Loading

JSM Environmental Science and Ecology

Analysis of Solar and Galactic Cosmic Rays Induced Atmospheric Ionizing Radiation: Impacts for Typical Transatlantic Flights and Antarctica Environment

Mini Review | Open Access | Volume 5 | Issue 3

  • 1. Department of Physics Instrumentation Environment and Space, ONERA-the French Aerospace Lab, France
  • 2. Department Treatment of Information and System, ONERA-the French Aerospace Lab, France
+ Show More - Show Less
Corresponding Authors
Guillaume Hubert, ONERA-The French Aerospace Lab, Department of Physics, France, Tel: 33562252885; Fax: 335622252569;
Abstract

This paper analyses atmospheric ionizing radiations induced by Galactic and Solar Cosmic Rays (GCR and SCR, respectively) thanks to continuous measurements of neutron spectrum operated in high-altitude stations. Analyses are reinforced using GCR and SCR models, and extensive air shower descriptions based on nuclear transport simulations. First analyses were focused on neutron fluxes as function of altitude. Secondly, atmospheric ionizing radiation impacts on biological doses during quiet period and extreme solar events are presented. On the basis of the relevant comparisons conducted for ambient dose equivalent during quiet solar activity, but also for the comic ray variations calculated and recorded on neutron monitor (NM) during Ground Level Enhancement (GLE) event. GLE 5 model was applied to London ↔ New-york flight dose calculations. All of these results show that dose values vary drastically, on the one hand with the route path (latitude, longitude altitude), on the other hand with the phasing of the solar event. Specific case of Antarctica is discussed because it combines both the high altitude and the very low magnetic field. Analyses show that ionizing radiation in Antarctica environment can be a problematic from the point of view of the human dose, which exerts classical recommendations established for public. This highlights the importance of monitoring atmospheric ionizing radiation, more particularly extreme solar events, then to develop semi-empirical and particle transport method for reliable calculation of dose levels.

Keywords

• Atmospheric ionizing radiation

• Neutron spectrometry

• Ambient dose equivalent

• Antarctica

Citation

Hubert G, Aubry S (2017) Analysis of Solar and Galactic Cosmic Rays Induced Atmospheric Ionizing Radiation: Impacts for Typical Transatlantic Flights and Antarctica Environment. JSM Environ Sci Ecol 5(3): 1050.

ABBREVIATIONS

ICRP: International Commission on Radiological Protection; SEE: Single Event Effect; SEP: Solar Energetic Particles; EHD: High Density Polyethylene; CHINSTRAP: Continuous High-altitude Investigation of Neutron Spectra for Terrestrial Radiation Antarctic Project; GCR: Galactic Cosmic Ray; SCR: Solar Cosmic Ray; CR: Cosmic Ray; ATMORAD: Atmospheric Radiation; IPEV: French Polar Institute; NM: Neutron Monitor; GLE: Ground Level Enhancement; GEANT4: Geometry and Tracking; MCNPx: Monte Carlo N-Particle extended; SAA: South Atlantic Anomaly; DNA: Deoxyribonucleic Acid

INTRODUCTION

Cosmic rays are one of the major sources of natural radiation exposure to humans. In the 2000 Report of the United Nations Scientific Committee of the Effects of Atomic Radiation, the annual effective dose due to cosmic ray exposure averaged over the world’s population was evaluated to be 0.38 mSv. Antarctic region was characterized by its high altitude and proximity to the geomagnetic pole, which conjugate induces large dose levels. International agencies have established recommended dose limits for both workers and the general public for different types of terrestrial and atmospheric activities. Thus, national or continental regulations have been adopted in many areas based on these recommendations. Concerning the ICRP [1], recommendations for annual effective dose are 20 mSv and 1 mSv averaged over a five year period for aircrews and for the public, respectively. They also recommended a 2 mSv limit on the accumulated dose over nine months of pregnancy. From a general point of view, ionizing radiation has been proved a major stress that can induce carcinogenesis. Indeed, the Deoxyribonucleic Acid (DNA) is the main target of ionizing radiation, exposure of which is followed by many types of damages, as DNA doublestrand breaks (DSBs) which are considered the most relevant lesion for mutations and carcinogenesis. In the case of natural radiation from the atmosphere, effects are probabilistic contrary to the high flux environments.

Thus, the knowledge of the atmospheric ionizing radiations and their dynamics are essential issues in the evaluation of the assessment of radiation [2,3] and Single Event Effect (SEE) [4- 9] risk in aviation. Moreover, usage of atmospheric ionizing radiations (mainly secondary muons) to image the geological structure density was developed during the past ten years. Recent applications demonstrate the method interest to monitor magma movements inside volcanoes [10] or density variations in aquifers and the critical zone in the near surface. First applications were conducted by George [11] to measure the thickness of a tunnel in Australia, and later by Alvarez et al. [12], to find a hidden chamber in the Egyptian Pyramid of Chephren. These applications confirm the interest to quantify the atmospheric ionizing radiations and their dynamics which depend from atmospheric and ground geophysical properties and space activities (including solar flare events). Galactic Cosmic Rays (GCR) [13] are energetic particles, mostly protons and α-particles, which originate from outside of the solar system. GCR are mostly composed by protons and α-particles, but also by energetic particles including all of the elements in the periodic table. GCR initiate a nucleonic-electromagnetic cascade in the atmosphere, with the main energy losses at altitudes below 30 km resulting in ionization, dissociation and excitation of molecules. Thus, neutrons, protons, muons, pions and electrons are the main secondary particles produced by the interaction of GCR with the nuclei of the constituents of the atmosphere. At sea level, muons are the most numerous terrestrial species, and they are decay products of mesons produced in hadronic cascades initiated by primary cosmic rays, usually made of very energetic protons. In ground environment, neutron fluxes can also be impacted by the interaction of alpha particles emitted by radon [14], by the weather condition [15-17] or by seismic activities [18,19]. Besides, cosmic and terrestrial sources, atmospheric neutrons may be also be generated by lightning discharges [20,21].

