3D-QSAR, Synthesis and Evaluation of Novel Piperidinylaminomethyl Aryl Sulfonamides with Memory Enhancing Activity
- 1. Department of Pharmaceutical Chemistry, NMIMS University, India
- 2. Department of Pharma Chemistry & Pharmacology, Principal K.M. Kundnani College of Pharmacy, India
- 3. Department of Pharmacology and Toxicology, Bombay Veterinary College, India
- 4. Department of Pharma Chemistry, Shri Gurudatta Institute of Pharmacy, India
Abstract
5-HT6 antagonism has been proposed as a promising approach for treating cognitive (memory) impairment associated with neuropsychiatric disorders. Using PHASE programme (Schrodinger-USA) a statistically valid, with good predictability pharmacophore model was developed which was used as a query to search 3D database. Novel piperidinylaminomethyl aryl sulfonamide hits retrieved were studied comparing their in-silico fitness scores, receptor binding affinities (Ki), ADMET properties and were efficiently synthesized via reductive alkylation and reduction type of reactions in good yields. In-silico, in-vitro and in-vivo screening of compound 3g was identified as the most potent and safe memory enhancer 5-HT6 antagonist (Ki = 7.50 nM).
Keywords
5-HT6 ; Cognition; Memory; Phase
Citation
Velingkar V, Chindhe A, Gatane M, Sanaye M, Gadkari Y, et al. (2016) 3D-QSAR, Synthesis and Evaluation of Novel Piperidinylaminomethyl Aryl Sulfonamides with Memory Enhancing Activity. JSM Chem 4(1): 1018.
ABBREVIATIONS
5-HT6 : 5-Hydroxytryptamine 6; ADMET: Absorption Distribution Metabolism Excretion and Toxicity; Ki: Binding Affinity; IPr: Iso Propyl; Ph: Phenyl
INTRODUCTION
The 5-hydroxytryptamine 6 receptor (5-HT6 R) which belongs to the family of 5-HT receptor (5-HT1 -5-HT7 ) is mainly useful in the modulation of various disorders associated with learning, memory [1-3] and feeding behavior [4,5]. 5-HT6 R is a stimulatory G-protein coupled receptor which activates adenyl cyclase. The specific localization of 5-HT6 receptors in CNS and high affinity of antipsychotic and antidepressant drugs have promoted interest in this receptor as a promising target for schizophrenia, anxiety, impairment of learning, memory and obesity [6-13]. Since then, many 5-HT6 R ligands have been reported and some of the clinically advancing molecules include SB-399885, LY483518, SAM-760 and SYN-114 [14,15,25-29]. The present study involved designing of novel class piperidinylaminomethyl aryl sulfonamide derivatives which are not reported earlier as per literature search through computational approach in silico screening, efficient synthesis in-vivo and in-vitro evaluation for cognitive enhancer activity. The results showed high activity of the synthesized derivatives with Ki of 7.50 nM for the most potent compound.
MATERIALS AND METHODS
Designing of piperidinylaminomethyl aryl sulfonamides using phase
Literature survey depicts various highly active aryl sulphonamides based 5-HT6 antagonists in which many compounds showed several fold higher affinity towards the receptor as compared to standard drugs [16, 26-29]. An interest was created to understand the structural features of these compounds responsible for their high affinity towards 5-HT6 receptor which can be helpful for designing potent inhibitors of this receptor.
For pharmacophore generation and atom-based 3D-QSAR analysis, a dataset of 46 compounds shown in (Table 1)
Table 1: Dataset of various 5-HT6 antagonists included in study reported with experimental and predicted activities using developed 3D-QSAR model (26-29).
Table 1: Continued...
