Synthesis of 2-Oxo-1, 2-Dihydroquinoline Chemotype with Multiple Attachment Points as Novel Screening Compounds for Drug Discovery
- 1. EDASA Scientific, Moscow State University, Russia
- 2. Lindsley F. Kimball Research Institute, New York Blood Center, USA
Abstract
The 2-oxo-1, 2-dihydroquinoline Chemotype is well represented among screening compound collection. However, the chemical space of 2-oxo-1, 2-dihydroquinoline has not been thoroughly investigated. In this work we report the synthesis of a small but novel 2-oxo-1, 2-dihydroquinoline compound array for screening purposes, especially in drug discovery, possessing three convenient point of diversity.
Keywords
2-oxo-1, 2-dihydroquinoline; Chemotype;Screening compounds;Guanidine;Natural products;Synthesis;Drugs;Chemical scaffold
Citation
Kurkin AV, Altieri A, Andreev IA, Debnath AK (2016) Synthesis of 2-Oxo-1, 2-Dihydroquinoline Chemotype with Multiple Attachment Points as Novel Screening Compounds for Drug Discovery. JSM Chem 4(4): 1033.
INTRODUCTION
The potential of 2-oxo-1, 2-dihydroquinoline Chemotype in drug design is reflected by at least four currently FDA approved drugs 1-3 and over twenty 2-oxo-1, 2-dihydroquinoline based leads under investigation against different diseases [1-3].
Therefore, it is appropriate to use this Chemotype for designing and synthesizing screening compounds. The development of such molecules with a variety of pharmacophores may lead to potential therapeutic leads.
During the 2-oxo-1, 2-dihydroquinoline array design we decided to incorporate, among other substituent’s, two representative compounds containing the guanidine moiety. This decision was driven by the fact that despite guanidines are well represented among biologically active natural products [4], medicinal chemists have only recently started to pay more attention to them [4]. Moreover guanidine moieties besides being statistically well relevant among natural products, they also present the advantage of being a water soluble moiety and consequently may improve the water solubility of the drugs where they are represented.
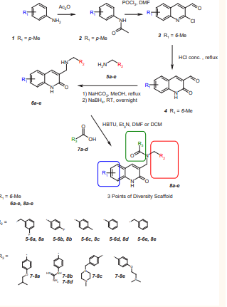
In this work we report a synthetic approach that allows to rapidly generating a 2-oxo-1, 2-dihydroquinoline based chemical scaffold with 3 convenient point of diversity. We found that it is strategically convenient to insert the guanidine moiety via 4-guanidinobenzoic acid at R3. Here, we report the synthesis of five 2-oxo-1, 2-dihydroquinolines following the outline of the methods depicted in Scheme (1).
MATERIALS AND METHODS
Commercial reagents and solvents were used without further purification. All reactions were performed in air atmosphere unless otherwise stated. Reactions were monitored by thin layer chromatography (TLC) carried out on Merck TLC silica gel plates (60 F254), using UV light for visualization and basic aqueous potassium permanganate or iodine fumes as developing agent. NMR1H and 13C spectra were recorded on Bruker Avance 400 instrument with operating frequency of 400 and 100 MHz, respectively, and calibrated using residual undertreated chloroform (δH = 7.28 ppm)and CDCl3 (δC = 77.16 ppm) or undertreated DMSO (δH = 2.50ppm) and DMSO-d6 (δC = 39.51 ppm) as internal references. The following abbreviations are used to set multiplicities: s = singlet, d =doublet, t = triplet, q = quartet, m = multiplet, br = broad.
RESULTS AND DISCUSSION
N-p-Tolylacetamide (2)
A mixture of 50 g(0.467 mol) of p-Toluidine and 66 ml (0.7 mol) of Ac2O was heated to reflux and poured into 500 mL of cold water [5]. The resulting dark precipitate was filtered off and dried under vacuum to afford 65.75 g (93% yields) of 2 as a white solid with m.p. 148-150°C.