The objective of this paper is to analyze the atmospheric ionizing radiation induced by CR, using firstly a world network of neutron spectrometer measuring continuously and simultaneously the neutron spectrum, and secondly a modelling approach based on extensive air shower simulations and ForceField approximation model for CR. Dependences of CR inducedneutron fluxes in regard of the altitude and geophysical locations are presented, and radiation impacts on biological doses are analyzed considering quiet period and extreme solar events. Then, Antarctica environment is investigated because it combines both the high altitude and the very low magnetic field.

MATERIALS AND METHODS

Neutron spectrometer network

A Bonner multi-sphere neutron spectrometer extended to high neutron energies was developed to measure and investigate the energy spectrum of the cosmic-ray induced neutrons, considering the energy range from meV to GeV. As detailed in previous works [22,23], this system was composed of spherical 3 He proportional counters surrounded with spherical PEHD (high density polyethylene) moderators with different thicknesses. Additionally, the spectrometer includes two PEHD spheres with inner tungsten and lead shells (7/8? and 9?, respectively) in order to increase the response to neutrons above 20 MeV. The total counts of each detector were obtained by summing the total counts over a given integration time. The response functions (deduced from GEANT4 [24] and/or MCNPx [25] calculations) were used to convert the measured counting rates to neutron energy spectrum.

A first neutron spectrometer is operated at the summit of the Pic-du-Midi (42° 55’N, 0° 08’E, 2885 meters above the sea level) in the French Pyrenees at 2885 m above sea level since May 2011. Moreover, in the framework of the CHINSTRAP project support by IPEV (French Polar Institute), a second neutron spectrometer is operated in the Concordia research station (Antarctica) since December 2015. This station is located at Dome C on the Antarctic Plateau (75° 06’ S, 123° 23’ E, (Figure 1))

View of the high-altitude stations and the neutron spectrometer operated since May 2011 in the Pic-du-Midi Observatory and December 2015 in the Concordia station.

Figure 1: View of the high-altitude stations and the neutron spectrometer operated since May 2011 in the Pic-du-Midi Observatory and December 2015 in the Concordia station.

at height of 3233 meters above the sea level. The site has an almost zero rigidity cut-off (R <0.01 GV), i.e., no geomagnetic shielding even for low-energy particles. Moreover, a third instrument was operated in the Pico dos Dias Observatory (22° 32’ S, 45° 34’ W, 1864 meters above the sea level) in 2016. (Figure 1) presents the Concordia station, the Pic du Midi Observatory and their neutron spectrometers.

Galactic and solar cosmic rays model

The Force-Field approximation model is usually used to describe primary CRs. It provides a simple parametric approximation of the differential spectrum of GCR and it contains only one variable parameter named the modulation potential φ(t). Therefore, the whole energy spectrum for protons and α-particles can be described by φ(t) whose value is given in units of MV.

Modulation potential φ(t) and sunspot number are particularly relevant at providing an overview of the solar activity. Thus, several methodologies have been developed for the reconstruction of time series of the modulation potential φ(t). Among these methods, an atmospheric radiation model named ATMORAD [26] based on GEANT4 simulations allows to evaluate the modulation potential. Previous works [26,27] have demonstrated the ability of ATMORAD to deduce the neutron fields related to any altitude, longitude and latitude from fixed high altitude measurements.

Nevertheless, Solar Energetic Particles (SEPs) can produce additional instantaneous atmospheric effects during the relatively short periods, potentially affecting the Earth’s environment. Solar CR (SCR) intensity distribution observed on the Earth depends on some characteristics as the source site, the acceleration mechanism, the coronal transport, and the ejection profile as well as the transport of accelerated particles through the interplanetary magnetic field. Thus, during typical SEP events with enhanced flux of low energy (i.e. <100 MeV for protons), the effect is limited to the upper atmosphere, and it is sufficient to apply an analytical approximation of direct ionization. However, during Ground Level Enhancements (GLEs), solar proton spectra can extend up to 1-10 GeV, energies that are high enough to induce cascades of particles in the atmosphere. Thus, a GLE model was integrated in ATMORAD, mainly based on SCR expressed by the following equation:

S_{SCR}(E,t)=S(E,t)\psi (\Omega ,R,t)

Where (?, R,t)

is the anisotropy function reflecting the distribution of solar cosmic ray particles at the top of the atmosphere during the solar event, revealing information on the way these particles propagated in the interplanetary magnetic field and finally arrived a the vicinity of the Earth.

S(E,t) is the differential SCR rigidity spectrum in a solid angle of asymptotic direction. This model was detailed in [26], the differential SCR energy spectrum can be deduced from

S(E,t)=\frac{\delta J(E,t)}{\delta E}

J ( E, t) thanks to equation 1: (1) The Band function [28] is a convenient starting point for atmospheric ionization other radiation effect calculations, since it can be readily transformed into a differential spectrum in kinetic energy Thus, the integral omnidirectional integrated fluence in protons/cm² of SEP can be represented using the Band function:

J(E,t)=J_{0}(E,t)*(\sqrt{E^{2}+2.E_{0}.E})^{-\gamma (t)}                    (2)

Where J0 (E,t) is the solar energy particle intensity, γ(t) is the power index, E0 is the protons’s rest-mass energy (equal to 0.938 GeV), and the term  (\sqrt{E^{2}+2.E_{0}.E}) corresponds to the rigidity R.

S(E,t)=\frac{J_{0}(t)*\gamma (t)}{4.\pi }*(\sqrt{E^{2}+2.E_{0}.E})^{-\gamma (t)}*\frac{E+E_{0}}{E^{2}+2.E_{0}.E}                                 (2)

Concerning the anisotropy function, it represents the distribution of solar cosmic ray particles at the top of the atmosphere during the GLE, revealing information on the way these particles propagated in the interplanetary magnetic field and finally arrived at the vicinity of the Earth. The anisotropy function was investigated in [29] thanks to NMs data, with the anisotropy index characterizing the width of the solar particle beam.

