Loading

Review article: Spectroscopic, Chromatographic and Electrochemical Analysis of Azithromycin in Different Matrices

Review | Open Access | Volume 8 | Issue 2

  • 1. Medicinal Chemistry Department, Faculty of Pharmacy, Zagazig University, Sharkia, 44519, Egypt
+ Show More - Show Less
Corresponding Authors
Mahmoud M. Sebaiy, Medicinal Chemistry Department, Faculty of Pharmacy, Zagazig University, Sharkia, 44519, Egypt, Tel: +201062780060, Fax: +20552303266
Abstract

In this literature review, we are introducing most of up-to-date reported methods that have been developed for determination of an important antibiotic which is azithromycin in its pure form, combined form with other drugs, combined form with degradation products, and in biological samples.

Keywords

•    Literature review
•    Antibiotic
•    Azithromycin
•    Degradation products
•    Biological samples

Citation

Sebaiy MM, Farouk EM, Lotfy EM, Mokhtar EM, Abd-Elgwad EN, et al. (2021) Review article: Spectroscopic, Chromatographic and Electrochemical Analysis of Azithromycin in Different Matrices. J Drug Des Res 8(2):1084.

INTRODUCTION

Antibiotics are specific chemical substances, originally produced by living organisms. Their structural analogs can be obtained through synthetic routes and are able to inhibit, even at low concentrations, vital processes of one or more species of bacteria. Nowadays, the main classes of commercially available antibiotics are penicillins, macrolides, cephalosporines (β-lactam antibiotics), tetracyclines, and aminoglycosides [1].

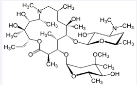
Chemical structure of AZM.

Figure 1: Chemical structure of AZM.

Azithromycin (AZM), chemically known as 9-deoxo-9a-aza9a-methyl-9a-homoerythromycin is an antibiotic discovered by a Croatian group of researches, initially named XZ-450. It was developed by PLIVA, in the USA, and had its approval for clinical use in 1991 [2]. AZM is an acid stable orally administered macrolide antimicrobial drug, structurally related to erythromycin, with a similar spectrum of antimicrobial activity [3].

The drug is noted for its activity against some Gramnegative organisms associated with respiratory tract infections, particularly Haemophilus influenzae. AZM has similar activity to other macrolides against Streptococcus pneumoniae and Moraxella catarrhalis, and is active against atypical pathogens such as Legionella pneumophila, Chlamydia pneumoniae and Mycoplasma pneumoniae [4].

Due to the current importance of this drug in treatment of pandemic COVID-19, this literature focuses on its mode of action and different analytical methods that have been developed for determination of this drug in different pharmaceutical and biological samples.

Pharmacological action

AZM is a macrolide antibiotic which inhibits bacterial protein synthesis and reduces the formation of biofilm. Accumulating effectively in cells, particularly phagocytes, it is delivered in high concentrations to sites of infection, as reflected in rapid plasma clearance and extensive tissue distribution. AZM is indicated for respiratory, urogenital, dermal and other bacterial infections, and  exerts immune-modulatory effects in chronic inflammatory disorders, including diffuse panbronchiolitis, post-transplant bronchiolitis and rosacea [5].

Review of analytical methods

Various techniques were used for the analysis of AZM in pure forms, in their pharmaceutical formulations and in biological fluids. The available reported methods in the literature can be summarized as follows:

