Analgesic and Antioxidant Activity of Crude Extracts and Isolated Fractions of Aerial Parts of Hedera helix L
- 1. Centre for Phytomedicine and Medicinal Organic Chemistry, Institute of Chemical Sciences, University of Peshawar, Peshawar, Pakistan
- 2. Gandhara College of Pharmacy, Gandhara University, Pakistan
- 3. H.E.J. Research Institute of Chemistry, International Center of Chemical and Biological Sciences, University of Karachi, Pakistan
Abstract
The current study was designed to estimate the antinociceptive and free radical scavenging effect of aerial parts of Hedera helix. Acetic acid abdominal constriction test was used for the assessment of antinociceptive activity of extract/fractions of the aerial parts of the plant in mice. The results showed profound anti-nociceptive effects of crude extract which was strongly supported by fractions of the plant except hexane fraction. Similarly, the extract/fractions of the plant provoked significant quenching effect against DPPH, free radical except hexane fraction. In conclusion, our study provided scientific foundation for the traditional uses of the plant as analgesic.
Keywords
Hedera helix;Aerial parts;Antinociceptive;Antioxidant
Citation
Rauf A, Uddin G, Khan H, Siddiqui BS, Arfan M, et al. (2014) Analgesic and Antioxidant Activity of Crude Extracts and Isolated Fractions of Aerial Parts of Hedera helix L. JSM Chem 2(2): 1012.
ABBREVIATIONS
DPPH: Diphenylpicrylhydrazyl; NMRI: Naval Medical Research Institute; RSA: Radical Scavenging Activities; ANOVA: Analysis of Variance; SEM: Structural Equation Modeling
INTRODUCTION
Hedera helix L. is commonly known as ivy or English ivy, which belongs to the family Araliaceae. The fresh leaves and fruits of H. helix are toxic and causes gastrointestinal irritation, bloody diarrhea and even death [1]. This plant causes contact dermatitis [2]. The extracts of H. helix possess antibacterial [3], antihelmintic [4], leishmanicidic [5], in vitro antispasmodic [6], antifungal [7], acute and chronic anti-inflammatory [8] activities. The pet-ether extract of H. helix possess significant anticancer activity [9]. The leaves of H. helix are used to relief from the pain in traditional system of treatment.
Phytochemical investigations led to the isolation of various triterpene, saponins from the fruits of the plant [10]. Various phenolic compounds such as flavonols, caffeoylquinic acids and saponins like hederacoside C, α-hederin, hederagenin were also isolated from the plant with significant antispasmodic activity [11].
While considering the traditional uses of the plant in the treatment of painful conditions, the current study was designed to evaluate the anti-nociceptive effect of the crude extract of whole plant H. helix and subsequent solvent fractions in acetic acid induced writhing test and followed by free radical scavenging potential against DPPH.
MATERIALS AND METHODS
Hedera helix whole plant was collected from Swat, Khyber Pakhtunkhwa (KPK) province of Pakistan in the month of February, 2009. The plant was identified by Prof. Dr. Abdur Rahsid, Department of Botany, University of Peshawar, Peshawar, KPK, Pakistan and a Voucher specimen No Bot (634) was deposited at the herbarium of the above mentioned department.
Extraction and fractionation
The whole plant was dried at room temperature for 15 days. The dried plant material was crushed to fine powder. The powdered material was soaked in methanol for 5 days. The extract was concentrated under vacuum at 40o C, using a rotavapor. This crude extract was suspended in water and successively partitioned with hexane, chloroform and ethyl acetate to afford the corresponding fractions.
Animal used
BALB/c (18-22 g) mice of either sex were used in the current study.
Acetic acid induced writhing test
The analgesic activity of the crude extract and subsequent solvent fractions of H. helix was carried in NMRI mice (18–22 g) of either sex. The animals were divided into various groups (n=6). The group I and II were injected with normal saline (10 ml/kg, i.p.) and diclofenac (5 and 10 mg/kg, i.p.), while the remaining groups were treated with the extract/fractions of the plant (50 and 100 mg/kg, i.p.) after the above treatment animals were injected i.p. with acetic acid (1%). The abdominal constriction (writhing) was counted for 10 min after 5 min of acetic acid injection [12].
Free radical scavenging assay
The antioxidant activity of the crude extract and subsequent solvent fractions of H. helix was performed by DPPH radical scavenging assay [13,14]. The hydrogen atom or electron donation abilities of the corresponding extracts/fractions were measured from the bleaching of the purple-colored methanol solution of 2, 2-diphenyl-1-picrylhydrazyl (DPPH). Briefly, a 1 mM solution of DPPH radical solution in methanol was prepared and 1 ml of this solution was mixed with 3 ml of sample (extracts/ fractions) solutions in methanol (containing 10-100 µg/ml) and control (without sample). The solution was stand for 30 min, in dark the absorbance was measured at 517 nm. Decreasing of the DPPH solution absorbance indicates an increase of the DPPH radical-scavenging activity. Experiments were carried out in triplicate. Scavenging of free radical (DPPH) as percent radical scavenging activities (%RSA) was calculated as follows.
% DPPH = (OD control – OD sample) X 100 / OD control
Where, OD control is the absorbance of the blank sample, and OD sample is the absorbance of samples or standard sample.
Statistical analysis
Data are reported as mean ± SEM (n=6). One-way ANOVA was used for comparison test of significant differences among groups followed by Dunnet’s multiple comparison post test. A level of significance (P < 0.05 or 0.01) was considered for each test.
