Loading

JSM Chemistry

Synthesis and Characterization of Pyridine Transition Metal Complexes of Ni (II), Cu (I) and Ag (I)

Research Article | Open Access | Volume 10 | Issue 1

  • 1. Department of Pure and Applied Chemistry, University of Calabar, Nigeria
+ Show More - Show Less
Corresponding Authors
Glory Edoho Udoh, Department of Pure and Applied Chemistry, University of Calabar, Calabar, Cross River State, Nigeria
Abstract

The complexes of Ni (II), Ag (I) and Cu (I) have been synthesized using pyridine as ligand. The three complexes have been characterized by melting point determination, solubility test in different solvents, physical state, colour and molar conductance. Pyridine is a mono-dentate ligand. The structure of the complexes has been confirmed by elemental analysis, its study revealed that the metal complexes seem not to undergo any form of decomposition when stored for a long period in the reagent bottles except for Ag (I) complex which is photosensitive while the other complexes Ni (II) and Cu (I) were not air sensitive and were handled with ease. The melting point of the complexes was relatively high ranging from 80 – 172 OC and the reason for its high melting point may be due to the formation of a stable oxidation state as in the case of Ni (II) with a d8 configuration. The Coordination compounds were prepared by the reaction of pyridine ligand with metal salts and the compositions of the complexes by the elemental analysis are recorded together in tables.

CITATION

Udoh GE, Ikenna K, Effiong B, Duke OEE (2023) Synthesis and Characterization of Pyridine Transition Metal Complexes of Ni (II), Cu (I) and Ag (I). JSM Chem 10(1): 1063.

INTRODUCTION

Pyridine is a basic heterocyclic organic compound with the chemical formula C5H5N. It is structurally related to benzene, with the methyl group (=CH-) replaced by a nitrogen atom as displayed in figure 1. The pyridine may occur in many important compounds, including azines and the vitamins niacin and pyridoxal (Figure 1 and 2).

Structure of pyridine.

Figure 1: Structure of pyridine.

Orbital structure of pyridine.

Figure 2: Orbital structure of pyridine.

Pyridine was discovered in 1849 by the Scottish Chemist, Thomas Anderson as one of the constituents of bone oil. Two years later, Anderson isolated pure pyridine through fractional distillation of the oil. It is colourless, highly flammable, weakly alkaline, water soluble liquid with a distinctive fish like odour.

Pyridine is used as a precursor to agrochemical and pharmaceuticals and is also an important solvent and reagent. Pyridine is added to ethanol to make it unsuitable for drinking. It is used in the Vitro Synthesis of DNA, in the synthesis of sulpha-pyridine (a drug against bacterial and viral infection), antihistaminic, drugs tripelennamine and mepyramine, as well as water repellents, bactericides and herbicides. Some chemical compounds although not synthesized from pyridine, contain its ring structure. They include B vitamins niacin and pyridoxal and other nitrogen containing plant products [1].

Historically, pyridine was produced from coal tar as a by product of the coal gasification. However, increased demand for pyridine resulted in the development of more economical methods of synthesis from acetaldehyde and ammonia, and more than 20,000 tons per year are manufactured worldwide [2]

Pyridine is miscible with water and virtually all organic solvents. It is weakly basic, and with hydrochloric acid it forms a crystalline hydrochloride salt that melts at 145-147 OC. Most chemical properties of pyridine are typical of a hetero aromatic compound. In organic reactions, pyridine behaves both as a tertiary amine, undergoing protonation, alkylation, acylation and N-oxidation at the nitrogen atom, and as an aromatic compound, undergoing nucleophilic substitutions.

Because of the electronegative nitrogen in the pyridine ring, the molecule is relatively electron deficient. Is therefore, enters less readily electrophilic aromatic substitution reactions, which are characteristics of benzene derivatives. However, unlike benzene and its derivatives, pyridine is more prone to nucleophilic substitution and metalation of the ring by strong organometallic bases [3].

The reactivity of pyridine can be distinguished for three chemical groups, with electrophiles; the electrophilic substitution takes place where pyridine expresses aromatic properties. With nucleophilic, pyridine reacts via its 2nd and 4th carbon atoms and thus behaves similar to Imines and carbonyls. The reaction with many Lewis acids results in the addition to the nitrogen atom of Pyridine, which is similar to the reactivity of tertiary amines. The ability of pyridine and its derivatives to oxidize, forming amine oxides, is also a feature of tertiary amines. The nitrogen center of pyridine features a basic lone pair of electrons, because this lone pair is not part of the aromatic ring. (Figure 3).

1, 10 - Phenanthroline.

Figure 3: 1, 10 - Phenanthroline.

Pyridine has a conjugated system of six pi-electrons that are delocalized over the ring. The molecule is planar and thus, follows the Huckel criteria for aromatic systems. In contrast to benzene, the electron density is not evenly distributed over the ring, reflecting the negative inductive effects of the nitrogen atom. For this reason, pyridine has a dispose moment and weaker resonance stabilization than benzene (resonance energy 117 kgmol-1 in pyridine vs 150 kg mol-1 in benzene). The electron localization in pyridine is also reflected in the shorter C-N ring bond (137 pm for C-C bond in benzene), whereas, the carbon – carbon bonds in the pyridine ring have the same 139 pm lengths as in benzene. These bond lengths lie between the values for the single and double bonds and are typical for aromatic compounds [4].

