Interpreting Susceptibility Testing of Carbapenem Against Pseudomonas aeruginosa
- 1. Service de Bactériologie-Hygiène, Assistance Publique - Hôpitaux de Paris, Groupe Hospitalier Pitié-Salpêtrière, France
- 2. Service de Reanimation Médicale, Assistance Publique - Hôpitaux de Paris, Groupe Hospitalier Pitié-Salpêtrière, France
- 3. Department of Anesthesiology, Service de Réanimation polyvalente, Assistance Publique - Hôpitaux de Paris, Groupe Hospitalier Pitié-Salpêtrière, France
- 4. Sorbonne Universités, Centre d’Immunologie et des Maladies Infectieuses, France
- 5. Inserm, U135, Centre d’Immunologie et des Maladies Infectieuses, France
Abstract
Objectives: Carbapenems are among the most powerful anti pseudomonal agents. Since meropenem and doripenem were marketed, there are limited data regarding drug susceptibility
testing by routine methods (disc diffusion and Etest) for them. The aim of our study was to compare in vitro activity of the imipenem, meropenem and doripenem against Pseudomonas aeruginosa
Methods: Three hundred and eleven P. aeruginosa strains isolated from respiratory specimens in 170 patients who developed ventilator-associated pneumonia in two intensive care units were collected over a period of 31 months. The susceptibility of all of these isolates to imipenem, meropenem and doripenem were determined by Etest and disc diffusion method.
Results: Considering either all of the isolates or only the first isolates recovered per patient (311 and 170 respectively) the susceptibility rate for doripenem was higher than that for
meropenem and imipenem. When MICs determined by Etest were converted into interpretative categories (S, I, R) using French (CA-SFM) guidelines, agreement was poor, especially for
meropenem and doripenem. The percent of agreement with the disc diffusion method were 90.6% and 89.7% for imipenem, 80.5% and 82.6% for meropenem and 80.5% and 73.3%
for doripenem, for the first isolates and all of the isolates, respectively. Errors were mostly minor errors, and the rate of errors was as high as 17.7% and 16.1% for meropenem and 17.7% and 25.7% for doripenem for the first isolates and all of the isolates, respectively
Conclusion: The accuracy of disc diffusion using CA-SFM guidelines appears unsatisfactory for all the three carbapenems justifying the adaptation of new guidelines for P. aeruginosa and carbapenems
Keywords
• Antimicrobial susceptibility testing
• Microbiology
• Breakpoints
• Carbapenems
• Pseudomonas aeruginosa
Citations
Micaelo M, Brossier F, Brechot N, Luyt CE, Lu Q, et al. (2016) Interpreting Susceptibility Testing of Carbapenem Against Pseudomonas aeruginosa. JSM Microbiology 4(1): 1028.
INTRODUCTION
Pseudomonas aeruginosa is one of the main organisms responsible for hospital-acquired infections, such as urinary tract infections and ventilator associated pneumonia (VAP) [1,2]. Only a few antibiotics are available for the treatment of P. aeruginosa infections since this organism is naturally multiresistant due to the combination of impermeability, multiple efflux systems, and a chromosomal Amp β-lactamase. P. aeruginosa can also develop acquired resistance to many antibiotics (cephalosporins, carbapenems, fluoroquinolones, aminosides…) [3,4]. Three of the four available carbapenems, i.e. imipenem, meropenem and doripenem, are among the most powerful anti pseudomonal agents. The spectrum of activity of these carbapenems differs, doripenem, a recently approved parenteral 1β-methylcarbapenem, being more active against Gram-positive organisms than meropenem and more active against Gram- negative organisms than imipenem [5,6]. Since meropenem and doripenem were recently marketed, there are limited data regarding the interpretation of susceptibility tests using EUCAST and CA-SFM (European Committee on Antimicrobial Susceptibility Testing and Antibiogram Committee of the French Society for Microbiology, respectively) breakpoints and the correlation of results yielded by the two methods widely used for in vitro susceptibility testing on agar, i.e. disc diffusion method and MICs determination by Etest. The aim of our study was to compare the results obtained for imipenem, meropenem and doripenem against P. aeruginosa using both methods.