1H NMR: (DMSO, 400 MHz) δ = 2.02 (s, 3H), 2.24 (s, 3H), 7.08 (d, J = 8.3 Hz, 2H), 7.45 (d, J = 8.3 Hz, 2H), 9.83 (br. s., 1H)
2-Chloro-6-methylquinoline-3-carbaldehyde (3)
84 mL (1.085 mol) of DMF were added drop wise at a temperature not exceeding 60°C to a stirred mixture of 283 mL (3.04 mol) of POCl3 and 64.75 g (0.434 mol) of 2 [6]. The stirring was continued further at 90°C, for an additional 25 h. The mixture was cooled to RT and the excess of POCl3 evaporated under reduced pressure. The residue was poured into iced water (~700 mL) and the resulting solid was filtered off and dried under reduced pressure to afford 56.30 g (63% yield) of a dark brown compound with m.p. 124-125°C.
1H NMR: (DMSO, 400 MHz) δ = 3.72 (s, 3H), 7.78 (dd, J = 8.6, 1.9 Hz, 1H), 7.88 (d, J = 8.6 Hz, 1H), 7.96 (s, 1H), 8.78 (s, 1H), 10.33 (s, 1H).
6-Methyl-2-oxo-1, 2-dihydroquinoline - 3 - carbaldeh y d e (4)
A mixture of 3 (15g, 73 mmol) and 600 mL (7.3 mol) of concentrated hydrochloric acid was refluxed for 8 h, cooled to RT and filtered [7]. The crude was vacuum dried and afforded 10.89 g (80% yields) of a brown solid with m.p. 201-202°C.
1H NMR: (DMSO, 400 MHz) δ = 2.33 (br. s, 3H), 7.26 (br. s, 1H), 7.48 (br. s, 1H), 7.67 (br. s, 1H), 8.39 (br. s, 1H), 10.22 (br. s, 1H), 12.15 (br. s, 1H).
2-(3-Fluorophenyl) ethanamine (5a)
To a solution of 4.92 g (81 mmol) of nitromethane and 10 g (81 mmol) of 3-fluorobenzaldehyde in 16 mL of methanol, a cold solution of 3.38 g (85 mmol) of NaOH in 8.5 mL of water was added drop wise at a temperature not exceeding 10 °C. After 15 min of stirring, ~50 mL of ice water was added, followed, after complete dissolution of the precipitate, by the drop wise addition of 17 mL (81 mmol) of ~15% hydrochloric acid. The resulting mixture was stirred for 5 min, extracted with CH2Cl2, dried over anhydrous Na2SO4 and evaporated. The obtained residue (12.91 g, 96% yield of crude compound) was used in the next step without any further purification. [8]
A suspension of 7.34 g (193 mmol) of LiAlH4 in 190 mL of THF was added drop wise to an ice bath cooled solution of 12.91 g (77 mmol) of nitrosterene in 80 mL of THF. The resulting mixture was refluxed for 4 h, cooled to RT. In an ice bath the reaction mixture was quenched under vigorous stirring with successive addition of 7 mL of cold NaOH 15% aqueous solution and 7 mL of cold water. The resulting suspension was stirred for 15-20 min and filtered off. The filter cake was washed with THF. The combined filtrates were evaporated and the residue was dissolved in 3N HCl. The acidic water was washed with CH2Cl2 (3 x 20 mL) and neutralized with a concentrated NaHCO3 solution. The resulting aqueous fraction was extracted with CH2Cl2 , dried over anhydrous Na2SO4 , filtered and evaporated to afford 5.35g (50% yields) of dark yellow oil.
1H NMR: (CDCl3 , 400 MHz) δ = 1.30 (br. s, 2H), 2.74 (t, J = 6.8 Hz, 2H), 2.97 (t, J = 6.8 Hz, 2H), 6.84-6.94 (m, 2H), 6.97 (d, J = 7.4 Hz, 2H), 7.19-7.31 (m, 1H) [9].
General procedure for the reductive amination of 6-methyl2-oxo-1, 2-dihydroquinoline-3-carbaldehyde with benzyl- and phenethyl-amines 1.2 equiv. of corresponding amine (0.1 M as amine suspension) was added to a mixture of 1 equiv. (0.5 g; 2.7 mmol) of 4 and 1.5 equiv. of NaHCO3 in methanol. The resulting mixture was stirred under reflux for 8 h (in some cases with the fully dissolution of the solids) and cooled to RT. 1.2 equiv. of NaBH4 were added and the reaction mixture was stirred overnight until the complete evaporation of the volatiles. The residue was treated with a water volume equal to the methanol volume and stirred for 1 h. The resulting precipitate was filtered off, washed with water and successively with diethyl ether.