Compounds listed in Bold belongs to “Test Set” and rest are “Training Set”
was selected which was carried out using PHASE drug design software (Schrodinger, Inc). [17,25-29]. The computations were done on a Red hat Linux platform with a processor of 2 GHz and memory 512 RAM. PHASE supports various ligand-based drug design approaches like pharmacophore perception, structure alignment, 3D-QSAR and database searching [18]. Using Macro model with OPLS 2005 force field, energy minimization of dataset structures was carried out [19]. Structures minimized were imported in PHASE and appropriate protonation states at physiological pH 7.2 ± 2.0 were assigned to them by LigPrep [20]. Using Mixed MCMM/LMOD with OPLS 2005 force field with distance dependent dielectric solvation treatment, various conformations of prepared structures were generated [21]. Defining Pharma set, compounds with pKi> 9.2 were considered as active, while those with pKi< 7.14 as inactive. Default pharmacophore features in PHASE include hydrogen bond acceptor (A), hydrogen bond donor (D), hydrophobic (H), negative (N), positive (P) and aromatic ring (R). For development of pharmacophore model, these default definitions were used. Finding common pharmacophore, maximum number of sites was set to 5 and minimum to 5. Box size of pharmacophore was adjusted to 2 Å. Active and inactive molecules were scored for a given pharmacophore using default weights of scoring parameters. Top ranking hypotheses were subjected to 3D-QSAR analysis for which grid spacing was 1 Å and maximum PLS factors 6. 33 molecules to training set and 13 molecules to test set were assigned, based on variation in structure and biological activity. Biological activity predicted by 3D-QSAR for the present dataset. The PLS statistics for 3D-QSAR is shown in (Table 2)
|
Table 2: Statistical values for 3D-QSAR model generated by PLS. |
|
|
Training set |
Test set |
|
m = 6 |
- |
|
n = 33 |
- |
|
R2 = 0.98 |
nT = 13 |
|
SD = 0.14 |
Q2 = 0.67 |
|
F = 281.50 |
RMSE = 0.38 |
|
P = 2.28e-22 |
Pearson-R = 0.83 |
|
M: number of PLS factors in the model; n: Number of molecules in the training set; nT: Number of molecules in test set; R2: Coefficient of determination; Q2: R2 for test set; SD: Standard Deviation of regression; RMSE: Root-Mean Squared Error; F: Variance ratio; P: Statistical significance; Pearson-R: Pearson correlation coefficient. |
|
The plot of predicted pKi against experimental is depicted in (Figure 1)

Figure 1: Scatter plot of predicted pKi against experimental pKi for training and test set compounds
3D-QSAR visualization of most active Compound 25 predicted favorable and unfavorable influence on activity with varying substitutions on predicted pharmacophore is shown in (Figure 2: A-C)

Figure 2: 3D-QSAR visualization for compound 25; (A) H-bond donor (B) Hydrophobic (C) Electron-withdrawing (blue cubes: favorable influence on activity; red cubes: unfavorable influence on activity)..
On the basis of ‘Survival’ and ‘Survival-inactive’ scores, the generated pharmacophore hypotheses were evaluated [17]. Top scoring hypothesis AAPR: 10 were selected as the best pharmacophore model for the present dataset of 5-HT6 receptor antagonists. AAPR: 10 consisted of four features: two hydrogen bond acceptors (A), a positive ionisable group (P) and an aromatic ring (R) (Figure 3)

Figure 3: Pharmacophore model AAPR: 10 aligned on best fit compound.
Atom-based 3D-QSAR analysis was performed by PLS based on the alignment of pharmacophore features. Training set comprised of 33 compounds and test set of 13 compounds. Atom-based 3D-QSAR analysis yielded a statistically significant model which predicted activity of test compounds [25].
The developed pharmacophore model AAPR: 10 implicated the role of two hydrogen bond acceptors (A), a positive ionisable group (P) and an aromatic ring (R) in biological activity as 5-HT6 receptor antagonists. The best statistical results generated were Q2 = 0.67, coefficient of determination (R2 ) = 0.98, root-mean squared error (RMSE) = 0.38, Pearson correlation coefficient (Pearson-R) = 0.83 which shown the robustness of the model generated.
The various substitutions were then made on aryl sulphonamide scaffold by maintaining the required pharmacophoric features to create a novel 3D database. The novel 3D database analogues overlaid onto the best pharmacophore hypothesis AAPR. The novel piperidinylaminomethyl aryl sulfonamide analogues exhibited good alignment with the derived pharmacophore model and also predicted in-silico binding affinity (Ki) in nM with the receptor shown in (Table 3)
|
Table 3: In-silico binding affinities (Ki) nM and fitness scores of novel derivatives. |
|||||
![]() |
|||||
|
Ligand |
R1 |
R2 |
R3 |
Fitness |
Ki (nM) |
|
3a |
Ph |
H |
H |
2.05 |
33.58 |
|
3b |
4-F Ph |
H |
H |
2.38 |
25.98 |
|
3c |
4-Br Ph |
H |
H |
2.33 |
14.80 |
|
3d |
4-CH3Ph |
H |
H |
2.32 |
11.82 |
|
3e |
4-Cl Ph |
H |
H |
2.38 |
15.15 |
|
3f |
C2H5 |
H |
H |
2.40 |
18.88 |
|
3g |
iPr |
H |
H |
2.36 |
07.50 |
|
3h |
4-OCH3Ph |
H |
H |
2.12 |
19.94 |
|
3i |
Ph |
CH3 |
H |
2 |
22.67 |
|
3j |
4-Cl Ph |
CH3 |
H |
1.99 |
18.82 |
|
3k |
4-CH3Ph |
CH3 |
H |
1.98 |
17.13 |
|
3l |
Ph |
C2H5 |
C2H5 |
1.99 |
13.89 |
|
3m |
4-Cl Ph |
C2H5 |
C2H5 |
2.40 |
17.20 |
|
3n |
4-OCH3Ph |
C2H5 |
C2H5 |
2.38 |
13.99 |
|
3o |
4-F Ph |
C2H5 |
C2H5 |
2.35 |
18.67 |
|
3p |
4-Br Ph |
C2H5 |
C2H5 |
2.36 |
10.95 |
|
The Ki values were determined through ligand based pharmacophore model development in-silico screening using PHASE-Schrodinger software. Ph: Phenyl; iPr: isopropyl. |
|||||
Admet in-silico screening using QikProp