All the atoms in the pyridine ring molecule are SP2- hybridized and forms sigma bonds adjacent atoms having ? 120o bond angle, each atom in pyridine has a p-orbital orthogonal to the ring, and they undergo delocalization to form a six-electron cyclic loop as in benzene. The lone pair of electrons on Nitrogen is in sp2 orbital in the place of the ring, and it is not part of the π system. (Figure 4).

Resonance Structure of pyridine.

Figure 4: Resonance Structure of pyridine.

The nitrogen atom “donates’’ its three hybridized electron pair lies in the molecule plane, projecting outward, in the plane of the ring. This lone pair does not contribute to the aromatic system but importantly influences the chemical properties of pyridine, as it easily supports bond formation via an electrophilic attack.

However, because of the separation of the lone pair from the aromatic system of the ring effects, the nitrogen atom cannot exhibit a positive mesomere effect [4].

In chemistry, a Coordination complex or metal complex consists of a central atom or ion, which is usually metallic and is called the coordination centre, and a surrounding array of bound molecules or ions, that are in turn known as ligands or complexing agents. Many metal containing compounds especially those of transition metals are coordination complexes [5].

As a ligand and Lewis Base, pyridine and its derivatives 2, 2 -bipyridine is widely used as ligand in coordination chemistry. A stronger Lewis base can easily replace it, this chemical property of pyridine as boarder-line soft base is exploited in catalysis of polymerization and hydrogenation reactions. In the studies of ‘’Iridium’’ Compounds in catalysis, Crabtree, Robert found that the pyridine ligand replaced in the reaction is usually restored after the reaction is completed.

Generally, electrophilic substitutions on pyridine either do not proceed or if it does, it proceeds only partially. However, the hetero-aromatic character of pyridine can be activated by electron donating functionalization. Pyridine does not undergo common alkylation’s and or acylation’s reactions such as FriedelCrafts alkylation or acylation reaction, because these only lead to addition at the nitrogen atom. Substitutions usually occur at the 3-positions (Ortho, Meta and Para).

Direct nitration of pyridine requires very harsh conditions and has very low yield. However, for our purposes here, survive it to note that in an attempt to nitrate pyridine, the first thing that will happen is that the strong acid, and thus, generate the pyridinium cation. The ring in the pyridinium cation is even more deactivated than the pyridine ring because of the full unit of positive charge on the nitrogen; but again, if we look at the possible resonance structures, we find that, meta-attack/substitution will be preferred. In this case the ring is so deactivated that extremely vigorous conditions must be used to nitrate the ring. (Figure 5).

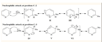
Figure 5 Structure of Nucleophilic substitution attack.

Figure 5: Structure of Nucleophilic substitution attack

As we have discussed in the electrophilic reaction that pyridine generally deactivated the aromatic ring towards electrophilic substitution reaction. The deactivation of the aromatic rings towards electrophilic substitution resulted due to the electron-withdrawing nature of the nitrogen atoms [6]. Due to such deactivation, Pyridine also gives nucleophilic substitution reaction. Nucleophilic substitution in pyridine ring occurs at position C-2. Approach of the nucleophilic at position C-2 leads to the formation of three resonating structures (I, II and III); similarly, the approach of nucleophilic at position C-3 also leads to the formation of three resonating structures (IV,V and VI). The resonating structures for intermediate resulting from the attack of the nucleophile at position C-2 are more stable than those of position C-3 since more electronegative nitrogen atoms hold a -ve charge in one of the resonating structures (III) obtained from the attack of the nucleophile at position C-2. Hence, the nucleophilic substitution in pyridine at position C-2 is always favored. (Figure 6 and 7).

Reaction with Sodium amide: Pyridine reacts with sodium amide to  give 2- aminopyridine via nucleophilic substitution.

Figure 6: Reaction with Sodium amide: Pyridine reacts with sodium amide to give 2- aminopyridine via nucleophilic substitution.

Reaction with Phenyllithium: Pyridine reacts with phenyl lithium (an  organometallic compound) to give 2-phenyl pyridine.

Figure 7: Reaction with Phenyllithium: Pyridine reacts with phenyl lithium (an organometallic compound) to give 2-phenyl pyridine.

Transition metal have found noble applications related to human progress ranging from aerospace and electronics industries to health. Owing to their incomplete d-shells. Transition metals bond to a surrounding array of molecules or ions to form metal complexes of coordination compounds. In biological systems, metal ions bond and interact with important biological molecules and they are categorized into three general classes according to their enzymatic roles (that is when the metal acts as an enzymes co-factor and catalyses redox reactions), their structural roles (that is when the metal plays a role contributing to the stability of the biological molecule), and their reactive role when the metal plays a role in various functions such as the transportation of oxygen, hydrolysis and group transfer.

Since the discovery of cisplatin, a large number of metal complexes have been synthesized and applied in pharmacological fields as anticancer, anti-inflammatory, antibacterial, and antimalarial drugs.