In case of the phenethyl-amine the resulting product was sufficiently pure, while for the benzyl-amine the crude work up required a further purification via flash column chromatography and eluting with a CH2Cl2 /MeOH mixture.
3-((3-Fluorophenethylamino) methyl)-6-methylquinolin-2(1H)-one (6a)
0.8 g of 6a (96% yield) as a light-brown solid was obtained by following the general procedure and using 0.5 g (2.7 mmol) of starting material 4; m.p.= 154-156 °C
1H NMR: (DMSO, 400 MHz) δ = 2.10 (br. s, 1H), 2.33 (s, 3H), 2.77 (s, 4H), 3.59 (s, 2H), 6.96-7.04 (m, 1H), 7.04-7.12 (m, 2H), 7.15-7.23 (m, 1H), 7.23-7.34 (m, 2H), 7.37 (s, 1H), 7.69 (s, 1H), 11.69 (br. s, 1H).
13C NMR: (DMSO, 100 MHz) δ = 20.4, 35.6, 48.0, 50.1, 112.5 (J = 20.5 Hz), 114.7, 115.3 (d, J = 20.5 Hz), 119.2, 124.8, 126.9, 129.9 (d, J = 8.1 Hz), 130.6, 131.9, 135.2, 135.8, 143.6 (d, J = 7.3 Hz), 161.8, 162.2 (d, J = 242.2 Hz).
3-((4-Fluorobenzylamino) methyl)-6-methylquinolin2(1H)-one (6b)
After a double flash column chromatography (CH2Cl2/MeOH = 35:1 mixture), 0.36 g of 6b (23% yield) as a light-beige solid was obtained by following the general procedure and using 1.0 g (5.4 mmol) of 4 as starting material.
m.p. = 178-180 °C. Rf = 0, 5 CHCl3/MeOH = 7:1. 1H NMR: (CDCl3, 400 MHz) δ = 2.41 (s, 3H), 2.86 (br. s, 1H), 3.85 (d, J = 4.5 Hz, 4H), 7.00 (t, J = 8.6 Hz, 2H), 7.25 (br. s, 2H), 7.32 (br. s, 1H), 7.36 (dd, J = 8.0, 5.7, 2H), 7.72 (br. s, 1H), 12.17 (br. s, 1H).
13C NMR: (CDCl3, 100 MHz) δ = 21.1, 49.1, 52.4, 115.2, 115.4, 115.7, 120.1, 127.3, 129.9 (d, J = 8.1 Hz), 130.7, 131.5, 132.4, 135.8 (d, J = 2.9 Hz), 135.9, 137.8, 162.1 (d, J = 248.8 Hz), 163.3, 164.1.
6-methyl-3-((4-methylbenzylamino) methyl) quinolin-2(1H)-one (6c)
Compound 6c was synthesized according to the general procedure from 1.0 g (5.4 mmol) of 4. The crude was subjected to a double flash column chromatography (CH2Cl2/MeOH = 25:1) leading to 0.22 gof 6c (14% yield) as a beige solid with m.p. = 159-161°C. Rf ~ 0.3 CHCl3/MeOH = 7:1.
1H NMR: (CDCl3, 400 MHz) δ = 2.34 (s, 3H), 2.40 (s, 3H), 3.65 (br. s, 1H), 3.87 (d, J = 4.7 Hz, 4H), 7.14 (d, J = 7.6 Hz, 2H), 7.25 (br. s, 2H), 7.29 (d, J = 8.1 Hz, 2H), 7.73 (br. s, 1H), 12.22 (br. s, 1H). 13C NMR: (CDCl3, 100 MHz) δ = 21.1, 21.2, 48.9, 52.9, 115.8, 120.1, 127.2, 128.4, 129.3, 130.5, 131.5, 132.2, 135.9, 136.7, 136.8, 137.9, 164.1.