Extensive air showers modelling

The incidental primary spectrum is composed by the GCR and SCR contributions Described by

J_{GCR,SCR}(E_{i},t)=J_{i}((E_{i},\phi (t)))+J_{SCR}(E_{i},t)

Nuclear transport method were commonly used to analyse atmospheric ionizing radiations. A methodology named ATMORAD was previously presented [26], it integrates a database describing the atmospheric radiation and built thanks to simulations of extensive air showers. Simulations were performed using GEANT4 version 9.4.2 with the following models: standard QGSP_BIC_HP reference physics user list (i.e. Quark Gluon String with Precompound - Binary Intranuclear Cascade - High Precision cross sections from ENDF- VI library). ATMORAD platform [26] allows to determine the spectral fluence rate of secondary particles (including neutrons, protons, muons and electrons) induced by extensive showers, considering altitude range from ground to 45 km, taking into account the GCR and SCR spectra and the magnetic field impact. Some comparisons with standard approaches and measurements had demonstrated the relevance of ATMORAD, including in flight neutron spectra measurements, high altitude monitoring and NMs data. Thus, this flow allows to investigate the atmospheric radiation dynamic, the link between the atmospheric and the space environments, and the effects induced by radiations including SEE and ambient dose equivalent.

Dose assessment

Knowledge of atmospheric ionizing radiations is opportunity to assess the ambient dose equivalent H* (10) representing the dose equivalent that would be produced by the corresponding expanded and aligned field at a depth of 10 mm in an ICRU sphere with diameter of 30 cm. Thus, fluence to ambient dose equivalent conversions coefficients [30-35] were used, and the dose or dose rate can be calculated by considering a given flight route define by its characteristics (latitudes, longitudes and altitudes). A comparable approach is possible to quantify the SEE risks.

To conclude this part, materials and methods are based on network composed by neutron spectrometers operating simultaneously at mid-latitude and Antarctica high-altitude stations, and a modeling platform dedicated to extrapolate the atmospheric ionizing radiation (including spectrum and secondary type and considering solar activity and extreme solar event impact).

RESULTS AND DISCUSSION

Flux analyses during quiet solar period

The first analysis presented in (Figure 2)

Altitude dependence of the neutron, proton and muon fluxes, results obtained for a solar activity characterized by 480 MV and the  geomagnetic  latitude equals to 0 GV (South pole condition).

Figure 2: Altitude dependence of the neutron, proton and muon fluxes, results obtained for a solar activity characterized by 480 MV and the  geomagnetic  latitude equals to 0 GV (South pole condition).

presents the altitude variation of the fluxes obtained during a quiet solar activity (June 2016) characterized by 480 MV and the geomagnetic latitude equals to 0 GV. The modulation potential was deduced from the cascade neutron flux measured in the Concordia station, and it is relevant with values extracted from NMs. The neutron flux measured in Concordia in June 2016 is added and shows the relevance of calculations. For the high altitude, neutrons are the main contribution to the atmospheric radiation field. Altitude variation of particles derives from competition between various production and removal processes. The result is a maximum in the flux at about 18-km (i.e. 60 kFt) called the Pfotzer maximum.

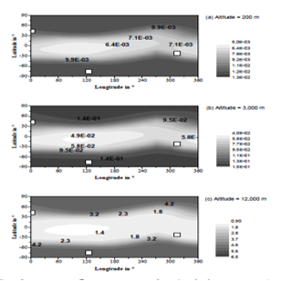
It is possible to deduce the neutron, proton and muon cartographies, considering an energy domain, using ATMORAD and measured cascade neutrons. Thus, (Figure 3)

Total neutron flux cartography (unit in neutron/cm²/s) deduced from ATMORAD and neutron spectrum measurements (June 2016, 480 MV) and considering an altitude of (a) 200, (b) 3,000 and (c) 12,000 meters. Squares indicate the Pic-du-Midi, Concordia and the Pico-dos-Dias locations.

Figure 3: Total neutron flux cartography (unit in neutron/cm²/s) deduced from ATMORAD and neutron spectrum measurements (June 2016, 480 MV) and considering an altitude of (a) 200, (b) 3,000 and (c) 12,000 meters. Squares indicate the Pic-du-Midi, Concordia and the Pico-dos-Dias locations.

illustrates the world maps of the total neutron flux (thermal to GeV energies) considering three altitudes: (a) 200, (b) 3,000 and (c) 12,000 respectively. Squares indicate the Picdu- Midi observatory, the Concordia station and the Pico dos Dias observatory. Orders of magnitude are consistent and the South Atlantic Anomaly (SAA) singularity can be identified.

The network of remote neutron spectrometers strategically (reference laboratory in Pic- du-Midi and Antarctica) deployed can provide real-time data of atmospheric radiation fields. Thus, to complete data presented in (Figure 3), the (Table 1)

Table 1: Calculated and measured neutron fluxes in the Concordia station and the Pic-du- Midi Observatory on March 2017.

 

 

 

Pic du Midi

Concordia

Measured ATMORAD

 

 

8.03E-02 n/cm²/s

7.94E-02 n/cm²/s

 

 

0.182 n/cm²/s

0.176 n/cm²/s

compares the neutron fluxes measured in the Concordia station and the Picdu-Midi Observatory on March 2017. Additionally, calculations are compared with measurements.

Atmospheric ionizing radiation impacts on doses for flights

A quiet solar activity was considered in this part to calculate the ambient dose equivalent for flights operated in 2001 for which measurements are available for comparison [37]. The modulation potential will be considered in all calculations equal to 800 MV in agreement with [38], which is an approximation inducing differences with the measurements. The calculated ambient doses equivalents along 20 given flight are compared with measurements in (Figure 4) [37].

 Ambient dose equivalent in µSv, obtained by calculations (ATMORAD) and issued from measurement presented in Bentley et al. [25], Standard deviations were added, resulting from route profile variation and experimental uncertainties for calculations and measurements, respectively.