Since the discovery of novel antimicrobial agents active against different strains of bacteria continues. Resistance of bacterial pathogens to existed drugs over the past decade has become a major problem in the treatment of diseases caused by different strains of bacteria. Substituted Pyridines are known for their versatile biological profiles. Some pyridine derivatives are well known to possess antifungal, antibacterial, antiinflammatory, antimicrobial and antilung cancer activities.

For decades, transition metal complexes with solvents, as coordinated ligands, have been used.

Nitrogen containing ligands, as part of desired complexes, such as organamines and organnitriles were one of the most  synthesized complexes ever. In these types of complexes, some ligands were chelating type ligands, giving a variety of choices for their synthesis and new doors were opened for many and diverse applications. In 2016, Azam et al. studied the synthesis of a Cu (II) salen complex with propylene linkage which showed significant anticancer activity and displayed potential antimicrobial biofilm activity. In vitro antimicrobial studies of Schiff base ligand derived from 1, 8-diaminonaphthalene and its Co (II), Ni (II), Cu (II) and Zn (II) complexes revealed that Cu (II) complex has the most significant antimicrobial activity.

In recent years, transition metals containing compounds attracted researcher’s attention due to their antimicrobial properties. Islam et al, described the synthesis characterization and antimicrobial properties of Ni (II) complex with pyridine as a ligand. Badr et al [7]. Reported an antimicrobial study of three Ag (I) complexes-based pyridine ligands. Other Ag (I) complexes of pyridine and (Benz) imidazole derivatives were tested for their antibacterial activity and toxicity were reported. Other research groups studied the antibacterial and antimicrobial effect of Co (III), Fe (III) and Cu (II) complexes on different bacteria and fungi strains.

In general, Inorganic compounds play very important roles in biological processes and many organic compounds have been confirmed to be activated by the metabolism of metal ions. Some of Platinum in +2 oxidation state compounds possessed biological activity against different kinds of microbes. Newly, other groups reported new complexes containing Ni (II), Co (II) and Cu (II) metal ions with different Schiff bases as potential antimicrobial substances. These complexes showed different activities against different strains of microbes. Another group worked on the synthesis of oxovanadium (IV) complexes with dimedone derivatives that had promising antimicrobial properties using the disc-diffusion method.

Coordination complexes possessed a significant role due to their adaptability and wide range of applications, especially in industry, in their homo and heterogeneous phases. Weakly or non- coordinating anions play an important role in supporting the metal complexes interest. Lots of research has been conducted in many areas of chemistry to show the significant of these anions such as: aziridination, aldehyde and polymerization reactions.

In the past ten years, a particular research group works on the preparation of new and novel organometallic coordination complexes, to study their catalytic and antimicrobial properties include 1st raw transition metals ligated to different N-containing ligands.

It was presented and describe in their work, the preparation of some Cu (I) complexes containing two different N-containing moieties (pyridine and propionitrile) with two different fluorinated counter anions (B(C F ) − and B{C H (m-CF ) } − ). The originality of their work rise from the 

6 5 4 6 3  3 2 4

use of new type of complexes containing N-ligands as well as different fluorinated counter anions, which should enhance the activity of the complexes under their investigation. Their synthesized complexes were fully characterized using different techniques, and their biological properties are studied against different bacterial isolates.

The brief coordination chemistry of Silver (4d105s1 ) is widely distributed, and it occurs both as native metal and sulphite ore. Silver has the highest known thermal and electrical conductivities and it can exist in three oxidation state. Whereas, the author finds the chemistry of silver very interesting and attractive, further discussions of the geometry, coordination chemistry and orbital hybridization of Ag (I) is beyond the scope of this work and the knowledge base of this author. However, literature review of the work of [8], reveals that, although the soft Ag (I) ion has a relatively low affinity for O-donor variety of complexes containing carboxylates ions, DMSO, DMF and crown ethers are known. The work of Wan, Conyers, Combs and Mastertoni, shows that silver can be absorbed into the body through the lungs, muscle membrane and the skin and is found in human body at very low concentrations, silver can be eliminated from the body through urine and faces. It is believed that antimicrobial properties of Ag (I) complexes is dependent on the release of biologically active Ag (I) ions. However, the exact mode of action of Ag (I) is still unclear-silver sulfadiazine is the most commonly used medicinal product containing silver. It is used in the treatment of bums [6].

Copper has the electronic configuration of [Ar] 3d10 4s1 and it belongs to the first-row transition metals. Copper can form compounds in various oxidation states of +1, +2, and rarely in +3 and +4 which are highly unstable, but of particular interest is the +2 states. The +2 states are the most stable and have the electronic configuration of d9 with an unpaired electron. Its compounds are typically coloured due to d-d transition spectra and are paramagnetic. The stereo chemical consequences of the d9 configuration of Cu (I) if placed on a cubic environment (regular octahedral or tetrahedral), a wide range of stereochemistry exhibited by Cu (II) compounds with 415 and 6 coordinating number predominating in each structure variation from idealised geometries occur through bond length and bond angles distortion [9].

Nickel belongs to the first-row transition metals; the chemistry of Nickel is simplified by dominance of the Ni (II) state. Nickel has the electronic configuration of [Ar] 3d8 4s2 .