1. Spectroscopic methods:
1.1 Spectrophotometric methods:

Drugs Matrix Method or reagent λmax (nm) Linearity range LOD Ref.
AZM Tablets Potassium Permanganate 547 2 - 20 μ ---------- [6]
AZM Tablets Ion pair complex with (Mo(V)–thiocyanate) 469 10−6 M - 10−5 M 2.54 x 10-7 M [7]
AZM Tablets UV spectrophotometry 275 1 - 4 m 0.6490 m [8]
AZM & Clarithromycin Tablets and Human Plasma Charge transfer reaction with p-chloranilic acid 530 5 - 50 μ-1 1.2 μ [9]
AZM   UV spectrophotometry 208 10 - 50 µ 1.6 µ [10]
AZM   Charge transfer reaction with Quinalizarin 564 4 - 20 m 0.35 mg/L [11]
AZM & Cefixime Tablets UV spectrophotometry 235 10 - 50 µ 1.67 µ [12]
AZM & Cefpodoxime Tablets UV Simultaneous equation 218 & 232 10 - 50 µ 0.52 & 2.20 µ [13]
AZM Tablets Protonation reaction with sulfuric acid 482 7.5 - 52.5 μ ---------- [14]
AZM Niosomes Protonation reaction with 75 % sulfuric acid 482 15 - 45 μ ---------- [15]
AZM Tablets Charge transfer complex with 2,4-Dinitrophenol 364 5 - 30 μ ---------- [16]
AZM & Roxithromycin Tablets Copper in acidic medium & N?bromosuccinimide 250 & 264 1 - 100 µ
2 - 140 µ
0.76 & 0.69 µ [17]
AZM Injections Protonation reaction with 85 % sulfuric acid 482 20 - 70 m ---------- [18]
AZM Tablets Ion pair complex with bromocresol green (BCG), bromocresol purple (BCB), bromophenol blue (BPB), bromothymol blue (BTB) 418 &
409&
415&
414 
2 - 20 &
2 - 18 &
2 - 12 &
2 - 14 µ
0.15 &
0.16 & 
0.23 &
0.14 μ
[19]
AZM Tablets Charge transfer with Alizarin Red 538 10 - 60 μ ---------- [20]
AZM Crystals Protonation reaction with sulfuric acid 483 18 - 72 μ ---------- [21]
AZM Dispersible tablets Protonation reaction with 75 % sulfuric acid 482 20 - 80 μ ---------- [22]
AZM & Erythromycin   Charge transfer complex with 1,2-naphthoquinone-4- sulphonate 452 1.5 - 33 μ 0.026 μ [23]

1.2. Spectrofluorimetric methods:

Drugs Matrix Fluorogenic Reagent (Method ) λex (nm) λem (nm) Linearity Range LOD Ref.
AZM, erythromycin, clarithromycin & roxithromycin Tablets, capsules and suspension Cerium in the presence of sulphuric acid 255 348 47.7- 477 n 11.62 n [24]
AZM Tablets 9.0 mol L−1 HCl 482 515 1 - 8 mg/L 0.23 mg/L [25]
AZM, erythromycin, clarithromycin & roxithromycin Tablets, capsules, granules & suspension Ion pair formation with eosin-G 480 550 0.04 - 2 µ 0.0114 µ [26]
AZM, erythromycin, clarithromycin & roxithromycin Tablets, capsules, granules, suspension, 10% (w/v) malonic acid + acetic anhydride 390 448 3 - 40 n n [27]
AZM Tablets & live cells N,S-CQDs 476 528 2.5–32.3 μM & 37.2– 110 μM 0.76 µM [28]