3-((Benzylamino) methyl)-6-methylquinolin-2(1H)- one (6d)
Compound 6d was synthesized according to the general procedure from 1.5 g (8.0 mmol) of 4. After the work up, the crude product was subjected to a double flash column chromatography (CH2Cl2/MeOH = 30:1) which afforded 0.24 g of 6d (14% yield) as yellow-gold solid with m.p. = 153-155°C. Rf ~ 0.4 CHCl3/ MeOH = 7:1.
1H NMR: (CDCl3, 400 MHz) δ = 1.26 (br. s, 1H), 2.40 (s, 3H), 3.89 (d, J = 7.6 Hz, 4H), 7.26 (br. s, 3H), 7.30-7.38 (m, 3H), 7.41 (d, J = 7.0 Hz, 2H), 7.74 (br. s, 1H), 12.15 (br. s, 1H).
13C NMR: (CDCl3, 100 MHz) δ = 21.1, 49.0, 53.1, 115.7, 120.0, 127.2, 127.3, 128.5 (2C), 128.6 (2C), 131.5, 132.3, 135.9, 137.9, 164.1.
6-Methyl-3-((phenethylamino) methyl) quinolin2(1H)-one (6e)
Compound 6e (0.78 g, quantitative) was synthesized according to the general procedure from 0.5 g (2.7 mmol) of 4 as a beige solid with m.p. = 147-149 °C. 1H NMR: (DMSO, 400 MHz) δ = 2.33 (s, 3H), 2.75 (s, 4H), 3.59 (s, 2H), 7.14-7.32 (m, 8H), 7.37 (br. s, 1H), 7.69 (br. s, 1H), 11.70 (br. s, 1H). 13C NMR: (DMSO, 100 MHz) δ = 20.4, 36.1, 48.1, 50.6, 114.7, 119.2, 125.8, 127.0, 128.2 (2C), 128.7 (2C), 130.6 (2C), 132.0, 135.2, 135.8, 140.5, 161.8. Synthesis of the analogs of Benzoic acid (7a, -7e). Compound 7a, 7c and 7d were synthesized accordingly to the Scheme (2)

Scheme 2: Synthesis of benzoic acid analogs (7a, 7c and 7d)
METHYL 4-HYDROXYBENZOATE (10)
4.3 mL (2 mL / 100 mmol of acid) of concentrated H2SO4 was added to a stirred suspension of 30 g (217 mmol) of 9 in 45 mL (1.09 mol) of methanol [10]. The resulting mixture was refluxed for 2 h (the complete dissolution occurs after ~1 h of refluxing) and cooled to RT. 200 mL of water was added and the mixture was extracted with CH2Cl2, dried over anhydrous Na2SO4, filtered and evaporated to afford 28.57 g (86% yield) of 10 as a white solid with m.p. 125-128°C.
1H NMR: (DMSO, 400 MHz) δ = 3.78 (s, 3H), 6.85 (d, J = 8.8 Hz, 2H), 7.82 (d, J = 8.8 Hz, 2H), 10.31 (s, 1H).
5.10. Methyl 4-isobutoxybenzoate (11)
5 g (33 mmol) of 10 was added to a stirred solution of MeONa, prepared from 0.76 g (33 mmol) of Na in 11 mL of methanol [11]. To the resulting solution of 3, 81 mL (33 mmol) of 1-iodo2-methylpropane was added and allowed to reflux for 12 h. The resulting mixture was cooled to RT, evaporated to dryness and the residue picked up with 100 mL of H2O, followed by the addition of 100 mL of CH2Cl2. After the complete dissolution the biphasic mixture was washed with an aqueous solution of NaOH 10%, dried over anhydrous Na2SO4, filtered and evaporated to afford 1.60 g (23% yield) of a pink oil.
5 g (33 mmol) of 10 was added to a stirred solution of MeONa, prepared from 0.76 g (33 mmol) of Na in 11 mL of methanol [11]. To the resulting solution of 3, 81 mL (33 mmol) of 1-iodo2-methylpropane was added and allowed to reflux for 12 h. The resulting mixture was cooled to RT, evaporated to dryness and the residue picked up with 100 mL of H2O, followed by the addition of 100 mL of CH2Cl2. After the complete dissolution the biphasic mixture was washed with an aqueous solution of NaOH 10%, dried over anhydrous Na2SO4, filtered and evaporated to afford 1.60 g (23% yield) of a pink oil.