The Ni (II) complexes exist as octahedral, square planar, tetrahedral and trigonal structures. It forms a large number of complexes with coordination numbers of four, five and six having all structural types. Formation of five and six coordinate complexes results from the addition of ligands to square planar complexes. The six coordinate complexes are usually octahedral while the five coordinate complexes usually have trigonal bipyramidal geometry but some are square pyramidal. Most of the four coordinate complexes are square planar [10-15].

EXPERIMENTAL METHODS

Apparatus/Equipments

Beakers, Whatman filter paper. Spatula, reagent bottles, reflux condenser, Bunsen burner, capillary tubes, resort stand, tripod stand, wire gauze, a two neck round bottom flask, thermometer, electronic weighing balance (G and G (R) JS 300) and hot plate with magnetic stirrer.

Chemicals/Reagents

Pyridine, Nickel (II) Chloride Penta hydrate (NiCl2. 6H2O), Silver nitrate (AgNO3), Copper chloride (CuCl), ethanol, distilled water and paraffin oil.

Synthesis of NI (II) Complex with Pyridine

1.88 g (0.024 moles) of the ligand was turned into a warm solution of 5 mls ethanol and was heated for 5 minutes.

Also, 0.475 g NiCl2 .6H2 O was dissolves in 20 mls dry ethanol into a warmed solution of the ligand. It was reflux for 2 hours and stirred for 10 minutes and allowed to cool overnight at room temperature during a complex was formed.

The complex formed was filtered and recrystallized from ethanol. The complex was stored in a beaker and the percentage yield of the complex was obtained as shown below,

Therefore, the percentage yield of the complex obtained was 57%

Studies shows that synthesizing Ni (II) complex, pyridine with nickel chloride hex hydrate was mixed in an anhydrous solvent and heated the mixture. The product was then filtered and washed with the solvent to remove any impurities. The product was then dried under vacuum to remove any residual solvent. This resulted in a dark green solid that was identified as the Ni (II) complex by IR and NMR spectroscopy. The characterization of the Ni (II) complex using several techniques, including IR spectroscopy, mass spectroscopy, and X-ray crystallography, for IR spectroscopy, an observed absorption band at 1710 cm-1 which was indicative of a C=O bond.

Mass spectroscopy was expected to have a peak at the molecular weight of the complex. X-ray Crystallography was expected to have a square planar geometry around the Ni (II) atom. Furthermore, after the synthesis of the Ni (II) complex IR spectroscopy was used to confirm the presence of the pyridine ligands. The IR spectrum showed a characterization absorption band at 2130 cm-1 which was in the range expected for pyridine ligand and was absent in the spectrum of the starting materials confirming that pyridine was successfully bound to the Ni (II) ion while the NMR spectrum of the complex was reported to showed two distinct peaks corresponding to the two different environments of the pyridine ligands.

Synthesis of Ag (I) Complex with Pyridine

1.88 g (0.024 moles) of the ligand was turned into a warm solution of 5 mls ethanol and was heated for 5 minutes.

Also, 0.017 g AgNO3 was dissolves in 20 mls dry ethanol into a warmed solution of the ligand. It was reflux for 2 hours and stirred for 10 minutes and allowed to cool overnight at room temperature during a complex was formed.

The complex formed was filtered and recrystallized from ethanol. The complex obtained was stored in a beaker.

Therefore, the percentage yield of the complex obtained was 59%

The synthesis and characterization of this complex was very similar to that of Cu (I) complex which by discovery the IR Spectrum showed a strong absorption band at 2040 cm-1, and the NMR spectrum showed three peaks corresponding to the three environments of the pyridine ligands. Talking about the x-ray analysis and implications of the Ag (I) complex showed a linear geometry with the two pyridine ligands coordinated in a Monodentate fashion. This is the expected geometry for an Ag (I) complex with two pyridine ligands. As with the Cu (I) complex, a halogen bond between the silver centre and the anion was observed and expected to be in agreement with the IR and NMR result.

Synthesis of Cu (I) Complex with Pyridine

1.88 g (0.024 moles) of the ligand was turned into a warm solution of 5 mls ethanol and was heated for 5 minutes.

Also, 0.098 g of CuCl was dissolved in 20 mls dry ethanol into a warmed solution of the ligand. It was reflux for 2 hours and stirred for 10minutes and allowed to cool overnight at room temperature during which a complex was formed.

The complex formed was filtered and recrystallized from ethanol. The complex obtained was stored in a beaker and the percentage yield of the complex was obtained.

Hence, the percentage yield of this complex was obtained to be 41%

Further synthetization studies of this complex with the reaction of pyridine with copper iodide in an aprotic solvent and the product obtained was then isolated and using the techniques as for the Ni (II) complex. The IR spectrum expected to show a strong absorption band a 2080cm-1 which was characteristics of a pyridine ligand bound to a Cu (I) ion. The NMR spectrum showed three distinct peaks corresponding to the three different environments of the pyridine ligands. The X- ray crystal structure of the Cu (I) complex showed a tetrahedral geometry, with the pyridine ligands coordinated in a monodentate fashion and this was in agreement with the expected geometry of a Cu (I) complex with pyridine ligands. The bond lengths and angles were within the expected ranges for a Cu (I) complex while the IR and NMR data reported confirmed the identity of the copper center and the iodide anion known as a halogen bond. This interaction is not often observed, but it was clearly present in the crystal structure of the complex and this result implies that the tetrahedral geometry and monodentate coordination of the pyridine ligands suggest that the Cu (I) complex may have potential applications in catalysis and sensing. The halogen bond may also be exploited for the development of new materials with unique properties. Finally, the high stability of the complex may make it useful for long term storage or transportation.