QikProp-Schrodinger programme predicted the variety of pharmaceutically relevant ADMET properties of novel piperidinylaminomethyl aryl sulfonamide analogues such as octanol/water and water/gas log Ps, log S, log BB, overall CNS activity, cell permeability, human serum albumin binding and log IC50 for K+ channel blockage. The descriptor values were verified with the standard values reported in the literature or recommended values of descriptors shown in (Table 4)
Table 4: QikProp abbreviations and their explanation
|
Property or Descriptor |
Description |
Recommended values |
|
#stars |
Number of property or descriptor values that fall outside the 95% range of similar values for known drugs. The following properties and descriptors are included in the determination of #stars: MW, dipole, SASA, FOSA, FISA,WPSA, PSA, #rotor, donorHB, accptHB, QPpolrz, QPlogPC, QPlogPoct, QPlogPw, QPlogPo/w, logS, QPlogKhsa, QPlogBB |
0 – 5 |
|
SASA |
Total solvent accessible surface area (SASA) in square angstroms using a probe with a 1.4 Å radius |
300.0 – 1000.0 |
|
FOSA |
Hydrophobic component of the SASA (saturated carbon and attached hydrogen). |
0.0 – 750.0 |
|
FISA |
Hydrophilic component of the SASA (SASA on N, O, and H on heteroatoms). |
7.0 – 330.0 |
|
WPSA |
Weakly polar component of the SASA (halogens, P, and S). |
0.0 – 175.0 |
|
donorHB |
Estimated number of hydrogen bonds that would be donated by the solute to water molecules in an aqueous solution. Values are averages taken over a number of configurations, so they can be non-integer. |
0.0 – 6.0 |
|
accptHB |
Estimated number of hydrogen bonds that would be accepted by the solute from water molecules in an aqueous solution. Values are averages taken over a number of configurations, so they can be non-integer. |
2.0 – 20.0 |
|
QPpolrz |
Predicted polarizability in cubic angstroms. |
|
|
QPlogPo/w |
Predicted octanol/gas partition coefficient. |
8.0 – 35.0 |
|
QPlogPw |
Predicted water/gas partition coefficient. |
4.0 – 45.0 |
|
QPlogS |
Predicted aqueous solubility, log S. S in mol dm–3 is the concentration of the solute in a saturated solution that is in equilibrium with the crystalline solid. |
–6.5 – 0.5 |
|
#rotor |
Number of non-trivial (not CX3), non-hindered (not alkene, amide, small ring) rotatable bonds. |
0 – 15 |
|
CNS |
Predicted central nervous system activity on a –2 (inactive) to +2 (active) scales. |
–2 (inactive), +2 (active) |
|
dipole |
Computed dipole moment of the molecule. |
1.0 – 12.5 |
|
QPPCaco |
Predicted apparent Caco-2 cell permeability in nm/sec. Caco-2 cells are a model for the gut-blood barrier. |
<25 poor, >500 great |
|
QPPMDCK |
Predicted apparent MDCK cell permeability in nm/sec. MDCK cells are considered to be a good mimic for the blood brain barrier. |
<25 poor, >500 great |
|
QPlogBB |
Predicted brain/blood partition coefficient. Note: QikProp predictions are for orally delivered drugs so, for example, dopamine and serotonin are CNS negative because they are too polar to cross the blood-brain barrier |
–3.0 – 1.2 |
|
#metabol |
Number of likely metabolic reactions. |
1 – 8 |
|
QPlogKhsa |
Prediction of binding to human serum albumin. |
–1.5 – 1.5 |
|
Human Oral Absorption |
Predicted qualitative human oral absorption. |
1, 2, or 3 for low, medium, or high.
|
|
Percent Human Oral Absorption |
Predicted human oral absorption on 0 to 100% scale. |
>80% is high <25% is poor |
|
PSA |
Van der Waals surface area of polar nitrogen and oxygen atoms. |
7– 200 |
|
Rule of Five |
Number of violations of Lipinski’s rule of five. |
Maximum is 4 |
|
Rule of Three |
Number of violations of Jorgensen’s rule of three. The three rules are: QPlogS > -5.7, QP PCaco > 22 nm/s, # Primary Metabolites < 7. |
maximum is 3 |
It is found that all the novel analogues showed significant values of the properties studied. All the compounds obey Lipinski rule of 5 violations, Jorgensen’s rule of three violations, good oral absorption and lipophilicity. ADMET predictions of representative cmpound 3d shown in (Table 5)
Table 5: ADMET predictions through QikProp of representative novel hit “Compound 3d”
|
Compound “3d” |
|||
|
# stars |
0 |
QP log Pw |
13.923 |
|
# rotor |
6 |
QP log Po/w |
1.312 |
|
CNS |
0 |
QP log S |
-1.071 |
|
MW |
359.485 |
QPP Caco |
43.405 |
|
dipole |
7.607 |
QP log BB |
-0.055 |
|
SASA |
591.068 |
QP PMDCK |
20.594 |
|
FOSA |
248.748 |
# metab |
4 |
|
FISA |
121.498 |
QP log Khsa |
-0.028 |
|
WPSA |
0.7830 |
Human Oral Abs. |
2 |
|
Donor HB |
3 |
% Human Oral Abs |
63.936 |
|
Accpt HB |
7.5 |
PSA |
077.189 |
|
QP polrz |
36.435 |
Rule Of Five |
0 |
|
QP log Poct |
21.091 |
Rule Of Three |
0 |
SYNTHESIS AND RESULTS
All chemicals used in the synthetic experiment were LR grade. Melting points were determined in open capillary tube and are found uncorrected. The completion of organic reactions and purity of the compounds were checked by TLC on pre-coated Silica gel aluminum plates using a mixture of chloroform and methanol (8:2, v/v) as an eluent. UV light or iodine vapor was used for visualization. Infrared (IR) spectra were recorded (in KBr) on a Fourier-transform IR, model IR Affinity-1 (SHIMADZU) and the values are expressed in cm-1. The 1 H NMR spectra were obtained on multinuclear FT NMR Spectrometer, model AdvanceII (Bruker), (400 MHz) using CDCl3 as solvent, Tetramethylsilane (TMS) as an internal standard. The chemical shift values are expressed as ppm (parts per million) units, downfield from TMS. The Multiplicity of the NMR signals are designated as singlet (s), doublet (d), triplet (t), quartet (q), and multiplet (m).