MATERIALS AND METHODS
Bacterial strains
Consecutives isolates (n=311) of P. aeruginosa were prospectively collected by the laboratory of bacteriology at the Pitié-Salpêtrière hospital (Paris, France), over a period of 31 months (January 2009 to July 2011). These isolates were obtained from respiratory specimens from 170 patients who developed P. aeruginosa VAP in two intensive care units. Fiftysix (33%) patients had at least one VAP recurrence, defined as the persistence or reappearance of clinical and biological signs of infection and significant concentrations of Pseudomonas aeruginosa in lower respiratory tract specimens at least two days (but no more than 28 days) after completing antibiotic therapy for the first episode. Three hundred and eleven isolates have been studied: 170 resulting of the first episode of VAP and 141 of the subsequent episodes. After collection, the strains were frozen and stored for future analysis. P. aeruginosa CIP 76110 (ATCC 27853) was used as control.
Antimicrobial susceptibility testing
The susceptibilities of the isolates to imipenem, meropenem and doripenem were determined by disc diffusion method (Biorad®, Marnes-la-Coquette, France) according to the guidelines of the Antibiogram Committee of the French Society for Microbiology (CA-SFM) usable till June 2016, as follows: overnight cultures on agar, suspension in distilled water to reach a turbidity equivalent to that of a 0.5 McFarland standard, then diluted to 1/10, inoculation of Mueller-Hinton agar plates (Biorad®) by swabbing, incubation for 18h at 37° C. The discs containing 10 µg doripenem, meropenem and imipenem were supplied by Biorad®.
MICs of the carbapenems were determined by Etest (Biomérieux®, Marcy l’Etoile, France) on Mueller-Hinton agar using manufacturer’s instructions. Etest MICs values were rounded up to the nearest twofold dilution.
MIC’s results were also interpreted according to 2013 guidelines from the Antibiotic drug susceptibility of the French Society for Microbiology (CA-SFM), used in France and usable till June 2016 (Table 1)
Table 1: Carbapenem breakpoints (diameter by disc diffusion method and MICs) recommended by European and French antibiotic susceptibility tests committees, for P. aeruginosa
|
Committee |
|
|
DORIPENEM |
|
|||||||||||
|
Diameter (mm) |
MIC (mg/L) |
Diameter (mm) |
MIC (mg/L) |
Diameter (mm) |
MIC (mg/L) |
||||||||||
|
S |
R |
S |
R |
S |
R |
S |
R |
S |
R |
S |
R |
||||
|
EUCAST |
≥20 |
<17 |
≤4 |
>8 |
≥24 |
<15 |
≤2 |
>8 |
≥25 |
<19 |
≤1 |
>4 |
|||
|
CA-SFM |
≥22 |
<17 |
≤4 |
>8 |
≥22 |
<15 |
≤2 |
>8 |
≥24 |
<19 |
≤1 |
>4 |
|||
S, susceptible; R, resistant
For each of the three carbapenems, these guidelines recommend the same breakpoints than the European Committee on Antimicrobial Susceptibility Testing (EUCAST) (Table 1).
Result analysis
The minimum concentrations of antibiotic required to inhibit the growth of 50% and 90% of the isolates tested (MIC50 and MIC90, respectively) were calculated for each agent. The agreement between interpretative categories based on disc diffusion method and Etest was evaluated for the isolates of the first episodes (n=170) and for all the isolates (n’=311). MICs yielded by the latter being used as the reference. A very major error (VME) was defined as susceptibility by the agar diffusion method but resistance by the Etest, a major error (ME) as resistance by the agar diffusion method but susceptibility by the Etest, and a minor error (mE) as intermediate susceptibility by one method and susceptibility or resistance by the other method (CLSI and FDA sets standards).