2. Chromatographic methods:
2.1. HPLC methods:

Drugs Matrix Column Mobile Phase Detector Linearity Range LOD Ref.
AZM Tablets Xterra C18 column (150× 4.6 mm; 5µ) Acetonitrile and phosphate buffer (50:50 v/v) UV at 215 nm 300 - 700 µ ---------- [29]
AZM Pharmaceutical dosage forms C18 column (5 μm, 250 mm× 4.6 mm) Isocratic methanol/buffer (90:10 v/v) UV at 210 nm 1 - 80 μ 0.3 μ [30]
AZM and Its Related Compounds Pharmaceutical dosage forms reversed-phase C18 column Isocratic elution of phosphate buffer–methanol (20:80) UV at 210 nm 0.3 - 2.0 m 0.0005 m [31]
AZM Pharmaceutical dosage forms column ODS-3 (250 mm× 4.6 mm x 5 μm) Methanol: Phosphate buffer (9:1 v/v) PDA at 210 nm 0.5 - 1.5 m 28.7 µ [32]
AZM Tablets C18 column Mixture of buffer, acetonitrile and methanol (60:20:20) Amperometric electrochemical detector with dual glass carbon electrodes + UV at 215 nm 0.6 - 3.0 m ---------- [33]
AZM Oral suspension Hypersil BDS-C18 column (250 mm × 4.6 mm ) Methanol, acetonitrile and phosphate buffer PDA at 212 nm 1.0 - 50.0 μ 14.40 n [34]
AZM Injections, capsules and tablets G1316 A column 250 mm × 4.6 mm, i.d., 5 μm) Ammonium acetate (0.05 M, pH=8.0) and acetonitrile (60:40, v/v) Evaporative light scattering detector (ELSD) 50.93 - 509.30 μ 6.75 μ [35]
AZM Tablet C8 column (250 mm X 4.6 mm, 5µ) Phosphate buffer and methanol in the ratio of (20:80 v/v). UV at 210 nm 10 - 80 ppm 52.246 µ [36]
AZM Tablets and Suspensions XTerra column (250 mm × 4.6 mm i.d., 5 µm particle size) acetonitrile- KH2 PO4 – tetrabutyl ammonium hydroxide -water (25:15:1:59 v/v/v/v) UV at 215 nm 50% - 150% 0.02% (20 µg) [37]
AZM, erythromycin & clarithromycin fish muscles Shodex A sahipak column Acetonitrile and phosphate buffer in the ratio of 60:40 (v/v) diode array detection at 210 nm 1.2 - 2.8 μ ---------- [38]
AZM, fluconazole & ornidazole Pharmaceutical dosage forms C18 column (4.6 x 250 mm, 5μ) mixture of acetonitrile and phosphate buffer (50:50 % v/v) UV at 210 nm 500 - 1000 µ 5.810 µ [39]
AZM & Ambroxol Hydrochloride Tablets 250 mm × 4.6 mm, 5 µm particle size, C18 (ODS) column Methanol: acetonitrile: phosphate buffer in ratio of (50:20:30) electrochemical, fluorescence, mass spectrometry and UV at 260 nm 25 - 125 µ ---------- [40]
AZM & Dexamethasone EYE DROPS GRACE ODS C18,( 250 x 4.6 mm, 5 µm) Methanol and 0.0335M Phosphate Buffer (pH 7.5) in the ratio of (80:20 v/v) UV at 230 nm 0.1 - 12 μ 1.60 μ [41]
AZM Raw matrial (Analyte) Quasar C18 (150 x 4.6 mm, 5 µm) MeOH:Buffer (80:20), (Phosphate, pH 7.5, 0.03 M) Amperometric electrochemical detection + UV at 210 nm ---------- ---------- [42]
AZM Pharmaceutical dosage forms C18 column, (5µm,250mm× 4.6mm) Methanol/buffer mobile phase at the ratio of (90:10) UV at 215nm 1 - 80 µ ---------- [43]
AZM & Artemether Suppositories Luna C8 EC 5mm, 150mm, 4.6 mm 80% methanol and 20% phosphate buffer 15 mM at pH 9. UV at 210 nm ---------- 0.015 g/L [44]
AZM & Erythromycin Human Urine ODB RP18 column (250 ×4.6 nm, 5µm) Acetonitrile –2-methyl-2-propanol– hydrogenphosphate buffer, pH 6.5, with 1.5% triethylamine (33:7: up to 100, v/v/v) UV at 210 nm 0.25–15 µg/ mL 0.12 [45]