Solubility

Test The solubility of a compound is the weights in grams of the solute (complex formed) dissolve in 100 grams of solvent at a given temperature.

Small portion of each of the complexes were placed in test tubes and different solvents (about 2 mls) were added to the different test tubes, the mixture in the test tubes were shaken vigorously. If all the solute particles dissolved, we have a soluble solution; if some of it dissolves in the solvent, we have an insoluble solution. The same test was carried for all the complexes involved.

Melting Point Determination

Small quantities of each complex were fed into different capillary tubes. One end of the tube was sealed by exposing to flame. The capillary tube was tapped with finger in order for the sample to pack properly. The tube was tied to the thermometer using rubber band and suspended in paraffin oil, which was then heated till the melted and the temperatures at which the samples melted were observed and recorded.

 

RESULT/DISCUSSION

Physical Properties of the Ligand and Metal Complexes

As shown in table 1, the ligand Cu (I) and Ni (II) complexes were of various shades of deep green and mint green except for Ag (I) complexes which were colourless. All these complexes, except Ag (I) with a d10 configuration were expectedly coloured, which might be due to d-d transition. The physical properties of the ligand and metal complexes obtained changes from Granules state for Ni (II), Cu (I), Ag (I) to a physical crystalline state with various complexes colour and salts. (Table 1)

Table 1: Physical Properties of the Ligand and Metal Complexes

 

Ligand/ Metal Salts

State

Colour of Salts

Colour of Complexes

Physical State

1

Pyridine Ligand

Liquid

Yellowish

 

Liquid

2

Copper (I) salt

Granules

Green

Deep green

Crystalline

3

Silver (I) salt

Granules

Colourless

Colourless

Crystalline

4

Nickel (II) salt

Granules

Lemon green

Mint green

Crystalline

Solubility of Ligand and Metal Complexes in Various Solvent at Room Temperature

IS = insoluble

S = soluble

SS = sparingly soluble in the table above

The compounds were Insoluble in Acetone, Sparingly Soluble in Methanol, Soluble in ethanol and distilled water except Cu (I)

due to its electrolytic nature. All the complexes were soluble in ethanol and sparingly soluble in methanol. (Table 2)

Table 2: Solubility of Ligand and Metal Complexes in Various Solvent at Room Temperature

Compounds

Ethanol

Distilled water

Acetone

Methanol

Ni (II) complex

SS

S

IS

SS

Cu (I) complex

SS

SS

IS

SS

Ag (I) complex

SS

S

ISS

SS

Melting Point of Ligand and Metal Complexes

The compounds Ag (I) complexes of the ligand have a distinct higher melting points compound compared to Cu (I) and Ni (II) as shown in the table 3 below. (Table 3)

Table 3: Melting Point of Ligand and Metal Complexes

Compounds

Melting points

Units

Ni (II) complex

80

oC

Cu (I) complex

142

oC

Ag (I) complex

172

oC

Molar Conductance Value of the Metal Complexes

The molar conductivity values of the transition metal compounds were determined respectively and the composition of the elemental analysis is recorded together as shown in table 4 Ag (I) has a higher conductivity state which indicate its non electrolytic character. (Table 4)

Table 4: Molar Conductance Value of the Metal Complexes

Compounds

Results

Units

Ni (II) complex

0.37

Ohm-1 cm-1 mol-1

Cu (I) complex

0.46

Ohm-1 cm-1 mol-1

Ag (I) complex

0.56

Ohm-1 cm-1 mol-1

The physical properties of the ligand pyridine and its corresponding Ni (II), Cu (I) and Ag (I) complexes are compiled in table 1, 2, 3 and 4. The physical state of the complexes varies in color. The metal complexes seem not to undergo any form of decomposition when stored for a long period in the reagent bottles except for Ag (I) complex which is photosensitive i.e. Silver metal complex stored was carefully tape with a black Sell tape round it to avoid the exposure of light penetrating through it, the other complexes Ni (II) and Cu (I) were not air sensitive and were handled with ease. The melting point of the complexes was relatively high ranging from 80 – 172 OC. The reason for its high melting point may be due to the formation of a stable oxidation state.

The solubility data of the ligands and their complexes are summarized in table 2. All the complexes were sparingly soluble in ethanol, methanol and insoluble in acetone.

Pyridine is a mono-dentate ligand. Ni (II) has a d8 configuration and shows strong preference for a four-coordinate square planar geometry. Cu (I) has a d10 configuration and forms complexes with coordination number four and six corresponding to a square planar, tetrahedral and octahedral geometry. Hence, Ag (I) has d10 configuration and forms numerous complexes with coordination number of four and two corresponding to square planar, tetrahedral and linear geometry respectively.