The regression curve between the MIC values on the Y-axis and the inhibition diameters (arithmetic scale) on the x-axis was determined by the least squares method on 311 isolates, whose distribution is depicted in (Figure 1)
Figure 1: Regression line and scatter gram of (A) imipenem, (B) meropenem and (C) doripenem minimum inhibitory concentrations (MICs) versus zone diameter breakpoints recommended by the CA-SFM for all the isolates of P. aeruginosa included in the study (n=311). The broken lines represent the CA-SFM/EUCAST MICs breakpoints values and the dot lines represent the diameters breakpoints values recommended the CA-SFM. The number of strains at each point is noted in a circle at scale.
Software
All calculations were done using Microsoft Excel 2010 (Microsoft Corporation Redmond, WA, USA) and BiostaTGV website (http://marne.u707.jussieu.fr/biostatgv/). Pearson’s χ2 tests were used for testing categorization differences.
RESULTS
Activity of imipenem, meropenem and doripenem against P. aeruginosa (Table 2, Figure 2, Figure 3)
We evaluated the activity of imipenem, meropenem and doripenem against P. aeruginosa using Etest and disc diffusion methods by studying either only the isolates recovered from the first episode per patient(n=170) either all the isolates (n’=311).
For the first isolates recovered per patient (n=170), MICs measured by Etest have shown that doripenem displayed the most potent activity with MIC50 and MIC90 of 0.25 and 8 mg/L, respectively; meropenem and imipenem being less potent with MIC50 / MIC90 of 0.38 / >32 and 2 / >32 mg/L, respectively.
For all the isolates (n=311), MICs measured by Etest have shown that doripenem displayed also the most potent activity with MIC50 and MIC90 of 0.75 and 12 mg/L, respectively; meropenem and imipenem being less potent with MIC50 / MIC90 of 1 / >32 and 4 / >32 mg/L, respectively.
When MICs determined by Etest were converted into interpretative categories breakpoints, the proportion of strains categorized as susceptible were 61% (n=104) for imipenem, 64% (n=111) for meropenem, and 69% (n=118) for doripenem considering only the first isolates (Table 2)
Table 2: Carbapenems susceptibility determined against P. aeruginosa isolates by Etest and by disc diffusion method interpreted using the CA-SFM guidelines
|
Carbapenem |
|
Disc diffusion |
|
|||||||||
|
R% |
|
S% |
I% |
|
||||||||
|
IMIPENEM |
61 |
2 |
37 |
57 |
8 |
35 |
0.50 |
|||||
|
|
50 |
3 |
47 |
45 |
10 |
45 |
0.20 |
|||||
|
MEROPENEM |
64 |
13 |
23 |
72 |
18 |
10 |
0.24 |
|||||
|
|
56 |
18 |
26 |
61 |
25 |
14 |
0.29 |
|||||
|
DORIPENEM |
69 |
15 |
16 |
82 |
9 |
9 |
0.01 |
|||||
|
|
59 |
23 |
18 |
76 |
13 |
11 |
<0.001 |
|||||
A Etest versus disc diffusion (S versus I+R), in bold: p<0.05
B First isolates were recovered from the first VAP per patient (n=170), whereas “all” corresponds to all the isolates included in the study whatever the number of VAP episode.