AZM & Cefixime Tablets Hypersil C18 column (250 mm, 4.6mm, 5µm) Methanol: Buffer in ratio of (85:15) PDA at 275 nm 20-80 µ 0.25 µ [46]
AZM & Levofloxacin Tablets Waters symmetry shield Rp18 column, (250x4.6x5µ) Di Potassium Hydrogen Phosphate (60%) and methanol (40%) UV at 285 nm 50%- 150% 20.50 ppm [47]
AZM & Cefpodoxime Proxetil Pharmaceutical dosage forms C18 (150×4.6 mm, 5 μm) column Acetonitrile: Methanol: Phosphate buffer (40:40:20 v/v) UV at 235 nm 10-50 μ 2.121 μ [48]
AZM and Levofloxacin Pharmaceutical dosage forms Symmetry C18 4.6×150mm, 5.0 µm Ammonium acetate buffer pH 6 ±0.02 pH and methanol (30:70 %v/v) UV at 262 nm 20 - 100µg 0.01 µg [49]
AZM Human plasma and urine Shimpack CLC-C18 (250 4.6 mm, 5 mm) 0.01 M KH2 PO4 –ACN (58:42, v/v, final pH 7.5) UV at 210 nm 0.1–15 m 0.03 m [50]
AZM & Benzoyl Peroxide Combined dosage form Eclipse C18 column (Waters XTerra®, 4.6Χ250 mm, 5μ) Potassium dihydrogen phosphate and acetonitrile (50:50) UV-Visible detector and a photodiode array detector 1-5 µ 0.009 µ [51]
AZM & Cefixime Pharmaceutical dosage forms An Agilant Zorbax C8 , 5 μ column having 150 x 4.6mm Dipotassium Hydrogen Phosphate Buffer: methanol (60:40%v/v) UV at 230 nm 250–750 μ ---------- [52]
AZM & Spiramycin Tablets reversed phase C18 ODB column (250×4.6 nm) Acetonitrile –2-methyl-2-propanol– hydrogenphosphate buffer, pH 6.2, with 1.8% triethylamine (32:8: up to 100, v/v/v UV at 210 nm 0.004–4.8 mg/ mL 0.03% [53]
AZM and its related compounds. Capsules and suspension Xterra RP C18 column disodium hydrogen phosphate -methanol-acetonitriletetrahydrofuran (40.0 + 30.0 + 30.0 + 0.1, v/v/v/v). UV at 215 nm 2-1800 µ ---------- [54]
AZM and Levofloxacin Tablets C18 column (250 mm x 4.6 mm, 5 µm) Methanol: potassium dihydrogen phosphate buffer (60:40, v/v) PDA at 279.6 nm 500-1500 µ 2.68 µ [55]
AZM and Its Related Compounds Tablets Shim pack XR ODS, 75×3.0mm, 2.2 µm column Mobile phase -A consisting 0.01 M dibasic sodium phosphate buffer and mobile phase -B consisting 750:250 (v/v) of acetonitrile and methanol UV at 210 nm ---------- ---------- [56]
AZM Human Plasma Shim pack XR ODS, 75×3.0mm, 2.2 µm column acetonitrile–water (65:35) (0.5% triethylamine, pH was adjusted to 6.2 with acetic acid) MS-MS/ESI 5 - 2000 n 2 n [57]
AZM - reversible phase C8 column (250 × 4.6 mm, 5µ) Dipotassium hydrogen Phosphate and acetonitrile in the ratio of 65:35 UV at 200 nm ---------- ---------- [58]
AZM & cefixime Pharmaceutical dosage form Supleco C18 (25cm×4.6 mm, 5 µm) column Na2 HPO4 : Methanol with pH adjusted to 8 U.V at 273 nm 50-150 µ 3 µg /mL [59]
AZM & Ambroxol Hydrochloride Combined dosage form C18 phenomenex Gemini (5m, 250cm x 4.6mm) Acetonitrile and mono basic potassium phosphate buffer of pH 8.5 in the ratio of 65:35 v/v PDA at 220 nm 96-145 m 31.91 m [60]
AZM & related compounds Capsule and suspension Xterra RP C18 column Disodium hydrogen phosphate (pH 10.5) : methanol : acetonitrile tetrahydrofuran (40: 30.:30 :0.1, v/v/v/v). UV at 215 nm. 2-1800 µg /mL 0.49 µg / mL [61]
AZM & Cefpodoxime Tablets Hypurity C18 column methanol: Toluene: potassium dihydrogen phosphate buffer (60:30:10, v/v/v) UV at 218 nm 1-6 µg / mL 0.250 μ [62]