4-Isobutoxybenzoic acid (7a)
To a solution of 1.60 g (8 mmol) of 11 in 5.5 mL of EtOH was added a solution of 0.61 g (15 mmol) of NaOH in 5.5 mL of water [11]. The resulting reaction mixture was stirred at ~40°C overnight and evaporated to dryness. The residue was picked up with a minimum amount of water, washed with diethyl ether and acidified with concentrated hydrochloric acid. The resulting precipitate was filtered off and dried under reduced pressure to afford 1.37 g (92% yield) of a white solid with m.p. 140-142°C.
1H NMR: (DMSO, 400 MHz) δ = 1.04 (d, J = 6.7 Hz, 6H), 2.12 (sep, J = 6.7 Hz, 1H), 3.79 (d, J = 6.7 Hz, 2H), 6.94 (d, J = 8.9 Hz, 2H), 8.06 (d, J = 8.9 Hz, 2H), 12.04 (br. s, 1H).
4-Guanidinobenzoic acid (7b)
A mixture of 5.57 g (41 mmol) of 4-aminobenzoic acid, 10.0 g (61 mmol) of 1H-pyrazole-1-carboximidamide hydrochloride and 8.540 mL (61 mmol) of DIPEA in 60 mL of Dy/H2 O (2:1) was stirred under reflux for 6 h, cooled to 0°C, filtered off and washed with cold water and successively with diethyl ether [12]. The resulting solid was dried under reduced pressure to afford 3.12 g (43% yield) of a light-beige solid with m.p. = 310-313 °C (dec.).
1H NMR: (DMSO, 400 MHz) δ = 7.21 (d, J = 8.1 Hz, 2H), 7.94 (d, J = 8.3 Hz, 2H), 8.28 (br. s, 4H), 11.80 (br. s, 1H).
Methyl 4-(dimethoxymethyl) benzoate (13)
19.3 mL (266 mmol) of SOCl2 was added drop wise to a stirred water batch cooled solution of 55 mL (1, 33 mol) of methanol [13]. 10 g of 4-formylbenzoic acid 12 was added to this solution and the resulting mixture was stirred under reflux for 1h (the complete dissolution of the starting acid was achieved after 20-30 min of reflux) and evaporated to dryness to obtain 13.64 g (97% yield) of an orange viscous oil.
1H NMR: (CDCl3, 400 MHz) δ = 3.32 (s, 6H), 3.91 (s, 3H), 5.43 (s, 1H), 7.52 (d, J = 8.3 Hz, 2H), 8.01 (d, J = 8.1 Hz, 2H).
Methyl 4-formylbenzoate (14)
13.64 g (64 mmol) of acetal13 was dissolved in 40 mL (1.860 mL, 32 mmol of concentrated AcOH was required) of 5% aqueous solution of acetic acid [14]. The resulting solution was stirred at RT overnight leading to the formation of an oily precipitate. The resulting precipitate was dissolved in 100 mL of CH2Cl2 , the water phase was discarded, while the organic phase was washed with 100 mL of concentrated NaHCO3 solution. The organic phase was dried over anhydrous Na2SO4 , filtered and evaporated to afford 10.46 g (98% yield) of a light peach solid with m.p. 60-62 °C.
1H NMR: (CDCl3, 400 MHz) δ = 3.95 (s, 3H), 7.94 (d, J = 8.5 Hz, 2H), 8.19 (d, J = 8.3 Hz, 2H), 10.09 (s, 1H).
4-((4-Methylpiperazin-1-yl) methyl) benzoic acid dihydrochloride (7c)
3.66 g (36 mmol) of 1-methylpiperazine 15 was added to a mixture of 5 g (31 mmol) of 14 and 3.84 g (46 mmol) of NaHCO3 in 40 mL of methanol [15]. The resulting mixture was stirred under reflux for 8 h and cooled to RT, followed by the addition of 1.38 g (37 mmol) of NaBH4. The reaction mixture was further stirred overnight until the complete evaporation of the volatiles. The residue was treated with water till the complete dissolution, extracted with CH2Cl2 , dried over anhydrous Na2SO4 , filtered and evaporated to afford 16 [15] as a yellow oil which was used in the next step without any further purification. 16 [15] was dissolved in a mixture of 15.2 mL (183 mmol) of concentrated hydrochloric acid and 15 mL of water, stirred under reflux for 12 h and cooled to RT. The resulting precipitate was filtered off, washed with diethyl ether and dried under vacuum to afford 3.18 g (32% yield over 2 synthetic steps) of a light-yellow solid with m.p. 310-312 °C.