Considering all the isolates, the proportion of strains categorized as susceptible were 50% (n=157) for imipenem, 56% (n=175) for meropenem, and 59% (n=183) for doripenem (Table 2). The susceptibility rate assessed was only significantly higher for doripenem than imipenem (p= 0.04), whereas no difference between the three carbapenems was observed considering only the first isolates
As illustrated by (Figures 2, 3)
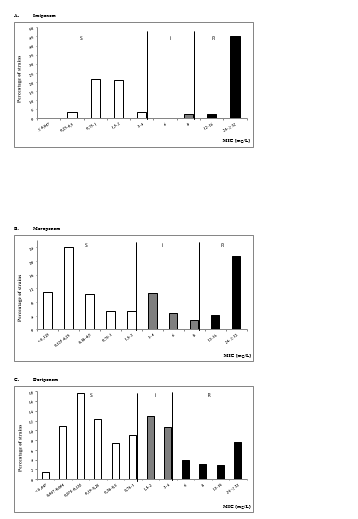
Figure 2: Distribution (%) of the MICs of imipenem (A), meropenem (B) and doripenem (C) against the P. aeruginosa strains recovered from the first VAP per patient (n=170). Susceptible strains are represented in white, intermediate strains in grey and resistant strains in black according to the CA-SFM/ EUCAST breakpoints (represented by the lines).
Figure 3: Distribution (%) of the MICs of imipenem (A), meropenem (B) and doripenem (C) against all the P. aeruginosa strains included in the study (n=311). Susceptible strains are represented in white, intermediate strains in grey and resistant strains in black according to the CA-SFM/ EUCAST breakpoints (represented by the lines).
for imipenem, strains which belong to the wild-type population are classified as susceptible and are clearly different from the intermediate and resistant population; whereas for doripenem and meropenem less clear delineation between susceptible and intermediate and resistant population is observed. Indeed, a distinct population begin at 1.5 mg/L for meropenem and at 0.5 mg/L for doripenem (i.e. slightly below susceptibility breakpoints).
By disc diffusion method, the susceptibility rate assessed was significantly higher for doripenem, than for meropenem and imipenem for either the first isolates or all the isolates
Comparing results obtained by disc diffusion method and by Etest using CA-SFM guidelines (Table 2, Figure 1)
The percent of agreement in term of interpretative categories between the results obtained by the disc diffusion following CA-SFM guidelines and Etest method were 90.6% and 89.7% for imipenem, 80.5% and 82.6% for meropenem, and 80.5% and 73.3% for doripenem, for the first isolates and all of the isolates, respectively. These differences in susceptibility rates (S versus I+R) between Etest and disc diffusion method reached statistically significance for doripenem, whereas the differences were not statistically significant for meropenem and imipenem (Table 2).
Errors were mostly minor errors (mE). The ME rates were 9.4% and 10.3% for imipenem, 17.7% and 16.1% for meropenem, and 17.7% and 25.7% for doripenem, for only for the first isolates and for all the isolates, respectively. No major error (ME) was observed for any carbapenem, and very major errors (VME) were rarely observed for meropenem (1.8% and 1.3%, only for the first isolates and for all the isolates, respectively), and doripenem (1.8% and 1%, only for the first isolates and for all the isolates, respectively), but not for imipenem.
DISCUSSION
Carbapenems are potent agents against P. aeruginosa. Unfortunately, there are only few data regarding correlation of the two widely methods used for susceptibility testing in laboratories, whereas disagreeing breakpoints had been shown to be led to confusion [7]. Our study aimed to compare the results obtained for imipenem, meropenem and doripenem against P. aeruginosa using both methods.
We found that doripenem was the most active drug against P. aeruginosa, followed by meropenem and imipenem, as previously published by several authors [5,8-10]. Based on MIC results , the susceptibility rate did not exceed 70% (69% for the first isolates, 59% for all the isolates) for doripenem, and was lower for imipenem (61% for the first isolates, 50% for all the isolates), underlining the ability of P. aeruginosa to develop acquired resistance whose phenotypic expression can differ according to the penem compound. Of course, the local origin of the clinical strains included in the study, whose resistance mechanisms were not characterized, does not allow yielding definite conclusions concerning the respective advantage of one penem over the others.
