinical and Medical Microbiology
ISSN : 2578-3629
Launched : 2014
JSM Pediatric Surgery
ISSN : 2578-3149
Launched : 2017
Journal of Memory Disorder and Rehabilitation
ISSN : 2578-319X
Launched : 2016
JSM Tropical Medicine and Research
ISSN : 2578-3165
Launched : 2016
JSM Head and Face Medicine
ISSN : 2578-3793
Launched : 2016
JSM Bone and Joint Diseases
ISSN : 2578-3351
Launched : 2017
JSM Bioavailability and Bioequivalence
ISSN : 2641-7812
Launched : 2017
JSM Atherosclerosis
ISSN : 2573-1270
Launched : 2016
Journal of Genitourinary Disorders
ISSN : 2641-7790
Launched : 2017
Journal of Fractures and Sprains
ISSN : 2578-3831
Launched : 2016
Journal of Autism and Epilepsy
ISSN : 2641-7774
Launched : 2016
Annals of Marine Biology and Research
ISSN : 2573-105X
Launched : 2014
JSM Health Education & Primary Health Care
ISSN : 2578-3777
Launched : 2016
JSM Communication Disorders
ISSN : 2578-3807
Launched : 2016
Annals of Musculoskeletal Disorders
ISSN : 2578-3599
Launched : 2016
Annals of Virology and Research
ISSN : 2573-1122
Launched : 2014
JSM Renal Medicine
ISSN : 2573-1637
Launched : 2016
Journal of Muscle Health
ISSN : 2578-3823
Launched : 2016
JSM Genetics and Genomics
ISSN : 2334-1823
Launched : 2013
JSM Anxiety and Depression
ISSN : 2475-9139
Launched : 2016
Clinical Journal of Heart Diseases
ISSN : 2641-7766
Launched : 2016
Annals of Medicinal Chemistry and Research
ISSN : 2378-9336
Launched : 2014
JSM Pain and Management
ISSN : 2578-3378
Launched : 2016
JSM Women's Health
ISSN : 2578-3696
Launched : 2016
Clinical Research in HIV or AIDS
ISSN : 2374-0094
Launched : 2013
Journal of Endocrinology, Diabetes and Obesity
ISSN : 2333-6692
Launched : 2013
Journal of Substance Abuse and Alcoholism
ISSN : 2373-9363
Launched : 2013
JSM Neurosurgery and Spine
ISSN : 2373-9479
Launched : 2013
Journal of Liver and Clinical Research
ISSN : 2379-0830
Launched : 2014
Journal of Drug Design and Research
ISSN : 2379-089X
Launched : 2014
JSM Clinical Oncology and Research
ISSN : 2373-938X
Launched : 2013
JSM Bioinformatics, Genomics and Proteomics
ISSN : 2576-1102
Launched : 2014
JSM Chemistry
ISSN : 2334-1831
Launched : 2013
Journal of Trauma and Care
ISSN : 2573-1246
Launched : 2014
JSM Surgical Oncology and Research
ISSN : 2578-3688
Launched : 2016
Annals of Food Processing and Preservation
ISSN : 2573-1033
Launched : 2016
Journal of Radiology and Radiation Therapy
ISSN : 2333-7095
Launched : 2013
JSM Physical Medicine and Rehabilitation
ISSN : 2578-3572
Launched : 2016
Annals of Clinical Pathology
ISSN : 2373-9282
Launched : 2013
Annals of Cardiovascular Diseases
ISSN : 2641-7731
Launched : 2016
Journal of Behavior
ISSN : 2576-0076
Launched : 2016
Annals of Clinical and Experimental Metabolism
ISSN : 2572-2492
Launched : 2016
Clinical Research in Infectious Diseases
ISSN : 2379-0636
Launched : 2013
JSM Microbiology
ISSN : 2333-6455
Launched : 2013
Journal of Urology and Research
ISSN : 2379-951X
Launched : 2014
Journal of Family Medicine and Community Health
ISSN : 2379-0547
Launched : 2013
Annals of Pregnancy and Care
ISSN : 2578-336X
Launched : 2017
JSM Cell and Developmental Biology