Figure 4: Ambient dose equivalent in µSv, obtained by calculations (ATMORAD) and issued from measurement presented in Bentley et al. [25], Standard deviations were added, resulting from route profile variation and experimental uncertainties for calculations and measurements, respectively.

Standard deviations are considered for calculations and measurements but they do not have the same origin. Indeed, for calculations, standard deviation results from the route diversity, while it results from experimental uncertainties for measurements. Orders of magnitude are consistent, whatever the destination (city, continent), particularly for the London – New-York flights. However, a significant difference is observed for the Hong-Kong - London flight (43.7 and 55 µSv for calculation and measurement, respectively). Complementary results [36] indicate that dose levels presented in [37] are overrated, probably induced by a perturbation of measurements. Concerning transatlantic flights, the typical total ambient dose equivalent is about 50 µSv.

On the contrary, estimations differ by one order of magnitude for the contribution induced by certain SEPs. For most GLEs, the additional dose is minor compared to the typical annual effective dose of aircrews (i.e. 20 mSv). The maximum value of the ambient dose equivalent rate of about 10 mSv/hr was estimated during a GLE which occurred in February 1956 (noted GLE 5) at subsonic altitude. However, GLE can produce large local differences in the dose rate. Lantos et al. [37], proposed analyses of about sixty GLEs (since 1942) and conclude that for four of them, the induced dose is of the order of 1 mSv and more.

Thus, (Figure 5) presents the calculated ambient dose equivalent considering GLE 5 occurring during London → New York flights. Dose levels are presented as function of the delay between the departure flight and the GLE start.

Calculated ambient dose equivalent in mSv for London-New York and New York-London flights, considering GLE 5 occurring after a variable delay (0 to 6 hours). Error bars represent the dose variability induced by route profiles (more than 50 profiles for the both flights).

Figure 5: Calculated ambient dose equivalent in mSv for London-New York and New York-London flights, considering GLE 5 occurring after a variable delay (0 to 6 hours). Error bars represent the dose variability induced by route profiles (more than 50 profiles for the both flights).

Error bars represent the dose variability induced by route profiles (more than 50 profiles for the both flights). An important dissymmetry was observed, due to the both anisotropy characteristics and rigidity cutoff properties. Given the anisotropy of GLE 5, the most critical period from the point of view of the received dose is the proximity to the western European area. Thus, the critical delays are obtained for 1-2 and 3-4 hours for the London - New York and New York - London flights, respectively. The average ambient dose equivalent is around to 1.6 mSv. In [37] [29], potential exposures on board airplane on different route during GLE 5 were proposed. For the flight Paris - Washington flight, the evaluated dose value is around 1.75 mSv. Although these flights are not identical, orders of magnitude are sufficiently close to conclude a good consistency.

This results shown that contrarily to the classical solar flare inducing Forbush decreases or/and classical GLEs, severe GLEs can induce much larger dose levels. Then, for most GLEs, the additional dose is minor compared to the typical annual effective dose. Concerning the GLE 5, additional doses obtained for transatlantic can be a few hundreds or thousands µSv, impacting significantly the annual effective dose.

Antarctica polar environment

In the point of view of atmospheric ionizing radiation, the Antarctic is a special environment because it combines high altitude (Domes are characterized by an altitude of the order of 3000-4000 meters) and a very low rigidity (~ 0 GV). Moreover, it is interesting to investigate the impact of extreme solar particle events, given the potential anisotropy of SCR.

First results presented in (Figure 6), show calculated (ATMORAD including GLE model) and measured (neutron monitors, NM) cosmic ray variations, for the Mc Murdo and Thule stations, respectively. The McMurdo Station is a United States Antarctic research center on the south tip of Ross Island (77° 51′S 166° 40′E, sea level) and the Thule station is located on the northwest side of the island of Greenland (76° 31′N 068° 42′ W, sea level). Results concern the most recent large-intensity GLE has occurred on 20 January 2005 (noted GLE 69), and it has the advantage of having been monitored by a large number of NM. Moreover, some researchers have investigated the SCR intensity and dynamics. These results show the ability to model the anisotropy of the GLE. To complete results presented in (Figure 6),(Table 2)

Cosmic ray variations measured and calculated during the GLE of 20 January 2005 in the Mc Murdo and Thule stations.

Figure 6: Cosmic ray variations measured and calculated during the GLE of 20 January 2005 in the Mc Murdo and Thule stations.

Table 2: Count rates measured and calculated during GLE 69 on the Mac Murdo and Thule stations.

 

McMurdo (counts/s)

Thule (counts/s)

 

Exp.

Calc.

Exp.

Calc.

07:00:00

2790

2596

118

111

07:15:00

1110

852

177

201

07:30:00

598

461

224

239

08:00:00

385

375

171

178

contains absolute count rate values [41], obtained by measurements and calculations for four characteristics times of the GLE 69 (07:00:00, 07:15:00, 07:30:00 and 08:00:00 UT, respectively). While the (Figure 6) was based on relative variations, count rates presented in the (Table 2) demonstrate that simulations (i.e. GLE model and extensive air shower databases) provides relevant absolute values and suggest the ability to investigate the ambient dose equivalent induced by radiation field, including extrapolations for the entire continent.

Figure 7 presents cartography of ground ambient dose equivalent rate (in µSv/hr) in Antarctica continent during quiet solar period and considering the realistic ground altitude (rock and ice thickness) issued from Quantarctica tool [42].

Cartography of ground ambient dose equivalent rate (in µ Sv/hr) in Antarctica continent during quiet solar period.  Results take  into account the realistic ground altitude.

Figure 7: Cartography of ground ambient dose equivalent rate (in µ Sv/hr) in Antarctica continent during quiet solar period.  Results take  into account the realistic ground altitude.