2.2. HPTLC methods:

Drugs Matrix Stationary phase Mobile phase Detector Linearity range LOD Ref.
AZM Pharmaceutical dosage form Silica gel F254 chloroform-ethanol-ammonia 6:14:0.2 (v/v) fluorescence indicator at 483nm 0.08 - 1.2 µg/ zone 40 ng/ zone [63]
AZM & cefixime Pure compound silica gel 60F254 mixture of ethyl acetate– methanol–acetone–toluene– ammonia (1:5:7:0.5:0.5, v/v) UV at 235 nm 50- 250 ng/ band 3.25 ng/ band [64]
AZM ,Chloroquine, & Paracetamol Pharmaceutical dosage form 60 F silica gel plate Mixture of methanol-25% ammonia (100:1.5, v/v) UV at 254 nm 0.1 – 10 m ---------- [65]

3. Electrochemical methods:

Drugs Matrix Electrode Linearity range LOD Ref.
AZM Tablets & capsules Glassy carbon 1-15 µ 0.7 µ [66]
AZM Capsules carbon paste 1.57–6.28 ppb
1.57–4.71 ppb
0.785–4.71 ppb
0.471–7.07 ppb
1.544 ppb
0.955 ppb
0.716 ppb
0.463 ppb
[67]
AZM Capsules & Suspension Glassy Carbon 1 – 10 µg/mL
0.25 – 2 µg/mL
0.29 µg/mL
0.11 µg/mL
[68]
AZM Capsules & Urine sample multi wall carbon nanotubes 0.25–4.0 µg/mL
4.0–10.0 µg/mL
0.07 µg/mL [69]
AZM Tablets Modified carbon paste 1.0 × 10−7 mol/L _ 2.0 × 10−6 mol/L
2.0 × 10−6 mol/L _ 2.0 × 10−5 mol/L
1.1 × 10−8 mol/L [70]
AZM Tablets graphene and ionic liquid composite film 0.49–28.57 µg/mL 1.544 µg/mL [71]
AZM, Clarithromycin, Roxithromycin Capsules, Tablets & Urine renewable silver-Amalgam film 4.81-23.3 µg/mL
1.96-28.6 µg/mL 
1.48-25.9 µg/mL
1.544 µg/mL [72]
AZM Tablets glassy carbon 1.0–10.0 mg/L 0.76 mg/L [73]
AZM & Hydroxychloroquine Plasma, Tablets & capsules diamond 0.28 – 30 × 10− 8 M- 0.84 – 22.5 × 10− 8 M 0.091 × 10− 8 M
0.277 × 10− 8M
[74]
AZM Tablets multilayer film-modified 0.0038 - 62.5 µM 1.27 nM [75]
AZM Blood serum A gold nano urchins/ graphene oxide modified glassy carbon 0.3 - 920.0 nM 0.1 nM [76]
AZM Capsules gold ----------- 3.002 × 10-9 mol/L [77]
AZM Urine, Plasma & Tears Glassy carbon 13.33 × 10-3 - 66.66 × 10-3 µg/mL 0.85 ×10-3 µg/ mL [78]
AZM Capsules & Urine Glassy carbon 0.1 - 10 µM 0.07 - µM [79]
AZM Urine & plasma Modified carbon paste 1.0 × 10−10 _ 4.0 × 10−7 mol/L 2.3 × 10−11 mol/L [80]
AZM Pharmaceutical dosage form Glassy carbon 3.0×10-7 - 2.5× 10-5 mol/L 1.0×10-7 mol/L [81]
AZM, Erythromycin ethylsuccinate, Clarithromycin & Roxithromycin Capsules & Tablets Modified carbon paste 0.000471 – 0.00707 µg/mL 0.000463 µg/mL [82]
AZM Pharmaceutical dosage form Screen printed carbon 0.5 - 10.0 μM 0.08 μM [83]
AZM Raw material Glassy carbon 0.075 – 0.675 mg/cm3 0.044 mg/cm3 [84]
AZM Plasma Glassy carbon 0.5-3.5 µg/mL 0.2 µgmL [85]
AZM Wastewater Surface of screen-printed carbon ---------- 0.08 µM [86]
AZM Tablets & Capsules Coated graphite 1×10-2 _5×10-7 M
1×10-2_5×10-6 M
1×10-2_6×10-7 M
1×10-2_2×10-6 M
2×10-7 M
2×10-6 M
5×10-7 M
7×10-7 M
[87]
AZM, Ciprofloxacin & 5-aminosalicylic acid Tablets & Capsules Paraffin impregnated graphite ---------- ---------- [88]
AZM, Tetracycline, levomycitin & Streptomycin Tablets, Capsules, Eye drops, Injectable solution, Urine, Tissue & Blood Glassy carbon 3.4 ×10-10 _ 1. 0×10-5 mol/L ---------- [89]
AZM Raw material Calomel /Copper /Platinum ---------- ---------- [90]
AZM Pharmaceutical dosage form Mercury film/ Glassy carbon 0.01_0. 5 x 10–6 mole/L ---------- [91]
AZM Tablets Glassy carbon 0.235 - 0.588 mg/cm3 ---------- [92]
AZM Raw material Glassy carbon 1 - 5 mM ---------- [93]
CONCLUSION