1H NMR: (DMSO, 400 MHz) δ = 2.80 (s, 3H), 3.32 (br. s, 2H), 3.30-3.70 (m, 8H), 4.39 (br. s, 2H), 7.77 (d, J = 7.3 Hz, 2H), 7.99 (d, J = 8.1 Hz, 2H), 11.91 (br. s, 1H).
Dimethyl (2-chloroethyl) amine hydrochloride (18)
To a dry 250 mL flask fitted with a sealed mechanical stirrer, with an efficient reflux condenser, and a 100-mL dropping funnel was placed 25.6 mL(353 mmol) of thionyl chloride (the reaction flask was cooled in an ice bath for the whole reaction period due to the very exothermic reaction conditions) [16]. The β-Dimethylaminoethanol (30 g, 337 mmol) was added drop wise, over a period of an hour, through the funnel to the cooled thionyl chloride. During the addition, a copious evolution of sulfur dioxide was observed (The reaction proceeds more smoothly by keeping the temperature below 50°C). The ice bath was removed and the reaction mixture was further stirred for another hour. After monitoring the mixture temperature (35–50°C), the entire contents of the reaction flask was transferred to a 1L beaker containing ~150 mL of absolute ethanol. The resulting brown solution was heated to ebullition on a hot plate with a copious evolution of gases. The solution was hot filtered, leaving a small amount of insoluble material. Upon cooling of the filtrate in a salt-ice bath, the desired product was obtained as white crystals which were filtered off, washed with diethyl ether and dried under reduced pressure to afford 38.46 g (79% yield) of the desired product with m.p. 201-203°C.
1H NMR: (DMSO, 400 MHz) δ = 2.77 (s, 6H), 3.44 (t, J = 6.9 Hz, 2H), 4.02 (t, J = 6.9 Hz, 2H), 11.23 (br. s, 1H).
4-(2-(dimethylamino) ethoxy) benzoic acid hydrochloride (7d)
A mixture of 3.46 g (23 mmol) of 10, 9.17 g (64 mmol) of 18, 22.00 g (159 mmol) of K2CO3 in 23 mL of DMF was stirred under reflux for 4 h and cooled to RT [17]. The DMF was removed under reduced pressure and the solid residue treated with 100 mL of cold water. The resulting mixture was extracted with CH2Cl2 (2x100 mL). The combined organic phase was washed with of a 10% aqueous solution of NaOH (2x50 mL), dried over anhydrous Na2SO4 and evaporated. The resulting compound was used without any further purification.
The ester 19 [17] from the previous step was refluxed in a mixture of 11.4 mL (136 mmol) of concentrated hydrochloric acid and 11.4 mL of water for 12h. The reaction mixture was evaporated to dryness under reduced pressure and the residue treated with 20 mL of boiling ethanol, filtered from the insoluble materials and cooled to RT. Diethyl ether (20 mL) was added and the precipitated crystals were filtered off and dried on air to afford 2.83 g (51% overall yield - 2 steps) of brown solid with m.p. = >250 °C (dec.).
1H NMR: (DMSO, 400 MHz) δ = 2.81 (s, 6H), 3.51 (br. s, 2H), 4.46 (br.s, 2H), 7.08 (d, J = 8.4 Hz, 2H), 7.91 (d, J = 8.4 Hz, 2H), 11.10 (br. s, 1H). Carboxylic proton is missing.

Figure 1: Five representative 2-oxo-1, 2-dihydroquinoline based compounds among known drugs and leads [1].