There is an order of magnitude on the rate, between the upper part of the Dome and the littoral coast. Thus, ambient dose equivalent rate on Domes are of the orders of 0.25 to 0.40 µSv/hr. This corresponds for a winterer to an annual dose of the order of 3 to 4 mSv. This demonstrates that ionizing radiation in Antarctica environment can be a problematic from the point of view of the human dose, which exerts classical recommendations established for public. For comparison, this annual dose level is equivalent to approximately 40 round trip-typical transatlantic flights during quiet solar period.

Given these first results, it is important to quantify the impact of an extreme solar event. Thus, cartographies of ground ambient dose equivalent rate (in µSv/hr) in Antarctica continent during GLE 69 are presented in (Figure 8) for time (a) T0, (b) T0+15 min and (c) T0+30 min.

 Cartographies of ground ambient dose equivalent rate (in µ Sv/hr) in Antarctica continent during GLE 69, (a) T0, (b) T0+15 min and (c) T0+30 min. Results take into account the realistic ground altitude.

Figure 8: Cartographies of ground ambient dose equivalent rate (in µ Sv/hr) in Antarctica continent during GLE 69, (a) T0, (b) T0+15 min and (c) T0+30 min. Results take into account the realistic ground altitude.

Ambient dose equivalent rates increase drastically during the GLE event, particularly close to the Domes A, B and C. This implies that the occupants of Concordia (Fr, It) and Vostok (Ru) stations suffered directly the GLE impact. However, this GLE is rather short, involving a total dose of the order of 50 to 100 µSv, that is low compared to the annual total dose.

Then, these results demonstrate that atmospheric ionizing radiation induced by cosmicrays can be a problematic in Antarctica environment from the point of classical recommendations established for public. In the specific case of GLE 69 event, calculations show limited impact on additional dose, in contrast to avionic altitudes. However, considering the limited number of monitored events and influences of the GLE anisotropy on dose assessment, this issue deserves special attention.

CONCLUSION

First analyses were focused on neutron fluxes as function of altitude and geophysical locations. Results confirm that at sea level, muons are the most numerous terrestrial species with neutron. Orders of magnitude of calculations are consistent with measurements in Concordia and the Pic-du-Midi.

On the basis of the relevant comparisons conducted for ambient dose equivalent during quiet solar activity, but also for the comic ray variations calculated and recorded on NMs during GLE event, GLE model was applied to flight dose calculations. GLE 5 model was applied to flight dose calculations. All of these results show that dose values vary drastically, on the one hand with the route path (latitude, longitude altitude), on the other hand with the phasing of the solar event. The combination of high dose rates and a prompt dynamics induces dose levels of about a few mSv for typical transatlantic flights (London ↔ New York). The GLE 69 has the property of being located on the oriental Antarctic (Domes A, B and C) during its most intense phase, moderately impacting the flight routes on the northern hemisphere. However, analyses of dose rate and total dose were investigated and show that ionizing radiation in Antarctica environment can be a problematic from the point of view of the human dose, which exerts classical recommendations established for public. For comparison, this annual dose level is equivalent to approximately 40 round trip typical transatlantic flights during quiet solar period. Although the analysis of GLE 69 shows a limited impact on dose, this issue deserves special attention.

This highlights the importance of monitoring atmospheric ionizing radiation, more particularly extreme solar events, then to develop semi-empirical and particle transport method for reliable calculation of dose levels.

ACKNOWLEDGEMENTS

The authors thank F. Lacassagne and the technical staff for their supports at the Pic-du- Midi observatory. We are thankful to the personnel of the Concordia station for their great help and hard work in harsh conditions, D. Tuillier from IPEV, L. Milano and S. Chicarella.

The Bartol Research Institute neutron monitor program is supported by the United States National Science Foundation under grants PLR-1245939 and PLR-1341562, and by the University of Delaware Department of Physics and Astronomy and Bartol Research Institute.

Quantarctica was originally developed for in-house use at the Norwegian Polar Institute.

REFERENCES

1. The 2007 Recommendations of the International Commission on Radiological Protection, ICRP Publication 103. Ann ICRP. 2007; 37: 1-332.

2. Reitz G. Radiation environment in the stratosphere. Radiat Prot Dosimetry. 1993; 48: 5-20.

3. Goldhagen P, Clem JM, Wilson JW. The energy spectrum of Cosmic-Ray induced Neutrons measured on an Airplane over a wide range of Altitude and Latitude. Radiat Prot Dosimetry. 2004; 110: 387-392.

4. Peronnard P, Velazco R,Hubert G. Real-life SEU experiments on 90nm SRAMs in Atmospheric Environment: measures vs. predictions done by means of MUSCA SEP3 platform. IEEE TNS. 2009.

5. Raine M, Hubert G, Paillet P, Gaillardin M, Bournel A. Implementing Realistic Heavy Ion Tracks in a SEE Prediction Tool: Comparison Between Different Approaches. Nuclear Science. 2012; 59: 950-957.

6. Hubert G, Artola L, Regis D. Impact of scaling on the soft error sensitivity of bulk, FDSOI and FinFET technologies due to atmospheric radiation. 2015; 50: 39-47.

7. Lambert D, Baggio J, Hubert G, Ferlet-Cavrois V, Flament O, et al. Neutron-induced SEU in SRAMs: Simulations with n-Si and n-O interactions. Nuclear Science. 2005; 52: 2332-2339.

8. Lambert D, Baggio J, Hubert G, Paillet P, Girard S, Ferlet-Cavrois V, et al. Analysis of Quasi- Monoenergetic Neutron and Proton SEU Cross Sections for Terrestrial Applications. Nuclear Science. 2006; 53: 1890-1896.

9. Hubert G, Velazco R, Frederico C, Cheminet A, Silva-Cardenas C, Caldas LVE, et al. Continuous high-altitude measurements of cosmic ray neutron and SEU/MCU at various locations: correlation and analyses based-on MUSCA-SEP3. Nuclear Science. 2013; 60: 2418-2426.