Synthesis of piperidinylaminomethyl aryl sulphona-mides
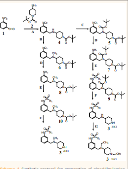
Synthesis of the proposed compounds was achieved as shown in (Scheme 1)

Scheme 1: Synthetic protocol for preparation of piperidinylamino methyl aryl sulfonamides (3a-3p) (A) 1,2-dichloroethane, sodium triacetoxy borohydride, room temperature (RT), 10-15 h (B) formaldehyde, methanol, sodium triacetoxy borohydride, RT, 10-15 h (C) Boc-anhydride, triethylamine (TEA), dichloromethane (DCM), RT, 4-5 h (D) Iron powder, ammonium chloride, ethanol, water, 1000C, 2-3 h (E) R1SO2Cl, TEA, DCM, and potassium hydroxide, methanol, RT, 15-16 h (F) IPA.HCl, DCM, RT, 3-4 h (G) Acetaldehyde, methanol, sodium triacetoxy borohydride, RT, 10-15 h.
In general, piperidinylaminomethyl aryl sulphonamide compounds 3 were prepared by reacting 3-nitrobenzaldehyde 1 with substituted amines 2. Compounds 5, 6 were reduced with iron powder-ammonium chloride to obtain intermediate amines 7, 8. Reaction of these amines with appropriately substituted sulfonyl chlorides using TEA in DCM followed by KOH in methanol conditions afforded compounds [9,10,26]. In-situ deprotection and salt formation of compound 9, 10 with IPA.HCl gave compound 3a-3p with good yields. The compounds were evaluated for their Ki (binding affinity) in nM on 5-HT6 R through ligand based pharmacophore model development in-silico screening using PHASE-Schrodinger software. The Ki values and fitness scores of piperidinylaminomethyl aryl sulfonamides obtained from in-silico screening of 5-HT6 R are given in (Table 2).
N-(3-((piperidin-4-ylamino) methyl) phenyl) benzene sulfonamide hydrochloride (3a)
Molecular formula: C18H23N3 O2 S; Molecular weight: 345.46; Yield: 0.044 g; IR (KBr/cm-1): 3334 (SO2 NH stretching), 2933, 2779, 1151 (SO2 stretching), 1091 (SO2 stretching), 962, 800 (aromatic stretching), 744, 684; 1 H-NMR (DMSO-d6 ): δ 1.86-1.90 (m, 6H, piperidine ring, NH), 2.19-2.23 (m, 5H, piperidine ring, NH), 3.46 (d, 2H, benzylic CH2 ), 7.09-7.30 (m, 4H, aromatic), 7.54- 7.61 (m, 3H, aromatic), 7.82-7.89 (m, 2H, aromatic), 10.52 (s, 1H, NH-SO2 ); Mass (m/z): 346.1 (M+H)+ .
4-chloro-N-(3-((ethyl (1-ethylpiperidin-4-yl) amino) methyl) phenyl) benzenesulfonamide hydrochloride (3m)
Molecular formula: C22H30ClN3 O2 S; Molecular weight: 436.01; Yield: 0.005 g; IR (KBr/cm-1): 3329 (tertiary amine stretching), 3242 (SO2 NH stretching), 3091, 2920, 1666, 1556, 1274 (SO2 stretching), 1195, 970 (aryl Halo stretching), 667 (aromatic stretching); 1 H-NMR (DMSO-d6 ): δ 1.03 (m, 6H, 2CH3 ), 2.13-2.88 (m, 13H, piperidine ring, ethyl CH2 ), 3.78 (s, 2H, benzylic CH2 ), 6.87-7.20 (m, 4H, aromatic), 7.83-7.92 (m, 4H, aromatic), 10.20 (bs, 1H, NH-SO2 ); Mass (m/z): 437.0 (M+H)+ , 438.0 (M+2)+ .