Table 1.1: % scavenging effect of the different fractions and crude extract.
| Concentration in 100µg/ml | % of scavenging effect |
| Crude extract | 84.88% |
| Chloroform fraction | 80.55% |
| Ethyl acetate fraction | 55.10% |
| Aqueous fraction | 55.7% |
| n-hexane fraction | No significant effect |
Table 1.2: showing the % pain reduction effect of different fractions 50mg/kg, and 100mg/kg by weight.
| fractions | % antinociceptive effect of 50mg/kg |
% antinociceptive effect of 100mg/kg |
| Crude extract | 33.44 | 55.90 |
| Chloroform fraction |
48.71 | 65.70 |
| Ethylacetate fraction |
40.76 | 59.76 |
| Aqueous fraction |
50.77 | 77.71 |
| n-hexane fraction |
No significant effect |
RESULTS AND DISCUSSION
Effect of extract/fractions in acetic acid induced writhing test
The results of the crude extract and subsequent solvent fractions of H. helix in acetic acid induced writhing test are presented in (Figure 1)

Figure 1: Percent antinociceptive effect of aerial parts of H. helix in acetic acid induced writhing test [A] crude extract, [B] hexane, [C] chloroform, [D] ethyl acetate, [E] aqueous fractions and [F] diclofenac. Data are reported as mean ± SEM (n=6). The data were analyzed by ANOVA followed by Dunnett’s test
The crude extract provoked 33.33 and 55.90% pain reduction at 50 and 100 mg/kg i.p. respectively (Figure 1A). When fractionated, the hexane fraction of plant did not produce significant reversal of induced pain (Figure 1B). The chloroform fraction of the plant exhibited prominent pain inhibition with 48.71 and 65.70% at 50 and 100 mg/kg i.p. respectively (Figure 1C). In case of ethyl acetate fraction, significant activity was observed with 40.76 and 59.76% at 50 and 100 mg/kg i.p. respectively (Figure 1D). The aqueous fraction elicited most profound effect with 50.77 and 70.71% blockade of noxious stimulation at 50 and 100 mg/kg i.p. respectively (Figure 1E). Nevertheless, the standard drug, diclofenac, produced most dominant effect with 71.66 and 88.99% pain inhibition at 5 and 10 mg/kg i.p. respectively.
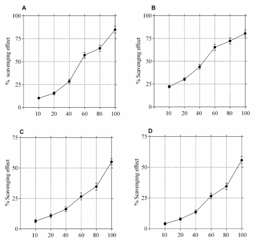
Effect of extract/fractions on DPPH free radical
The results of scavenging effect of extract/fractions of H. helix against DPPH free radical at various concentrations are illustrated in (Figure 2)

Figure 2: DPPH radical scavenging activities (%) of various solvent extract of aerial parts of H. helix. [A] crude extract, [B] chloroform fraction, [C] ethyl acetate fraction, and [D] aqueous fraction. Data are shown as mean of three different experiments
The crude extract had concentration dependent quenching effect against DPPH with maximum effect of 84.88% at 100 µg/ml (Figure 2A). Upon fractionation, hexane did not produce any effect. The chloroform fraction illustrated marked scavenging effect in concentrations dependant manner with maximum effect (80.55%) at 100 µg/ml (Figure 2B). The ethyl acetate and aqueous fraction also showed significant effect in a concentrations dependent manner with maximum scavenging effect of 55.10% and 55.74% respectively at 100 µg/ ml (Figure 2C&D).
DISCUSSION
The current study was aimed to evaluate the antinoceptive effect of extract/fractions of H. helix in acetic acid induced writhing test followed by scavenging profile against stable free radical, DPPH.
Acetic acid-induced abdominal constriction test is often used for the assessment of peripherally acting drugs. The acetic acid induct pain by liberating endogenous substances as well as some others pain mediators such as arachidonic acid via cyclooxygenase and prostaglandin biosynthesis [15,16]. Writhing was constriction of the abdominal muscles accompanied by an extension of the forelimbs and elongation of the body [17]. The results of our study showed marked antinoceptive activity of extract/fractions of the plant in acetic acid induced writhing test. Therefore, it can be assumed that extract/fractions of the plant possess pharmacologically active secondary metabolites that intervene with the release of noxious stimulants and thus produced significant antinociceptive effect.
Free radicals are generated in Bio-organic redox processes, may induce oxidative damage in various components of the body (e.g., lipids, protein and nucleic acids) and may also be involved in processes leading to the formation of mutations. Furthermore, radical reactions play a significant role in the development of life threatening chronic diseases such as cancer, hypertension, cardiac infarction, arteriosclerosis, rheumatism, cataracts and others [14,18]. Antioxidants from natural sources play a paramount role in helping endogenous antioxidants to neutralize oxidative stress. Several epidemiological, clinical and experimental data suggest that plant based antioxidants have beneficial effects to prevent on chronic diseases [19]. As a result, there has been a keen interest in evaluating the role bioactive constituents from medicinal plants in reducing the risk of the aforesaid diseases. Our study showed marked scavenging effect of extract/fractions of H. helix against DPPH. It is therefore suggested that the bioactive secondary metabolites of the plant also have antioxidant potential and the plant need to be investigate for further phytochemical studies.
CONCLUSION
The crude extract and the subsequent sub fractions from the aerial parts of the plant Hydera helix L. exhibited significant antinociceptive and free radical scavenging effect on in-vivo model .Therefore our study validated a scientific basis for the traditional approach of the plant as analgesic. However, bioassay-guided isolation studies is an essential way to identify therapeutically active chemical constituents against a particular target or against various diseases for the discovery of the lead molecule which further use in drug designing process.
ACKNOWLEDGEMENTS
We are thankful to Higher Education Commission Pakistan for the financial assistance and department of Chemical Sciences, University of Peshawar for providing all the required research facilities.