Disc diffusion method and Etest are two methods widely used for susceptibility testing in microbiological laboratories [11]. Since Etest method is the most convenient method used for MIC determination in routine clinical practice and was demonstrated to yield results in good agreement compared to the reference broth-micro dilution method by several studies [10, 12-16], we compared disc diffusion results with Etest MICs. Agreement between disc diffusion method and Etest was limited, especially for doripenem (over estimation of susceptibility by 13% (p=0.01) or 17% (p<0.001), for only for the first isolates and for all the isolates, respectively, and despite a lack of statistical significance, for imipenem (underestimation of susceptibility rate by 4% or 5%, for only for the first isolates and for all the isolates, respectively) and meropenem (over estimation by 8% or 5%, for only for the first isolates and for all the isolates, respectively) according to the number of studied isolates (Table 2). Errors were almost exclusively minor errors but the percentage was high, particularly for meropenem and doripenem (≈ 17% -25%). The higher rate of errors observed when studying all the isolates compared to the one observed when studying only the first isolates could be due to the higher resistance rate observed among all the strains. Indeed, as explained in a previous study more than 50% of the strains isolated from a second episode of VAP have a modified susceptibility to carbapenems [17]. Discrepancies for doripenem most often resulted from cases where the strain was intermediate by Etest method but was susceptible by disc diffusion method (64% whatever the isolates considered), which could lead to therapeutic hazard. Given the recommandation not to exceed ≥1.5% for very major errors, ≥3% for major errors and 10% for minor errors as recommended [18], the accuracy of disc diffusion using CA-SFM guidelines appears unsatisfactory for all the three carbapenems. The strains for which a discrepancy was observed were retested and the same results were observed in each case (data not shown). Even if it is rather not adequate to interpret the inhibition zone diameter obtained with the CA-SFM methodology (lighter inoculum) with EUCAST guidelines (Table 1), attempt to do so suggest that the agreement could be better. Of course, trend should be confirmed by ad hoc studies.
Choosing a breakpoint able to discriminate between the wild-type and the non wild-type population is challenging. Yet, breakpoints determinations are based on clinical data, pharmacokinetic–pharmacodynamic (PK-PD) properties and MIC distributions [19-21]. EUCAST guidelines for penems and P. aeruginosa lead to clearly differentiate the strains belonging to the major wild-type population and those with higher MICs and categorized as intermediate or resistant. In order to homogenize the guidelines, the CA-SFM will apply the EUCAST breakpoints and methods from June 2016. In contrast, the CLSI guidelines are different and recommend similar breakpoints for the three carbapenems (2 and 8 mg/L). As a consequence, some strain can be categorized as susceptible, intermediate, or resistant, depending on the country where the patient is treated leading to a different therapeutical decision. These discrepancies between agencies are surprising since doripenem, meropenem and imipenem share similar pharmacokinetic–pharmacodynamic properties everywhere [6].
ACKNOWLEDGEMENTS
We thank Isabelle Podglajen and Laurent Raskine for their technical support and helpful discussion. We thank Renaud Mozet for computational assistance.
FUNDING ACKNOWLEDGEMENTS
This work was funded by a grant from Janssen- Cilag.
TRANSPARENCY DECLARATIONS
This work was funded by a grant from Janssen- Cilag but funder of the research played no decision-making role in the design, execution and analysis or reporting of the research.
REFERENCES
- Chastre J, Fagon JY. Ventilator- associated pneumonia. Is J Respi Crit Care Med. 2002; 165: 867–903.
- Driscoll JA, Brody SL, Kollef MH. The epidemiology, pathogenesis and treatment of Pseudomonas Aeruginosa infections. Drugs 2007; 67: 351–368.
- Lister PD, Wolter DJ, Hanson ND. Antibacterial-resistant Pseudomonas aeruginosa: clinical impact and complex regulation of chromosomally encoded resistance mechanisms. Clin Microbiol Rev. 2009; 22: 582–610.
- Lambert PA. Mechanisms of Antibiotic resistance in Pseudomonas Aeruginosa. JR Soc Med. 2002; 41: 22– 26.
- Jones RN, Huynh HK, Biedenbach DJ. Activities of doripenem (S-4661) against drug-resistant clinical pathogens. Antimicrob Agents Chemother. 2004; 48: 3136–3140.