4-bromo-N-(3-((piperidin-4-ylamino) methyl) phenyl) benzene sulfonamide hydrochloride (3c)
Molecular formula: C18H22BrN3 O2 S; Molecular weight: 424.36; Yield: 0.010 g; IR (KBr/cm-1): 3074 (SO2 NH stretching), 2746, 2665, 1161 (aryl Halo stretching) 600; 1 H-NMR (DMSO-d6 ): δ 1.86-1.94 (m, 6H, piperidine ring, NH), 2.20-2.28 (m, 5H, piperidine ring), 3.48 (d, 2H, benzylic CH2 ), 7.06-7.08 (m, 1H, aromatic), 7.29-7.32 (m, 2H, aromatic), 7.70-7.79 (m, 5H, aromatic), 10.60 (s, 1H, NH-SO2 ); Mass (m/z): 424.0, 426.0 (M+2)+ .
4-fluoro-N-(3-((piperidin-4-ylamino) methyl) phenyl) benzene sulfonamide hydrochloride (3b)
Molecular formula: C18H22FN3 O2 S; Molecular weight: 363.45; Yield: 0.052 g; IR (KBr/cm-1): 3406 (SO2 NH stretching), 2920, 2714, 617.
4-methyl-N-(3-((piperidin-4-ylamino) methyl) phenyl) benzene sulfonamide hydrochloride (3d)
Molecular formula: C19H25N3 O2 S; Molecular weight: 359.49; Yield: 0.052 g; IR (KBr/cm-1): 3259 (SO2 NH stretching), 2931, 2711, 1477, 1350 (SO2 stretching), 1157, 1091 (SO2 stretching), 705 (aromatic stretching).
4-chloro-N-(3-((piperidin-4-ylamino) methyl) phenyl) benzene sulfonamide hydrochloride (3e)
Molecular formula: C18H22ClN3 O2 S; Molecular weight: 379.90; Yield: 0.050 g; IR (KBr/cm-1): 3402 (SO2 NH stretching), 2920, 2719, 1450, 1288 (SO2 stretching), 1091 (aryl Halo stretching), 972 (aromatic stretching), 663; Mass (m/z): 380.17 (M+H)+ , 381.1 (M+2)+ .
N-(3-((piperidin-4-ylamino) methyl) phenyl) ethane sulfonamide hydrochloride (3f)
Molecular formula: C14H23N3 O2 S; Molecular weight: 297.42; Yield: 0.051 g; IR (KBr/cm-1): 3437, 3375 (SO2 NH stretching), 2939, 2816, 1597, 1431, 1315 (SO2 stretching), 1141 (SO2 stretching), 902 (aromatic stretching), 783.
N-(3-((piperidin-4-ylamino) methyl) phenyl) propane-2-sulfonamide hydrochloride (3g)
Molecular formula: C15H25N3 O2 S; Molecular weight: 311.44; Yield: 0.011 g; IR (KBr/cm-1): 3377 (SO2 NH stretching), 2939, 2794, 2723 (SO2 stretching), 1593 (SO2 stretching), 1454, 1309, 1134, 698 (aromatic stretching); Mass (m/z): 312.2 (M+H)+ .
4-methoxy-N-(3-((piperidin-4-ylamino) methyl) phenyl) benzene sulfonamide hydrochloride (3h)
Molecular formula: C19H25N3 O3 S; Molecular weight: 375.49; Yield: 0.016 g; IR (KBr/cm-1): 3097 (SO2 NH stretching), 2920, 2708, 2357, 1595, 1311 (SO2 stretching), 1249, 1153 (SO2 stretching), 952 (aromatic stretching), 663.
N-(3-((methyl (piperidin-4-yl) amino) methyl) phenyl) benzenesulfonamide hydrochloride (3i)
Molecular formula: C19H25N3 O2 S; Molecular weight: 359.49; Yield: 0.005g; IR (KBr/cm-1): 3358 (SO2 NH stretching), 2964, 2650, 1585 (SO2 stretching), 1471, 1340 (SO2 stretching), 1163, 1091 (SO2 stretching), 758 (aromatic stretching), 626.
4-chloro-N-(3-((methyl (piperidin-4-yl) amino) methyl) phenyl) benzenesulfonamide hydrochloride (3j)
Molecular formula: C19H24ClN3 O2 S; Molecular weight: 393.93; Yield: 0.006g; IR (KBr/cm-1): 2970, 2719, 2646, 1469, 1165 (aryl Halo stretching), 1091, 705 (aromatic stretching).
4-methyl-N-(3-((methyl (piperidin-4-yl) amino) methyl) phenyl) benzenesulfonamide hydrochloride (3k)
Molecular formula: C20H27N3 O2 S; Molecular weight: 373.51; Yield: 0.004g; IR (KBr/cm-1): 3367 (SO2 NH stretching), 2924, 2723, 1595, 1458, 1332, 1153 (SO2 stretching), 1089, 750, 698, 659 (aromatic stretching).