Figure 2: Example of Biologically Relevant Natural Product containing guanidine moieties
GENERAL PROCEDURE OF REDUCTIVE AMINATION OF 6-METHYL-2-OXO-1, 2-DIHYDROQUINOLINE-3-CARBALDEHYDE WITH BENZYL- AND PHENETHYL-AMINES
1.4 Equiv. (1 extra equiv. is added for each HCl salt equiv. of the starting benzoic acid) of Et3N was added to a solution of 1 equiv. of the corresponding benzoic acid (0.05 M in CH2Cl2 or DMF) and 1.2 equiv. of HBTU. The resulting mixture was stirred for 10-15 min followed by the addition of 1 equiv. of the corresponding amine and further stirred at RT till the reaction was complete (TLC or LCMS control). The reaction mixture was diluted to 50 mL with CH2Cl2 and washed with 3x50 mL of aqueous solution of 5-20% of NaOH, 50 mL of brine, dried over anhydrous Na2SO4 , filtered and evaporated. The crude material was purified either by crystallization, flash column chromatography (CH2 Cl2 /MeOH) or preparative HPLC (MeCN/H2O/HCO2 H).
N-(3-Fluorophenethyl)-4-isobutoxy-N-((6-methyl-2- oxo-1, 2-dihydroquinolin-3-yl) methyl) benzamide (8a)
Compound 8a was achieved according to the general procedure by using 13 mL of CH2Cl2 as a solvent and 0.2 g of 6a as starting material. After the work up, the crude compound was treated with 3x10 mL of hot methanol, filtered off and dried on air. From 0.2 g of 6aitwas possible to achieve 0.2 g (65% yield) of 8aas an off-white solid with m.p. 256-258°C.
treated with 3x10 mL of hot methanol, filtered off and dried on air. From 0.2 g of 6aitwas possible to achieve 0.2 g (65% yield) of 8aas an off-white solid with m.p. 256-258°C.
13C NMR: (DMSO, 100 MHz) δ = 19.0 (2C), 20.4, 27.6, 73.8, 113.0 (d, J = 20.5 Hz), 114.1 (4C), 114.8, 115.5 (d, J = 21.2 Hz), 119.0, 124.9, 127.4, 128.1, 128.5, 128.9, 130.2 (d, J = 8.1 Hz), 130.8, 131.1, 134.9, 135.9, 159.5, 161.0, 163.4, 171.0. 2 carbons in the aliphatic area are missing (CH2 carbons near tertiary amide nitrogen).
N-(4-Fluorobenzyl)-4-guanidino-N-((6-methyl-2- oxo-1, 2-dihydroquinolin-3-yl) methyl) benzamide (8b)
Compound 8b was achieved accordingly to the general procedure by using 9 mL of DMF as a solvent and ~0, 13 g of 6b as starting material. However, the reaction did not proceed to completion (LCMS control). Any further attempt to improve the conversion yield, by increasing the number of equiv. of benzoic acid and/or conducting the reaction at higher temperature, was unsuccessful and led to the decomposition of desired product. The crude compound was purified by preparative HPLC (MeCN/ H2O/HCO2H) and lyophilized.
8b was obtained in 16 mg (8% yield, 12% b.r.s.m. yield) as a light-yellow solid with m.p. >230 °C (dec.).
1H NMR: (DMSO, 400 MHz) δ = 2.36 (s, 3H), 4.34 (br. s, 2H), 4.66 (br. s, 2H), 7.10-7.19 (m, 4H), 7.20-7.25 (m, 1H), 7.26-7.38 (m, 3H), 7.45-7.56 (m, 3H), 7.67 (br. s, 1H), 8.40 (br. s, 1H). The guanidine proton signals overlap with the water proton signal.
N-((6-Methyl-2-oxo-1, 2-dihydroquinolin-3-yl) methyl)-N-(4-methylbenzyl)-4-((4-methylpiperazin1-yl) methyl) benzamide (8c)
Compound 8c (0.18 g, 69% yield) was achieved as a yellow solid accordingly to the general procedure by using 20 mL of CH2Cl2 as a solvent and 0.15 g of 6c as starting material. The crude compound (0.29 g) was purified by flash column chromatography eluting with a gradient mixture of CH2Cl2/MeOH (20:1 to 5:1), Rf = 0, 28, CHCl3/MeOH = 7:1.
m.p. = 199-201 °C.