Pyridine has several properties that make it a useful ligand, including its ability to affect the electronic properties of the complex. The synthesis and characterization of three pyridinebased shows that the high yields of the complexes method is effective, reproducible and further study of the IR spectra is expected to confirm the presence of its functional group, the results of this study on pyridine transition metal complexes are consistent with previous studies on pyridine transition metal complexes. In general, these complexes are paramagnetic, meaning they have unpaired electrons, they complexes were sparingly soluble in methanol an organic solvents which is expected to be isolated as crystals. These complexes can undergo a variety of redox reactions, including oxidation and reduction which is dependent on the metal, the ligands, and the solvent for example Cu (II) undergoes reduction reaction to form Cu (I) complexes.

CONCLUSION

Synthesis of pyridine with transition metal complexes of Ni (II), Cu (I) and Ag (I) has been obtain successfully and has been characterized using melting point determination, solubility test and molar conductance with report from other past work. Pyridine is a weak pi-acceptor ligand, substitution usually occurs at the 3-position which is the most electron-rich carbon atom in the ring and is therefore more susceptible to an electrophilic substitution. All these complexes are assigned to be in octahedral, tetrahedral and square planar geometry as revealed in their various and its Coordination compounds have important roles as industrial catalyst in controlling reactivity and they are essential in biochemical processes. Biological studies of these complexes will reveal better how these complexes show better activity compared to their respective ligands and further investigation in the area of transition metal complexes, it is recommended that NMR, U.V, IR should be used for the characterization of this complexes in order to obtain a better result.

REFRENCES

1. Doc B. A level Inorganic Chemistry: Chemistry of transition metals complexes. (5th edition), Oxford: oxford University press oxford. 2015.

2. Genet C, Pearson D, Keaton D. Journal of Inorganic Chemistry, John Willey abd sons. 2016; 8: 8-30.

3. Lopez C, Caubet A, Solans, X, Font-Bardia MJ. Organometallic Chemistry. Oxford: Oxford University press. 2015.

4. Krygowsk TM, Szayowiez H, Zachara ST. How H-BONDING MODIFIES molecular structure and II electrocyclization in the ring of pyridine/ Pyridium derivatives involved in H-bond complexation. J Org Chem. 2015; 70: 8859-8865.

5. Green – Hooper SV. Organic Chemistry, (3rd edition), Sheffield: Cannon press. 2017; 221: 110-125.

6. Landswon PA, Toxicol EF. Synthesis and characterization of Tetradentate Macrocyclic ligand and its Cu (I) Ni (II) complexes, Russ J Coord Chem. 2015; 8: 18-30 

7. Badr AMA, Barakat A, Albering JH, Sharaf MM, Ul-Haq Z, soliman SM. Structure, antimicrobial activity, Hirschfeld analysis, and docking studies of three silver (I) complexes- based pyridine ligands, Appl Sci. 2020; 10: 4853.

8. EL Gavey. Coordination chemistry, Mc. Graw Hill Publishing Company Ltd. 2015. Markson CJ. 2018. Coordination Chemistry, Mc Graw Hill Publishing Company Ltd.

9. Nakamoto K. Infrared and Raman Spectra of Inorganic and Coordination Compounds. Cannon Press. 2019; 48: 628-634.

10. Perry, W., (2018). Prepared and Characterised complexes of Ni (II) and Cu (II). Journal of Inorganic Chemistry, 139:1499.

11. Ola A El-Gammal, Farid Sh Mohamed, Ghada N Rezk, Ashraf A ElBindary. Synthesis, characterization, catalytic, DNA binding and antibacterial activities of Co (II), Ni (II) and Cu (II) complexes with new Schiff base ligand. J Mol Liq. 2021; 326: 115223.

12 Hala A Kiwaan, Ayat S El-Mowafy, Ashraf A El-Bindary. Synthesis, spectral characterization, DNA binding, catalytic and in vitro cytotoxicity of some metal complexes. J Mol Liq. 2021; 326: 115381.

13. OA El-Gammal, F Sh Mohamed, GN Rezk, AA El-Bindary. Structural characterization and biological activity of a new metal complexes based of Schiff base. 2021; 330: 115522.

14. GAA Al?Hazmi, KS Abou?Melha, I Althagafi, N El?Metwaly, F Shaaban, MS Abdul Galil, et al. Synthesis and structural characterization of oxovanadium (IV) complexes of dimedone derivatives. Appl Organometal Chem. 2020; 34: e5672.

15. AK Hijazi, ZA Taha, TS Ababneh, HM Alshare, N Al-Bataineh, WM AlMomani, et al. In vitro biological, catalytic and DFT studies of some iron (III) N-ligated complexes. Chem Pap. 2020; 74: 1561-1572.

Udoh GE, Ikenna K, Effiong B, Duke OEE (2023) Synthesis and Characterization of Pyridine Transition Metal Complexes of Ni (II), Cu (I) and Ag (I). JSM Chem 10(1): 1063.