10. Tanaka H, Nagamine K, Kawamura N, Nakamura SN, Ishida K, Shimomura K. Development of the cosmic-ray muon detection system for probing internal-structure of a volcano. Hyperfine Interactions. 2001; 138: 521-526.

11. George E. P. Cosmic rays measure overburden of tunnel. Commonwealth Engineer. 1955; 455–457.

12. Alvarez LW, Anderson JA, El Bedwei F, Burkhard J, Fakhry A, Girgis A, et al. Search for hidden chambers in the pyramids. Science. 1970; 167: 832-839.

13. Mewaldt RA. Galactic cosmic ray composition and energy spectra. Adv Space Res. 1994; 14: 737-747.

14. Kuzhevskij BM, Nechaev OY, Panasyuk MI, Sigaeva EA, Volodichev NN, Zakharov VA. Neutron field of the Earth, Origin and dynamics. J Radiat Prot. 2001; 26: 315-319.

15. Eroshenko EP, Velinov A, Belov V, Yanke E, Pletnikov Y, Tassev Y, et al. Relationships between cosmic ray neutron flux and rain flows, paper presented at 21st European Cosmic Ray Symposium, Tech. Univ. of Kosice, Kosice, Slovakia. 2008.

16. Lockwood JA, Yingst HE. Correlation of meteorological parameters with cosmic ray neutron intensities. Phys Rev. 1956; 104: 1718-1722.

17. Mishev A, Stamenov J.Tendency for relation between rain flows and neutron flux at basic environmental observatory Moussala, paper presented at 21st European Cosmic Ray Symposium, Tech. Univ. of Kosice, Kosice, Slovakia. 2008.

18. Volodichev NN, Zakharov VA, Kuzhevskij BM, Nechaev OY, Podorolski AN, Chubenko AP, et al. The flows of neutrons of space radiation and from terrestrial crust, Proceedings of the 27th International Cosmic Ray Conference, Int. Union of Pure and Appl. Phys., Hamburg, Germany, 2001.

19. Alekseenko VV, Djapuev DD, Gavriluk YM, Gromushkin DM, Kudjaev AU, Kuzminov VV, et al. Observation of thermal neutron flux variations connected with lunar periods, Proceedings of the 30th International Cosmic Ray Conference, Mérida, Mexico, 2008.

20. Libby LM, Lukens HR. Production of radiocarbon in tree rings by lightning bolts. J Geophys Res.1973; 78: 5902-5903.

21. Martin IM, Alves AM. Observation of a possible neutron burst associated with a lightning discharge. J Geophys Res. 2010; 115: 1-4.

22. Cheminet A, Lacoste V, Gressier V, Hubert G, Martin A, Pépino M. Characterization of the IRSN neutron multisphere spectrometer (HERMEIS) at European standard calibration fields. IOP Science Journal of Instrumentation. 2012; 7.

23. Cheminet A, Hubert G, Lacoste V, Maurin D, Derome L. Cosmic-Ray Solar Modulation and Forbush Decrease analyses based on atmospheric neutron spectrometry at mountain altitude and GEANT4 simulations of Extensive Air Showers. Space Physics. 2013; 118: 7488-7496.

24. GEANT4, a toolkit for the simulation of the passage of particles through matter.

25. MCNPx, a General Monte Carlo N-Particle (MCNP) Transport Code.

26. Hubert G, Cheminet A. Radiation effects investigations based on atmospheric radiation model (ATMORAD) considering GEANT4 simulations of extensive air showers and solar modulation potential. Radiat Res. 2015; 184: 83-94.

27. Hubert G. Analyses of cosmic ray induced-neutron based on spectrometers operated simultaneously at mid-latitude and Antarctica high-altitude stations during quiet solar activity. J Astropartphys. 2016; 83: 30-39.

28. Band D, Matteson J, Ford L, Schaefer B, Palmer D, Teegarden B, et al. BATSE observations of gamma-ray burst spectra. I-Spectral diversity. Astrophys J. 1993; 413: 281-292.

29. Plainaki C, Belov A, Eroshenko E, Mavromichalaki H, Yanke V. Modeling ground level enhancements: Event of 20 January 2005. Space Physics. 2007; 112.

30. Pelliccioni M. Overview of Fluence-to-Effective Dose and Fluence-to-Ambient Dose Equivalent Conversion Coefficients for High Energy Radiation Calculated Using the FLUKA Code. Radiat Prot Dosimetry. 2000; 88: 279-297.

31. Ferrari A, Pelliccioni M, Pillon M. Fluence to Effective Dose Conversion Coefficients for Muons. Radiat Prot Dosimetry. 1997; 74: 227-233.

32. Ferrari A, Pelliccioni M, Pillon M. Fluence to Effective Dose and Effective Dose Equivalent Conversion Coefficients for Protons from 5 MeV to 10 GeV. Radiat Prot Dosimetry. 1997; 71: 85-91.

33. Ferrari A, Pelliccioni M, Pillon M. Fluence to Effective Dose and Effective Dose Equivalent Conversion Coefficients for Electrons from 5 MeV to 10 GeV. Radiat Prot Dosimetry. 1997; 69: 97-104.

34. Sato T, Endo A, Zankl M, Petoussi-Hens N, Niita K. Fluence-to-dose conversion coefficients for neutrons and protons calculated using the PHITS code and ICRP/ICRU adult reference for computational phantoms. Phys Med Biol. 2009; 54: 1997-2014.

35. Tatsuhiko S, Akira E, Koji N. Fluence-to-Dose Conversion Coefficients for Muons and Pions Calculated Based on ICRP Publication 103 Using the PHITS Code. Progress in Nuclear Science and Technology. 2011; 2: 432-436.

36. Alvares LE, Eastham SD, Barret SRH. Radiation dose to the global flying population. Journal of Radiological Protection. 2016; 36: 93-103.

37. Bentley RD, Iles RHA, Jones JBL, Hunter R, Taylor GC, Thomas DJ. Monitoring cosmic radiation on aircraft. Proceedings of the second solar cycle and space weather Euroconference. 2002; 535-538.