1H NMR: (CDCl3, 400 MHz) δ = 2.35 (s, 3H), 2.38 (s, 3H), 2.42 (s, 3H), 2.55 (br. s, 8H), 3.50 (br. s, 2H), 4.49 (br. s, 1H), 4.59-4.76 (m, 2H), 4.81 (br. s, 1H), 7.15 (br. s, 3H), 7.21-7.41 (m, 7H), 7.45 (d, J = 7.2 Hz, 2H), 12.11 (br. s, 1H).
13C NMR: (CDCl3, 100 MHz) δ = 21.1, 21.2, 29.8, 45.6, 48.1, 52.4, 54.9 (2C), 62.4 (2C), 115.7, 119.7, 120.0, 126.7, 127.1, 127.2, 128.5, 129.2 (2C), 129.5, 129.6, 131.8, 132.0, 132.3, 132.6, 134.0, 134.1, 135.1, 137.4, 140.0, 163.0, 172.9.
N-benzyl-4-guanidino-N-((6-methyl-2-oxo-1, 2-dihydroquinolin-3-yl) methyl) benzamide (8d)
N-benzyl-4-guanidino-N-((6-methyl-2-oxo-1, 2-dihydroquinolin-3-yl) methyl) benzamide (8d) procedure by using 11 mL of DMF as a solvent and ~0.15 g of 6d as starting material. However, the reaction did not proceed to completeness (LCMS control). Any further attempt to improve the conversion of the starting material, by increasing the number of equiv. of benzoic acid and/or conducting the reaction at higher temperatures, was unsuccessful and led to the decomposition of the desired product 8d. The crude compound was purified by a preparative HPLC (MeCN/H2O/HCO2H) and lyophilized.
m.p. >200 °C (dec.).
1H NMR: (DMSO, 400 MHz) δ = 2.36 (s, 3H), 4.21-4.45 (m, 2H), 4.69 (br. s, 2H), 7.11-7.25 (m, 4H), 7.25-7.40 (m, 5H), 7.44- 7.61 (m, 3H), 7.61-8.05 (m, 4H), 8.40 (br. s, 1H), 11.80 (br. s, 1H).
4-(2-(Dimethylamino) ethoxy)-N-((6-methyl-2- oxo-1, 2-dihydroquinolin-3-yl) methyl)-N-phenethyl benzamide (8e)
Compound 8e (0.17 g, 52% yield) was achieved as a grey solid accordingly to the general procedure by using 15 mL of CH2Cl2 as a solvent and 0.2 g of 6e as starting material. The crude compound was dissolved in 15 mL of boiling methanol, cooled to RT, precipitated by the addition of 30 mL of diethyl ether, filtered off and dried on air.
m.p. = 233-235 °C.
1H NMR: (DMSO, 400 MHz) δ = 2.19 (br. s, 6H), 2.33 (br. s, 3H), 2.54-2.73 (m, 2H), 2.73-3.06 (m, 2H), 3.44-3.73 (m, 2H), 4.05 (br. s, 2H), 4.22 (br. s, 1H), 4.54 (br. s, 1H), 6.77-7.08 (m, 3H), 7.11-7.45 (m, 8H), 7.53 (br. s, 1H), 7.68 (br. s, 1H), 11.83 (br. s, 1H).
13C NMR: (DMSO, 100 MHz) δ = 19.0 (2C), 20.4, 27.6, 73.8, 113.0 (d, J = 20.5 Hz), 114.1 (4C), 114.8, 115.5 (d, J = 21.2 Hz), 119.0, 124.9, 127.4, 128.1, 128.5, 128.9, 130.2 (d, J = 8.1 Hz), 130.8, 131.1, 134.9, 135.9, 159.5, 161.0, 163.4, 171.0. 2 carbons in the aliphatic area are missing (CH2 carbons near tertiary amide nitrogen).
CONCLUSION
Five novel 2-oxo-1, 2-dihydroquinoline-based compounds have been successfully synthesized and characterized. The study is expected to give more impetus to use compounds with this chemotype for screening in drug discovery.
ACKNOWLEDGEMENTS
This study was supported by NIH Grant RO1 AI081604 (AKD) and the intramural fund from the New York Blood Center (AKD). We thank Inna Bashina for editing the manuscript.