- Zhanel GG, Wiebe R, Dilay L, Thomson K, Rubinstein E, Hoban DJ, et al. Comparative review of the carbapenems. Drugs. 2007; 67: 1027–1052.
- Gómez-Garcés JL, López-Fabal F, Burillo A, Gil Y. Pseudomonas aeruginosa and carbapenems: the urgent need to harmonise disagreeing breakpoints. Int J Antimicrob Agents. 2011; 38: 452–453.
- Brown SD, Traczewski MM. Comparative in vitro antimicrobial activity of a new carbapenem, doripenem: tentative disc diffusion criteria and quality control. J Antimicrob Chemother. 2005; 55: 944–949.
- Pillar CM, Torres MK, Brown NP, Shah D, Sahm DF. In vitro activity of doripenem, a carbapenem for the treatment of challenging infections caused by gram-negative bacteria, against recent clinical isolates from the United States. Antimicrob Agents Chemother. 2008; 52: 4388–4399.
- Nordmann P, Picazo JJ, Mutters R, Korten V, Quintana A, Laeuffer JM, et al. Comparative activity of carbapenem testing: the Compact study. J Antimicrob Chemother. 2011; 66: 1070–1078.
- Jorgensen JH, Ferraro MJ. Antimicrobial susceptibility testing: a review of general principles and contemporary practices. Clin Infect Dis. 2009; 49: 1749–1755.
- Amsler K, Santoro C, Foleno B, Bush K, Flamm R. Comparison of broth micro dilution, agar dilution, and Etest for susceptibility testing of doripenem against gram-negative and gram-positive pathogens. J Clin Microbiol. 2010; 48: 3353–3357.
- Torres E, Villanueva R, Bou G. Comparison of different methods of determining beta-lactam susceptibility in clinical strains of Pseudomonas aeruginosa. J Med Microbiol. 2009; 58: 625–629.
- Markelz AE, Mende K, Murray CK, Yu X, Zera WC, Hospenthal DR, et al. Carbapenem susceptibility testing errors using three automated systems, disk diffusion, Etest, and broth micro dilution and carbapenem resistance genes in isolates of Acinetobacter baumannii-calcoaceticus complex. Antimicrob Agents Chemother. 2011; 55: 4707–4711.
- Steward CD, Mohammed JM, Swenson JM, Stocker SA, Williams PP, Gaynes RP, et al. Antimicrobial susceptibility testing of carbapenems: multicenter validity testing and accuracy levels of five antimicrobial test methods for detecting resistance in Enterobacteriaceae and Pseudomonas aeruginosa isolates. J Clin Microbiol. 2003; 41: 351-358.
- Burns JL, Saiman L, Whittier S, Larone D, Krzewinski J, Liu Z, et al. Comparison of agar diffusion methodologies for antimicrobial susceptibility testing of Pseudomonas aeruginosa isolates from cystic fibrosis patients. J Clin Microbiol. 2000; 38: 1818-1822.
- Luyt CE, Aubry A, Lu Q, Micaelo M, Bréchot N, Brossier F, et al. Imipenem, meropenem, or doripenem to treat patients with Pseudomonas aeruginosa ventilator-associated pneumonia. Antimicrob Agents Chemother. 2014; 58: 1372-1380.
- Wayne PA. National Committee for Clinical Laboratory Standards. Development of In Vitro Susceptibility Testing Criteria and Quality Control Parameters: Approved Standard NCCLS. 2001.
- Comité de l’Antibiogramme de la Société Française de Microbiologie (CA-SFM). Société Française de Microbiologie. 2013.
- EUCAST Guidance documents in susceptibility testing. EUCAST. 2016.
- Clinical and Laboratory Standards Institute. Performance Standards for Antimicrobial Susceptibility Testing: Twenty-Third Informational Supplement M100-S23. CLSI, Wayne, PA, USA. 2013.