ISSN : 2379-061X
Launched : 2013
Annals of Aquaculture and Research
ISSN : 2379-0881
Launched : 2014
Clinical Research in Pulmonology
ISSN : 2333-6625
Launched : 2013
Journal of Immunology and Clinical Research
ISSN : 2333-6714
Launched : 2013
Annals of Forensic Research and Analysis
ISSN : 2378-9476
Launched : 2014
JSM Biochemistry and Molecular Biology
ISSN : 2333-7109
Launched : 2013
Annals of Breast Cancer Research
ISSN : 2641-7685
Launched : 2016
Annals of Gerontology and Geriatric Research
ISSN : 2378-9409
Launched : 2014
Journal of Sleep Medicine and Disorders
ISSN : 2379-0822
Launched : 2014
JSM Burns and Trauma
ISSN : 2475-9406
Launched : 2016
Chemical Engineering and Process Techniques
ISSN : 2333-6633
Launched : 2013
Annals of Clinical Cytology and Pathology
ISSN : 2475-9430
Launched : 2014
JSM Allergy and Asthma
ISSN : 2573-1254
Launched : 2016
Journal of Neurological Disorders and Stroke
ISSN : 2334-2307
Launched : 2013
Annals of Sports Medicine and Research
ISSN : 2379-0571
Launched : 2014
JSM Sexual Medicine
ISSN : 2578-3718
Launched : 2016
Annals of Vascular Medicine and Research
ISSN : 2378-9344
Launched : 2014
JSM Biotechnology and Biomedical Engineering
ISSN : 2333-7117
Launched : 2013
Journal of Hematology and Transfusion
ISSN : 2333-6684
Launched : 2013
JSM Environmental Science and Ecology
ISSN : 2333-7141
Launched : 2013
Journal of Cardiology and Clinical Research
ISSN : 2333-6676
Launched : 2013
JSM Nanotechnology and Nanomedicine
ISSN : 2334-1815
Launched : 2013
Journal of Ear, Nose and Throat Disorders
ISSN : 2475-9473
Launched : 2016
JSM Ophthalmology
ISSN : 2333-6447
Launched : 2013
Journal of Pharmacology and Clinical Toxicology
ISSN : 2333-7079
Launched : 2013
Annals of Psychiatry and Mental Health
ISSN : 2374-0124
Launched : 2013
Medical Journal of Obstetrics and Gynecology
ISSN : 2333-6439
Launched : 2013
Annals of Pediatrics and Child Health
ISSN : 2373-9312
Launched : 2013
JSM Clinical Pharmaceutics
ISSN : 2379-9498
Launched : 2014
JSM Foot and Ankle
ISSN : 2475-9112
Launched : 2016
JSM Alzheimer's Disease and Related Dementia
ISSN : 2378-9565
Launched : 2014
Journal of Addiction Medicine and Therapy
ISSN : 2333-665X
Launched : 2013
Journal of Veterinary Medicine and Research
ISSN : 2378-931X
Launched : 2013
Annals of Public Health and Research
ISSN : 2378-9328
Launched : 2014
Annals of Orthopedics and Rheumatology
ISSN : 2373-9290
Launched : 2013
Journal of Clinical Nephrology and Research
ISSN : 2379-0652
Launched : 2014
Annals of Community Medicine and Practice
ISSN : 2475-9465
Launched : 2014
Annals of Biometrics and Biostatistics
ISSN : 2374-0116
Launched : 2013
JSM Clinical Case Reports
ISSN : 2373-9819
Launched : 2013
Journal of Cancer Biology and Research
ISSN : 2373-9436
Launched : 2013
Journal of Surgery and Transplantation Science
ISSN : 2379-0911
Launched : 2013
Journal of Dermatology and Clinical Research
ISSN : 2373-9371
Launched : 2013
JSM Gastroenterology and Hepatology
ISSN : 2373-9487
Launched : 2013
Annals of Nursing and Practice
ISSN : 2379-9501
Launched : 2014
JSM Dentistry
ISSN : 2333-7133
Launched : 2013
Author Information X