38. Usoskin IG, Bazilevskaya GA, Kovaltsov GA. Solar modulation parameter for cosmic rays since 1936 reconstructed from ground-based neutron monitors and ionization chambers. Solar and Heliospheric Physics. 2011; 116.

39. Lantos P. Radiation doses potentially received on-board aeroplanes during recent solar particle events. Radiat Prot Dosimetry. 2006; 118: 363-374.

40. Lantos P, Fuller N. Semi-empirical model to calculate potential radition exposure on board airplane during solar particle events. IEEE trans on Plasma Sci. 2004; 32: 1468-1477.

41. University of Delaware Bartol Research Institute Neutron Monitor Program.

42. Quantarctica, collection of Antarctic geographical datasets.

Hubert G, Aubry S (2017) Analysis of Solar and Galactic Cosmic Rays Induced Atmospheric Ionizing Radiation: Impacts for Typical Transatlantic Flights and Antarctica Environment. JSM Environ Sci Ecol 5(3): 1050.

Received : 17 Jun 2017
Accepted : 17 Jul 2017
Published : 23 Jul 2017
Journals
Annals of Otolaryngology and Rhinology
ISSN : 2379-948X
Launched : 2014
JSM Schizophrenia
Launched : 2016
Journal of Nausea
Launched : 2020
JSM Internal Medicine
Launched : 2016
JSM Hepatitis
Launched : 2016
JSM Oro Facial Surgeries
ISSN : 2578-3211
Launched : 2016
Journal of Human Nutrition and Food Science
ISSN : 2333-6706
Launched : 2013
JSM Regenerative Medicine and Bioengineering
ISSN : 2379-0490
Launched : 2013
JSM Spine
ISSN : 2578-3181
Launched : 2016
Archives of Palliative Care
ISSN : 2573-1165
Launched : 2016
JSM Nutritional Disorders
ISSN : 2578-3203
Launched : 2017
Annals of Neurodegenerative Disorders
ISSN : 2476-2032
Launched : 2016
Journal of Fever
ISSN : 2641-7782
Launched : 2017
JSM Bone Marrow Research
ISSN : 2578-3351
Launched : 2016
JSM Mathematics and Statistics
ISSN : 2578-3173
Launched : 2014
Journal of Autoimmunity and Research
ISSN : 2573-1173
Launched : 2014
JSM Arthritis
ISSN : 2475-9155
Launched : 2016
JSM Head and Neck Cancer-Cases and Reviews
ISSN : 2573-1610
Launched : 2016
JSM General Surgery Cases and Images
ISSN : 2573-1564
Launched : 2016
JSM Anatomy and Physiology
ISSN : 2573-1262
Launched : 2016
JSM Dental Surgery
ISSN : 2573-1548
Launched : 2016
Annals of Emergency Surgery
ISSN : 2573-1017
Launched : 2016
Annals of Mens Health and Wellness
ISSN : 2641-7707
Launched : 2017
Journal of Preventive Medicine and Health Care
ISSN : 2576-0084
Launched : 2018
Journal of Chronic Diseases and Management
ISSN : 2573-1300
Launched : 2016
Annals of Vaccines and Immunization
ISSN : 2378-9379
Launched : 2014
JSM Heart Surgery Cases and Images
ISSN : 2578-3157
Launched : 2016
Annals of Reproductive Medicine and Treatment
ISSN : 2573-1092
Launched : 2016
JSM Brain Science
ISSN : 2573-1289
Launched : 2016
JSM Biomarkers
ISSN : 2578-3815
Launched : 2014
JSM Biology
ISSN : 2475-9392
Launched : 2016
Archives of Stem Cell and Research
ISSN : 2578-3580
Launched : 2014
Annals of Clinical and Medical Microbiology
ISSN : 2578-3629
Launched : 2014
JSM Pediatric Surgery
ISSN : 2578-3149
Launched : 2017
Journal of Memory Disorder and Rehabilitation
ISSN : 2578-319X
Launched : 2016
JSM Tropical Medicine and Research
ISSN : 2578-3165
Launched : 2016
JSM Head and Face Medicine
ISSN : 2578-3793
Launched : 2016
JSM Cardiothoracic Surgery
ISSN : 2573-1297
Launched : 2016
JSM Bone and Joint Diseases
ISSN : 2578-3351
Launched : 2017
JSM Bioavailability and Bioequivalence
ISSN : 2641-7812
Launched : 2017
JSM Atherosclerosis
ISSN : 2573-1270
Launched : 2016
Journal of Genitourinary Disorders
ISSN : 2641-7790
Launched : 2017
Journal of Fractures and Sprains
ISSN : 2578-3831
Launched : 2016
Journal of Autism and Epilepsy
ISSN : 2641-7774
Launched : 2016
Annals of Marine Biology and Research
ISSN : 2573-105X
Launched : 2014
JSM Health Education & Primary Health Care
ISSN : 2578-3777
Launched : 2016
JSM Communication Disorders
ISSN : 2578-3807
Launched : 2016
Annals of Musculoskeletal Disorders
ISSN : 2578-3599
Launched : 2016
Annals of Virology and Research
ISSN : 2573-1122
Launched : 2014
JSM Renal Medicine
ISSN : 2573-1637
Launched : 2016
Journal of Muscle Health
ISSN : 2578-3823
Launched : 2016
JSM Genetics and Genomics
ISSN : 2334-1823
Launched : 2013
JSM Anxiety and Depression
ISSN : 2475-9139
Launched : 2016
Clinical Journal of Heart Diseases
ISSN : 2641-7766
Launched : 2016
Annals of Medicinal Chemistry and Research
ISSN : 2378-9336
Launched : 2014
JSM Pain and Management
ISSN : 2578-3378
Launched : 2016
JSM Women's Health
ISSN : 2578-3696
Launched : 2016
Clinical Research in HIV or AIDS
ISSN : 2374-0094
Launched : 2013