N-(3-((ethyl (1-ethylpiperidin-4-yl) amino) methyl) phenyl) benzenesulfonamide hydrochloride (3l)
Molecular formula: C22H31N3 O2 S; Molecular weight: 401.57; Yield: 0.006g; IR (KBr/cm-1): 3143 (SO2 NH stretching), 2904, 1674, 1550, 1280 (SO2 stretching), 1033, 597(aromatic stretching), Mass (m/z): 402.3 (M+H)+
N-(3-((ethyl (1-ethylpiperidin-4-yl) amino) methyl) phenyl)-4-methoxybenzenesulfonamide hydrochloride (3n)
Molecular formula: C23H33N3 O3 S; Molecular weight: 431.59; Yield: 0.008g; Mass (m/z): 432.3 (M+H)+ .
N-(3-((ethyl (1-ethylpiperidin-4-yl) amino) methyl) phenyl)-4-fluorobenzenesulfonamide hydrochloride (3o)
Molecular formula: C22H30FN3 O2 S; Molecular weight: 419.56; Yield: 0.004g; Mass (m/z): 420.2 (M+H)+ .
4-bromo-N-(3-((ethyl (1-ethylpiperidin-4-yl) amino) methyl) phenyl) benzenesulfonamide hydrochloride (3p)
Molecular formula: C22H30BrN3 O2 S; Molecular weight: 480.46; Yield: 0.006 g; Mass (m/z): 481.2 (M+H)+ , 482.1 (M+2)+ .
PHARMACOLOGY
Preliminary in-vivo toxicological evaluation
The prepared test compound 3g solution was administered to 6 Albino mice (3 females + 3 males) weighing in the range of 20- 25 gm, at a dose of 2000 mg/kg. The mice were critically observed for clinical signs, gross behavioral changes and mortality if any, following the administration of the test formulation at different time intervals like 30 min, 1 hr, 2 hrs, 4 hrs, 24 hrs, 48 hrs and 72 hrs up to a period of 14 days. The study was carried out according to OECD guidelines No.423.The institution’s animal house is registered with Govt. Of India, having registration No.25/1999/ CPCSEA and conforms to the Indian National Science Academy guidelines for the use and care of experimental animal research. All experimental protocols involving animal studies were placed before the Institutional Animal Ethics Committee. The committee granted approval after carefully reviewing the research project.
In acute toxicity study, oral administration of representative test compound 3g at the dose up to 2000 mg/kg did not reveal any signs of toxicity, behavioral changes or mortality in male and female mice so those were found to be safe.
Elevated plus maze in-vivo animal model for cognition (22
) It is used to evaluate learning and memory in mice. The elevated plus maze for mice consisted of two open arms (25 cm×5 cm) and two covered arms (25 cm×5 cm×14 cm) extended from a central platform (5 cm×5 cm), and the maze was elevated to a height of 25 cm from the floor. The standard, test sample (3g) were administered orally to the respective groups for 8 consecutive days, whereas toxicant scopolamine (0.4 mg/kg i.p.) was administered 90 min after the administration of the last dose on 8th day. The animals were exposed to the training session after 45 min of scopolamine administration. In training session each mouse was placed at the end of an open arm, facing away from central platform and time taken by the animal to move from open arm into one of the covered arms with all its four legs was measured in terms of Transfer Latency (TL) for each animal. The mouse was allowed to explore the maze for another 2 min and then returned to its home cage. Retention of this learned-task was evaluated after 24 hrs in terms of TL i.e. on the 9th day and animals were humanely sacrificed by cervical dislocation for isolation of brain. Isolated brains were washed with saline (0.9%) and were homogenized in ice cold phosphate buffer for estimation of acetyl choline esterase activity by Ellman Method [24]. In groups treated with test compound 3g (10 mg/kg and 30 mg/kg) significant (p<0.001) decrease in transfer latency was observed as compared to toxicant group shown in (Figure 4)

Figure 4: Effect of test compound on Transfer latency in elevated plus maze model in mice. • The “X-axis” represents the number of groups treated • The “Y-axis” represents transfer latency in seconds • Each column represents the mean of six readings (n=6) • Vertical bars on each column represents standard errors
Passive avoidance paradigm in-vivo animal modelfor cognition (23)
It is used to evaluate long term memory in mice and based on negative reinforcement. The apparatus consisted of a box (27 cm×27cm×27 cm) having three walls of plastic and front wall of plexi glass, featuring a grid floor (made up of 3 mm stainless steel rods set 8 mm apart), with a wooden platform (10 cm×7 cm×1.7 cm) in the centre of the grid floor. Electric shock 6 mA was delivered to the grid floor. The standard, test samples (3g) were administered orally to the respective groups for 8 consecutive days, whereas toxicant scopolamine hydrobromide (0.4 mg/ kg i.p.) was administered 90 min after the administration of the last dose on 8th day. The animals were exposed to the training session after 45 min of scopolamine hydro bromide (0.4 mg/kg i.p.) administration. Training (i.e. 8th day of drug treatment) was carried out in two similar sessions. Each mouse was gently placed on the wooden platform set in the centre of the grid floor. When the mouse stepped-down placing all its paws on the grid floor, shocks were delivered for 15 sec and the step-down latency (SDL) was recorded. SDL was defined as the time (in seconds) taken by the mouse to step down from the wooden platform to grid floor with its paws on the grid floor. Animals showing SDL in the range of 2–15 seconds during the first test were used for the second session and the retention test. The second session was carried out 90 min after the first test. During second session, if the animals stepped down before 60 sec, electric shocks were delivered once again for 15 sec. During the second test, animals were removed from shock free zone, if they did not step down for a period of 60 sec and were subjected to retention test. Retention memory was tested after 24 hrs (i.e. 9th day, 24 hrs after last dose) in a similar manner, except that the electric shocks were not applied to the grid floor observing an upper cut-off time of 300 sec and immediately animals in all the groups were humanely sacrificed by cervical dislocation using ether.