Received : 15 Sep 2023
Accepted : 02 Oct 2023
Published : 04 Oct 2023
Journals
Annals of Otolaryngology and Rhinology
ISSN : 2379-948X
Launched : 2014
JSM Schizophrenia
Launched : 2016
Journal of Nausea
Launched : 2020
JSM Internal Medicine
Launched : 2016
JSM Hepatitis
Launched : 2016
JSM Oro Facial Surgeries
ISSN : 2578-3211
Launched : 2016
Journal of Human Nutrition and Food Science
ISSN : 2333-6706
Launched : 2013
JSM Regenerative Medicine and Bioengineering
ISSN : 2379-0490
Launched : 2013
JSM Spine
ISSN : 2578-3181
Launched : 2016
Archives of Palliative Care
ISSN : 2573-1165
Launched : 2016
JSM Nutritional Disorders
ISSN : 2578-3203
Launched : 2017
Annals of Neurodegenerative Disorders
ISSN : 2476-2032
Launched : 2016
Journal of Fever
ISSN : 2641-7782
Launched : 2017
JSM Bone Marrow Research
ISSN : 2578-3351
Launched : 2016
JSM Mathematics and Statistics
ISSN : 2578-3173
Launched : 2014
Journal of Autoimmunity and Research
ISSN : 2573-1173
Launched : 2014
JSM Arthritis
ISSN : 2475-9155
Launched : 2016
JSM Head and Neck Cancer-Cases and Reviews
ISSN : 2573-1610
Launched : 2016
JSM General Surgery Cases and Images
ISSN : 2573-1564
Launched : 2016
JSM Anatomy and Physiology
ISSN : 2573-1262
Launched : 2016
JSM Dental Surgery
ISSN : 2573-1548
Launched : 2016
Annals of Emergency Surgery
ISSN : 2573-1017
Launched : 2016
Annals of Mens Health and Wellness
ISSN : 2641-7707
Launched : 2017
Journal of Preventive Medicine and Health Care
ISSN : 2576-0084
Launched : 2018
Journal of Chronic Diseases and Management
ISSN : 2573-1300
Launched : 2016
Annals of Vaccines and Immunization
ISSN : 2378-9379
Launched : 2014
JSM Heart Surgery Cases and Images
ISSN : 2578-3157
Launched : 2016
Annals of Reproductive Medicine and Treatment
ISSN : 2573-1092
Launched : 2016
JSM Brain Science
ISSN : 2573-1289
Launched : 2016
JSM Biomarkers
ISSN : 2578-3815
Launched : 2014
JSM Biology
ISSN : 2475-9392
Launched : 2016
Archives of Stem Cell and Research
ISSN : 2578-3580
Launched : 2014
Annals of Clinical and Medical Microbiology
ISSN : 2578-3629
Launched : 2014
JSM Pediatric Surgery
ISSN : 2578-3149
Launched : 2017
Journal of Memory Disorder and Rehabilitation
ISSN : 2578-319X
Launched : 2016
JSM Tropical Medicine and Research
ISSN : 2578-3165
Launched : 2016
JSM Head and Face Medicine
ISSN : 2578-3793
Launched : 2016
JSM Cardiothoracic Surgery
ISSN : 2573-1297
Launched : 2016
JSM Bone and Joint Diseases
ISSN : 2578-3351
Launched : 2017
JSM Bioavailability and Bioequivalence
ISSN : 2641-7812
Launched : 2017
JSM Atherosclerosis
ISSN : 2573-1270
Launched : 2016
Journal of Genitourinary Disorders
ISSN : 2641-7790
Launched : 2017
Journal of Fractures and Sprains
ISSN : 2578-3831
Launched : 2016
Journal of Autism and Epilepsy
ISSN : 2641-7774
Launched : 2016
Annals of Marine Biology and Research
ISSN : 2573-105X
Launched : 2014
JSM Health Education & Primary Health Care
ISSN : 2578-3777
Launched : 2016
JSM Communication Disorders
ISSN : 2578-3807
Launched : 2016
Annals of Musculoskeletal Disorders
ISSN : 2578-3599
Launched : 2016
Annals of Virology and Research
ISSN : 2573-1122
Launched : 2014
JSM Renal Medicine
ISSN : 2573-1637
Launched : 2016
Journal of Muscle Health
ISSN : 2578-3823
Launched : 2016
JSM Genetics and Genomics
ISSN : 2334-1823
Launched : 2013
JSM Anxiety and Depression
ISSN : 2475-9139
Launched : 2016
Clinical Journal of Heart Diseases
ISSN : 2641-7766
Launched : 2016
Annals of Medicinal Chemistry and Research
ISSN : 2378-9336
Launched : 2014
JSM Pain and Management
ISSN : 2578-3378
Launched : 2016
JSM Women's Health
ISSN : 2578-3696
Launched : 2016
Clinical Research in HIV or AIDS
ISSN : 2374-0094
Launched : 2013
Journal of Endocrinology, Diabetes and Obesity
ISSN : 2333-6692
Launched : 2013
Journal of Substance Abuse and Alcoholism
ISSN : 2373-9363
Launched : 2013
JSM Neurosurgery and Spine
ISSN : 2373-9479
Launched : 2013
Journal of Liver and Clinical Research
ISSN : 2379-0830
Launched : 2014
Journal of Drug Design and Research
ISSN : 2379-089X
Launched : 2014
JSM Clinical Oncology and Research
ISSN : 2373-938X
Launched : 2013
JSM Bioinformatics, Genomics and Proteomics
ISSN : 2576-1102