This literature review represents an up to date survey about all reported methods that have been developed for determination of Azithromycin in its pure form, combined form with other drugs, combined form with degradation products, and in biological samples such as liquid chromatography, spectrophotometry, spectroflourimetry, electrochemistry, etc.

REFERENCES

1. Robaina NF, de Paula CER, Brum DM, de la Guardia M, Garrigues S et al. Novel approach for the determination of azithromycin in pharmaceutical formulations by Fourier transform infrared spectroscopy in film-through transmission mode. Microchem J. 2013; 110: 301-307.

2. Abdullah JH, Yahya TAA, Alkaf AG, Alghorafi MA and Yassin SH. Selective spectrophotometric methods for the determination of azithromycin in pharmaceutical formulation. J Chem Pharm Res. 2014; 6: 202-208.

3. Peters DH, Friedel HA, McTavish D. Azithromycin. A review of its antimicrobial activity, pharmacokinetic properties and clinical efficacy. Drugs. 1992; 44: 750-799.

4. Dunn CJ and Barradell LB. Azithromycin. A review of its pharmacological properties and use as 3-day therapy in respiratory tract infections. Drugs. 1996; 51: 483-505.

5. Parnham MJ, Haber VE, Giamarellos-Bourboulis EJ, Perletti G, Verleden GM. Azithromycin: mechanisms of action and their relevance for clinical applications. Pharmaco& ther. 2014; 143: 225-245.

6. Jayanna BK, Nagendrappa G, Arunkumar NG, Gowda N. Spectrophotometric estimation of azithromycin in tablets. Indian J Pharm Sci. 2012; 74: 365.

7. Rachidi M, Elharti J, Digua K, Cherrah Y, Bouklouze A. New spectrophotometric method for azithromycin determination. Anal Lett. 2006; 39, 1917-1926.

8. Suma B, Thachemperil JM, Venkataramana C. Spectrophotometric method development and validation of azithromycin in tablet formulation. J Dent Orofac Res. 2018. 14: 23-27.

9. El-Adl SM, El-sadek ME, Hassan MH. Spectrophotometric Analysis of Azithromycin and Clarithromycin in Tablets and Human Plasma Using p-Chloranilic Acid. Analytical Chemistry Letters. 2019; 9: 362-372.

10. Bhimani S, Sanghvi G, Pethani T, Dave G, Airao V, et al. Development of the UV spectrophotometric method of azithromycin in API and stress degradation studies. ILCPA. 2016; 68, 49.

11. Paula CERD, Almeida VG, Cassella RJ. Novel spectrophotometric method for the determination of azithromycin in pharmaceutical formulations based on its charge transfer reaction with quinalizarin. J Braz Chem Soc. 2010; 21: 1664-1671.