In groups treated with test compound 3g (10 mg/kg and 30 mg/kg) significant (p<0.001) increase in step down latency was observed as compared to toxicant group shown in (Figure 5)

Figure 5 Effect of test compound on Step down latency in passive avoidance paradigm model in mice.
• The “X-axis” represents the number of groups treated
• The “Y-axis” represents step down latency in seconds • Each column represents the mean of six readings (n=6)
• Vertical bars on each column represents standard errors
Acetyl cholinesterase (AchE) in-vitro assay for cognition (24)
AChE enzyme has been potential target for prevention and treatment of cognition.
0.4 ml of tissue homogenate was added to a cuvette containing 2.6 ml of phosphate buffer (pH 7.4, 0.1 M).
• Then DTNB reagent (100 μ1) was added to the cuvette. The absorbance was measured at 412 nm; when it stopped increasing, the photometer slit was opened so that the absorbance was set to zero, then acetylthiocholine (20 μl) was added. Changes in absorbance were recorded and the change in absorbance every minute for a period of 3min was calculated.
• The rates of enzyme activity were calculated as follows:
Where,
R = Rate in moles substrate hydrolyzed per min per g of tissue
ΔA = Change in absorbance per min Co = Original concentration of tissue (mg/ml)
The results of nootropic activity are expressed as mean ± SD from 6 animals in each group. Results were statistically analyzed using one-way ANOVA followed by Dunnet’s test; P < 0.05 was considered significant. GraphPad InStat version 4.00 of Graph Pad Software Inc., San Diego, USA was the software used for statistical techniques. Test compound 3g treatment inhibited AChE activity in the brain significantly (p<0.001) when compared to toxicant control.
The effects of test compound on AChE inhibition were comparable to standard Piracetam treatment suggesting the anticholinesterase inhibitory activity of test compounds which might be the probable mechanism for its memory enhancing activity shown in (Figure 6)

Figure 6: Effect of Test compound on Acetyl cholinesterase level in mice.
• The “X-axis” represents the number of groups treated
• The “Y-axis” represents Acetyl cholinesterase level in n mole/ min/g tissue
• Each column represents the mean of three readings (n=3)
• Vertical bars on each column represents standard errors
RESULTS
The present research work has been carried out for pharmacophore modeling and 3D-QSAR studies of some potent aryl sulphonamide and sulfone based 5-HT6 receptor antagonists. The potential 5-HT6 receptor antagonists, AAPR: 10 were used as a query for screening novel database. Finally, 16 hits recovered by scaffold-hopping offer structurally varied molecules as potential 5-HT6 receptor antagonists. Thus, pharmacophore model, 3D-QSAR, in-silico screening and ADME studies of retrieved hits presented in this paper is hoped to be a primer towards the pharmacophore model AAPR: 10 implicated the role of two hydrogen bond acceptors (A), a positive ionisable group (P) and an aromatic ring (R) in biological activity. Moreover, further use of contemporary experimental and computational techniques to data presented here may widen its scope and applicability.
CONCLUSION
Novel, potent and safe piperidinylaminomethyl aryl sulfonamides as 5-HT6 receptor antagonists have been designed using ligand based computational drug designing approach and evaluated their binding affinities, ADMET profiling by insilico screening. An efficient synthesis of these derivatives has been carried out in good yields. Memory enhancing activity and toxicity were evaluated by in-vitro assay, in-vivo animal models screening. Compound 3g was found to be significantly effective in animal models of memory paradigm confirming the memory enhancing properties of the series. Further development and SAR modifications to improve the overall pharmacokinetics are in progress
ACKNOWLEDGEMENTS
The authors are indebted to Department of Biotechnology (DBT), New Delhi, India for financial support and grateful to Prin. K. M. Kundanani College of Pharmacy, Cuffe Parade and Mumbai for providing splendid infrastructural facilities.
REFERENCES
- Rossé G, Schaffhauser H. 5-HT6 receptor antagonists as potential therapeutics for cognitive impairment. Curr Top Med Chem. 2010; 10: 207-221.
- Liu KG, Robichaud AJ. 5-HT6 medicinal chemistry. Int Rev Neurobiol. 2010; 94: 1-34.
- Ivachtchenko AV, Ivanenkov YA, Tkachenko SE. 5-hydroxytryptamine subtype 6 receptor modulators: a patent survey. Expert Opin Ther Pat. 2010; 20: 1171-1196.