Journal of Endocrinology, Diabetes and Obesity
ISSN : 2333-6692
Launched : 2013
Journal of Substance Abuse and Alcoholism
ISSN : 2373-9363
Launched : 2013
JSM Neurosurgery and Spine
ISSN : 2373-9479
Launched : 2013
Journal of Liver and Clinical Research
ISSN : 2379-0830
Launched : 2014
Journal of Drug Design and Research
ISSN : 2379-089X
Launched : 2014
JSM Clinical Oncology and Research
ISSN : 2373-938X
Launched : 2013
JSM Bioinformatics, Genomics and Proteomics
ISSN : 2576-1102
Launched : 2014
JSM Chemistry
ISSN : 2334-1831
Launched : 2013
Journal of Trauma and Care
ISSN : 2573-1246
Launched : 2014
JSM Surgical Oncology and Research
ISSN : 2578-3688
Launched : 2016
Annals of Food Processing and Preservation
ISSN : 2573-1033
Launched : 2016
Journal of Radiology and Radiation Therapy
ISSN : 2333-7095
Launched : 2013
JSM Physical Medicine and Rehabilitation
ISSN : 2578-3572
Launched : 2016
Annals of Clinical Pathology
ISSN : 2373-9282
Launched : 2013
Annals of Cardiovascular Diseases
ISSN : 2641-7731
Launched : 2016
Journal of Behavior
ISSN : 2576-0076
Launched : 2016
Annals of Clinical and Experimental Metabolism
ISSN : 2572-2492
Launched : 2016
Clinical Research in Infectious Diseases
ISSN : 2379-0636
Launched : 2013
JSM Microbiology
ISSN : 2333-6455
Launched : 2013
Journal of Urology and Research
ISSN : 2379-951X
Launched : 2014
Journal of Family Medicine and Community Health
ISSN : 2379-0547
Launched : 2013
Annals of Pregnancy and Care
ISSN : 2578-336X
Launched : 2017
JSM Cell and Developmental Biology
ISSN : 2379-061X
Launched : 2013
Annals of Aquaculture and Research
ISSN : 2379-0881
Launched : 2014
Clinical Research in Pulmonology
ISSN : 2333-6625
Launched : 2013
Journal of Immunology and Clinical Research
ISSN : 2333-6714
Launched : 2013
Annals of Forensic Research and Analysis
ISSN : 2378-9476
Launched : 2014
JSM Biochemistry and Molecular Biology
ISSN : 2333-7109
Launched : 2013
Annals of Breast Cancer Research
ISSN : 2641-7685
Launched : 2016
Annals of Gerontology and Geriatric Research
ISSN : 2378-9409
Launched : 2014
Journal of Sleep Medicine and Disorders
ISSN : 2379-0822
Launched : 2014
JSM Burns and Trauma
ISSN : 2475-9406
Launched : 2016
Chemical Engineering and Process Techniques
ISSN : 2333-6633
Launched : 2013
Annals of Clinical Cytology and Pathology
ISSN : 2475-9430
Launched : 2014
JSM Allergy and Asthma
ISSN : 2573-1254
Launched : 2016
Journal of Neurological Disorders and Stroke
ISSN : 2334-2307
Launched : 2013
Annals of Sports Medicine and Research
ISSN : 2379-0571
Launched : 2014
JSM Sexual Medicine
ISSN : 2578-3718
Launched : 2016
Annals of Vascular Medicine and Research
ISSN : 2378-9344
Launched : 2014
JSM Biotechnology and Biomedical Engineering
ISSN : 2333-7117
Launched : 2013
Journal of Hematology and Transfusion
ISSN : 2333-6684
Launched : 2013
Journal of Cardiology and Clinical Research
ISSN : 2333-6676
Launched : 2013
JSM Nanotechnology and Nanomedicine
ISSN : 2334-1815
Launched : 2013
Journal of Ear, Nose and Throat Disorders
ISSN : 2475-9473
Launched : 2016
JSM Ophthalmology
ISSN : 2333-6447
Launched : 2013
Journal of Pharmacology and Clinical Toxicology
ISSN : 2333-7079
Launched : 2013
Annals of Psychiatry and Mental Health
ISSN : 2374-0124
Launched : 2013
Medical Journal of Obstetrics and Gynecology
ISSN : 2333-6439
Launched : 2013
Annals of Pediatrics and Child Health
ISSN : 2373-9312
Launched : 2013
JSM Clinical Pharmaceutics
ISSN : 2379-9498
Launched : 2014
JSM Foot and Ankle
ISSN : 2475-9112
Launched : 2016
JSM Alzheimer's Disease and Related Dementia
ISSN : 2378-9565
Launched : 2014
Journal of Addiction Medicine and Therapy
ISSN : 2333-665X
Launched : 2013
Journal of Veterinary Medicine and Research
ISSN : 2378-931X
Launched : 2013
Annals of Public Health and Research
ISSN : 2378-9328
Launched : 2014
Annals of Orthopedics and Rheumatology
ISSN : 2373-9290
Launched : 2013
Journal of Clinical Nephrology and Research
ISSN : 2379-0652
Launched : 2014
Annals of Community Medicine and Practice
ISSN : 2475-9465
Launched : 2014
Annals of Biometrics and Biostatistics
ISSN : 2374-0116
Launched : 2013
JSM Clinical Case Reports
ISSN : 2373-9819
Launched : 2013
Journal of Cancer Biology and Research
ISSN : 2373-9436
Launched : 2013
Journal of Surgery and Transplantation Science
ISSN : 2379-0911
Launched : 2013
Journal of Dermatology and Clinical Research
ISSN : 2373-9371
Launched : 2013
JSM Gastroenterology and Hepatology
ISSN : 2373-9487
Launched : 2013
Annals of Nursing and Practice
ISSN : 2379-9501
Launched : 2014
JSM Dentistry
ISSN : 2333-7133
Launched : 2013
Author Information X