12. Nyola N, Jeyabalan GS. Simultaneous estimation of Azithromycin and Cefixime in Active Pharmaceutical Ingredients and Pharmaceutical dosage forms by Spectrophotometry.‏ Hygeia. journal for drugs and medicines. 2013; 4: 27-32.

13. Hinge MA, Bhavsar MM, Singh RD, Chavda RN, Patel ES et al. Spectrophotometric and High Performance Liquid Chromatographic Determination of CefpodoximeProxetil and Azithromycin Dihydrate in Pharmaceutical formulation. Pharm Methods. 2016; 7: 8-16.

14. Su-ying MA. Determination of the contents of azithromycin tablets with UV spectrophotometry. J Pediatr Pharmacol Ther. 2007; 4: 53-58.

15. Zhong, WHTQY, Jing-Qing MLHZ. Determination of Drug in Azithromycin Niosomes by Spectrophotometry. Chinese Journal of Spectroscopy Laboratory. 2011.

16. LIU HJ, JIANG Y, XUE N, HAO XH. Spectrophotometric Determination of Azithromycin Basedon Charge-transfer Reaction with 2, 4-Dinitrophenol. Chinese J Pharm Ana. 2005; 25: 308-310.

17. Ibrahim FA, Wahba MEK, Galal GM. Two spectrophotometric methods for the determination of azithromycin and roxithromycin in pharmaceutical preparations. Eur J Chem. 2017; 8: 203-210.

18. WANG JR, LI X, YANG XP. Determination the content of Azithromycin Injection by spectrophotometry. PJCPLA. 2004; 5: 385-386.

19. Abdullah JH, Yahya TAA, Alkaf AG, Alghorafi MA, Yassin SH. Selective spectrophotometric methods for the determination of azithromycin in pharmaceutical formulation. J Chem Pharm Res. 2014; 6: 202-208.

20. Jiang Y, Liu HJ, Xue N, Hao XH. Determination of Azithromycin Tablets by Spectrophotometry Based on Charge-transfer Reaction with Alizarin Red. Chin J Pharm. 2005; 36: 498.

21. HUANG XQ, ZHANG L, XIONG J, YING HJ. Spectrophotometry determination of the contents of azithromycin crystal. Chinese J Pharm Ana. 2009; 4: 672-675.

22. Wan-hong HAO. Determination of the Content of Azithromycin dispersible tablets by Spectrophotometry. Strait Pharmaceutical Journal. 2006; 4: 90-91.

23. Ashour S, Bayram R. Novel spectrophotometric method for determination of some macrolide antibiotics in pharmaceutical formulations using 1, 2-naphthoquinone-4-sulphonate. Spectrochimica Acta A Mol Biomol Spectrosc. 2012; 99: 74-80.

‏ 24. Khashaba PY. Spectrofluorimetric analysis of certain macrolide antibiotics in bulk and pharmaceutical formulations. J Pharm Biomed Ana. 2002; 27: 923-932.

25. Almeida VG, Braga VS, Pacheco WF, Cassella RJ. Fluorescence determination of azithromycin in pharmaceutical formulations by using the synchronous scanning approach after its acid derivatization. J Fluoresc. 2013; 23: 31-39.

26. Abdelmageed OH, Kashaba PY, Darwish IA. Spectrofluorimetric determination of macrolide antibiotics using eosin-G dye. Bulletin of Pharmaceutical Sciences. Assiut. 2006; 29: 338-409.

27. El-Rabbat N, Askal HF, Khashaba PY, Attia NN. A validated spectrofluorometric assay for the determination of certain macrolide antibiotics in pharmaceutical formulations and spiked biological fluids. J AOAC Int. 2006; 89: 1276-1287.

‏ 28. Guo X, Liu Y, Dong W Hu Q, Li Y, Shuang S. Azithromycin detection in cells and tablets by N, S co-doped carbon quantum dots. Spectrochimica Acta Part A: Molecular and Biomolecular Spectroscopy. 2021; 252: 119506.

29. Dewan I, Amin T, Hossain MF, Hasan M, Chowdhury SF. Development and validation of a new HPLC method for the estimation of azithromycin in bulk and tablet dosage form. Int J Pharm Sci Res. 2013; 4: 282-286.