- Heal D, Gosden J, Smith S. The 5-HT6 receptor as a target for developing novel antiobesity drugs. Int Rev Neurobiol. 2011; 96: 73-109.
- Heal D, Smith S, Fisas A, Codony X, Buschmann H. Selective 5-HT6 receptor ligands: progress in the development of a novel pharmacological approach to the treatment of obesity and related metabolic disorders. Pharmacol Ther. 2008; 117: 207-231.
- Witty D, Ahmed M, Chuang TT. Advances in the design of 5-HT6 receptor ligands with therapeutic potential. Prog Med Chem. 2009; 48: 163-224.
- Hirano K, Piers TM, Searle KL, Miller ND, Rutter AR, Chapman PF. Procognitive 5-HT6 antagonists in the rat forced swimming test: potential therapeutic utility in mood disorders associated with Alzheimer's disease. Life Sci. 2009; 84: 558-562.
- Emsley R. Drugs in development for the treatment of schizophrenia. Expert Opin Investig Drugs. 2009; 18: 1103-1118.
- Geldenhuys WJ, Van der Schyf CJ. The serotonin 5-HT6 receptor: a viable drug target for treating cognitive deficits in Alzheimer's disease. Expert Rev Neurother. 2009; 9: 1073-1085.
- Geldenhuys WJ, Van der Schyf CJ. Serotonin 5-HT6 receptor antagonists for the treatment of Alzheimer's disease. Curr Top Med Chem. 2008; 8: 1035-1048.
- Fone KC. An update on the role of the 5-hydroxytryptamine6 receptor in cognitive function. Neuropharmacology. 2008; 55: 1015-1022.
- Rodefer J, Nguyen T, Karlsson J, Arnt J. Reversal of subchronic PCP-induced deficits in attentional set shiftingin rats by sertindole and a 5-HT6 receptor antagonist: comparison among antipsychotics. J Neuropsychopharmacol. 2008; 33: 2657-2666.
- Jones CA, McCreary AC. Serotonergic approaches in the development of novel antipsychotics. Neuropharmacology. 2008; 55: 1056-1065.
- Synosis Therapeutics. 2008.[OS1]
- Jörg H, Petrus J, José L, Ramon M, Xavier C, Helmut B. Medicinal chemistry strategies to 5-HT6 receptor ligands as potential cognitive enhancers and antiobesity agents. Drug Discov Today. 2006; 11: 283-299.
- Liu KG, Robichaud AJ. 5-HT6 medicinal chemistry. Int Rev Neurobiol. 2010; 94: 1-34.
- Schrödinger. New York. 2009; 7.
- Dixon SL, Smondyrev AM, Knoll EH, Rao SN, Shaw DE, Friesner RA. PHASE: a new engine for pharmacophore perception, 3D QSAR model development, and 3D database screening: 1. Methodology and preliminary results. J Comput Aided Mol Des. 2006; 20: 647-671.
- MacroModel 9.7. Schrödinger. New York, NY. 2009; 11.
- LigPrep 2.3. Schrödinger. New York. 2009; 12.
- La Regina G, Silvestri R, Artico M, Lavecchia A, Novellino E, Befani O, et al. New pyrrole inhibitors of monoamine oxidase: synthesis, biological evaluation and structural determinants of MAO-A and MAO-B selectivity. J Med Chem. 2007; 50: 922-931.
- Parle M, Vasudevan M. Memory enhancing activity of abana: an Indian ayurvedic poly-herbal formulation. Journal of health science. 2007; 53: 43-52.
- Joshi H, Parle M. Zingiber Officinale: Evaluation of its nootropic effect in mice. Afr J Trad Cam. 2006; 3: 64-74.
- Ellman G, Diane K, Valentino A, Robert M. A new and rapidcolorimetric determination of acetylcholinesterase activity. Biochem Pharmacol. 1961; 7: 88-95.
- Velingkar V, Chindhe A. Ligand based pharmacophore generation and 3D-QSAR study of serotonin ligands using PHASE. J Comput Methods Mol Design. 2014; 4: 1-9.
- Nirogi RV, Daulatabad AV, Parandhama G, Mohammad S, Sastri KR, Shinde AK, et al. Synthesis and pharmacological evaluation of aryl aminosulfonamide derivatives as potent 5-HT (6) receptor antagonists. Bioorg Med Chem Lett. 2010; 20: 4440-4443.
- Holenz J, Pauwels PJ, Díaz JL, Mercè R, Codony X, Buschmann H. Medicinal chemistry strategies to 5-HT (6) receptor ligands as potential cognitive enhancers and antiobesity agents. Drug Discov Today. 2006; 11: 283-299.
- Kevin G, Albert L, Robichaud J. 5-HT6 antagonists as potential treatment for cognitive dysfunction. Drug Dev Res, 2009; 70: 145-168.
- Kevin G, Albert. 5HT6 medicinal chemistry. Int Rev Neurobiol. 2010; 94; 1-34.
[OS1]Check spelling





