Launched : 2014
Journal of Trauma and Care
ISSN : 2573-1246
Launched : 2014
JSM Surgical Oncology and Research
ISSN : 2578-3688
Launched : 2016
Annals of Food Processing and Preservation
ISSN : 2573-1033
Launched : 2016
Journal of Radiology and Radiation Therapy
ISSN : 2333-7095
Launched : 2013
JSM Physical Medicine and Rehabilitation
ISSN : 2578-3572
Launched : 2016
Annals of Clinical Pathology
ISSN : 2373-9282
Launched : 2013
Annals of Cardiovascular Diseases
ISSN : 2641-7731
Launched : 2016
Journal of Behavior
ISSN : 2576-0076
Launched : 2016
Annals of Clinical and Experimental Metabolism
ISSN : 2572-2492
Launched : 2016
Clinical Research in Infectious Diseases
ISSN : 2379-0636
Launched : 2013
JSM Microbiology
ISSN : 2333-6455
Launched : 2013
Journal of Urology and Research
ISSN : 2379-951X
Launched : 2014
Journal of Family Medicine and Community Health
ISSN : 2379-0547
Launched : 2013
Annals of Pregnancy and Care
ISSN : 2578-336X
Launched : 2017
JSM Cell and Developmental Biology
ISSN : 2379-061X
Launched : 2013
Annals of Aquaculture and Research
ISSN : 2379-0881
Launched : 2014
Clinical Research in Pulmonology
ISSN : 2333-6625
Launched : 2013
Journal of Immunology and Clinical Research
ISSN : 2333-6714
Launched : 2013
Annals of Forensic Research and Analysis
ISSN : 2378-9476
Launched : 2014
JSM Biochemistry and Molecular Biology
ISSN : 2333-7109
Launched : 2013
Annals of Breast Cancer Research
ISSN : 2641-7685
Launched : 2016
Annals of Gerontology and Geriatric Research
ISSN : 2378-9409
Launched : 2014
Journal of Sleep Medicine and Disorders
ISSN : 2379-0822
Launched : 2014
JSM Burns and Trauma
ISSN : 2475-9406
Launched : 2016
Chemical Engineering and Process Techniques
ISSN : 2333-6633
Launched : 2013
Annals of Clinical Cytology and Pathology
ISSN : 2475-9430
Launched : 2014
JSM Allergy and Asthma
ISSN : 2573-1254
Launched : 2016
Journal of Neurological Disorders and Stroke
ISSN : 2334-2307
Launched : 2013
Annals of Sports Medicine and Research
ISSN : 2379-0571
Launched : 2014
JSM Sexual Medicine
ISSN : 2578-3718
Launched : 2016
Annals of Vascular Medicine and Research
ISSN : 2378-9344
Launched : 2014
JSM Biotechnology and Biomedical Engineering
ISSN : 2333-7117
Launched : 2013
Journal of Hematology and Transfusion
ISSN : 2333-6684
Launched : 2013
JSM Environmental Science and Ecology
ISSN : 2333-7141
Launched : 2013
Journal of Cardiology and Clinical Research
ISSN : 2333-6676
Launched : 2013
JSM Nanotechnology and Nanomedicine
ISSN : 2334-1815
Launched : 2013
Journal of Ear, Nose and Throat Disorders
ISSN : 2475-9473
Launched : 2016
JSM Ophthalmology
ISSN : 2333-6447
Launched : 2013
Journal of Pharmacology and Clinical Toxicology
ISSN : 2333-7079
Launched : 2013
Annals of Psychiatry and Mental Health
ISSN : 2374-0124
Launched : 2013
Medical Journal of Obstetrics and Gynecology
ISSN : 2333-6439
Launched : 2013
Annals of Pediatrics and Child Health
ISSN : 2373-9312
Launched : 2013
JSM Clinical Pharmaceutics
ISSN : 2379-9498
Launched : 2014
JSM Foot and Ankle
ISSN : 2475-9112
Launched : 2016
JSM Alzheimer's Disease and Related Dementia
ISSN : 2378-9565
Launched : 2014
Journal of Addiction Medicine and Therapy
ISSN : 2333-665X
Launched : 2013
Journal of Veterinary Medicine and Research
ISSN : 2378-931X
Launched : 2013
Annals of Public Health and Research
ISSN : 2378-9328
Launched : 2014
Annals of Orthopedics and Rheumatology
ISSN : 2373-9290
Launched : 2013
Journal of Clinical Nephrology and Research
ISSN : 2379-0652
Launched : 2014
Annals of Community Medicine and Practice
ISSN : 2475-9465
Launched : 2014
Annals of Biometrics and Biostatistics
ISSN : 2374-0116
Launched : 2013
JSM Clinical Case Reports
ISSN : 2373-9819
Launched : 2013
Journal of Cancer Biology and Research
ISSN : 2373-9436
Launched : 2013
Journal of Surgery and Transplantation Science
ISSN : 2379-0911
Launched : 2013
Journal of Dermatology and Clinical Research
ISSN : 2373-9371
Launched : 2013
JSM Gastroenterology and Hepatology
ISSN : 2373-9487
Launched : 2013
Annals of Nursing and Practice
ISSN : 2379-9501
Launched : 2014
JSM Dentistry
ISSN : 2333-7133
Launched : 2013
Author Information X