30. Ghari T, Kobarfard F, Mortazavin SA. Development of a Simple RP-HPLC-UV Method for Determination of Azithromycin in Bulk and Pharmaceutical Dosage forms as an Alternative to the USP Method. Iran J Pharm Res. 2013; 12: 57.

31. Al-Rimawi F, Kharoaf M. Analysis of azithromycin and its related compounds by RP-HPLC with UV detection. J Chromatogr Sci. 2010; 48: 86-90.

32. Al-Hakkani MF. A rapid, developed and validated RP-HPLC method for determination of azithromycin. SN App Sci. 2019; 1: 222.

33. Zubata P, Ceresole R, Rosasco MA, Pizzorno MT. A new HPLC method for azithromycin quantitation. J Pharm Biomed Anal. 2002; 27: 833- ‏.836 34.

34. Singh AP, Chauhan I, Bhardwaj S, Gaur P, Kumar SS, & Jayendra J. HPLC METHOD DEVELOPMENT AND VALIDATION FOR AZITHRO-MYCIN IN ORAL SUSPENSION. Journal of Applied Pharmaceutical Sciences and Research. 2019; 7-12.

35. Zeng A, Liu X, Zhang S, Zheng Y, Huang P, Du K, et al. Determination of azithromycin in raw materials and pharmaceutical formulations by HPLC coupled with an evaporative light scattering detector. Asian J Pharm Sci. 2014; 9: 107-116.

36. Waghule SN, Jain NP, Patani CJ, Patani AC. Method development and validation of HPLC method for determination of azithromycin. Der PharmaChemica. 2013; 5: 166-172.

 37. Okaru AO, Abuga KO, Kamau FN, Ndwigah SN, Lachenmeier DW. A robust liquid chromatographic method for confirmation of drug stability of Azithromycin in bulk samples, tablets and suspensions. Pharmaceutics. 2017; 9: 11.

‏ 38. Habibi B, Ghorbel-Abid I, Lahsini R, Ben Hassen DC, Trabelsi-Ayadi M. Development and validation of a rapid HPLC method for multiresidue determination of erythromycin, clarithromycin, and azithromycin in aquaculture fish muscles. Acta Chromatogr. 2019; 31: 109-112.

39. MALOTHU N, KONA SB, MUTHYALA B, KATAMANENI, P. A Simple Liquid Chromatographic Method For Simultaneous Estimation Of Azithromycin, Fluconazole And Ornidazole In Bulk And Pharmaceutical Dosage Forms. Int J Pharm Pharm sci. 2019; 11: 26-34‏.

40. Venkatesh V, Prabahar AE, Suresh PV, Maheswari CU, Rao NR. RP-HPLC Method for Simultaneous Estimation of Azithromycin and Ambroxol Hydrochloride in Tablets. Asian Journal of Chemistry. 2011; 23: 312.

‏ 41. Chandrakanth. Bandapally, Vamshi Y, GirijaSastry V. Method Development And Validation Of Simultaneous Estimation Of Azithromycin And Dexamethasone In Eye Drops By Rp-Hplc. Indo American Journal of Pharmaceutical Research. 2019.

42. Lawson-Wood K, Seer Green UK. HPLC Analysis of the Semi-Synthetic Antibiotic Azithromycin Using a Quasar C18 Column.

43. Ghari T, Kobarfard F, Mortazavi S. Development of a simple RP-HPLC-UV method for determination of azithromycin in pharmaceutical dosage forms as an alternative to the USP method. Research in Pharmaceutical Sciences. 2012; 7: 624.

44. Gaudin K, Kauss T, GaubertA, Viaud V, Dubost JP, et al. Simultaneous determination of artemether and azithromycin in suppositories by reversed phase HPLC. Analytical letters. 2011; 44: 2732-2743.

45. Mahmoudi A, Boukhechem M. Novel liquid chromatographic method for the simultaneous evaluation of erythromycin and azithromycin in human urine. Journal of Materials and Environmental Sciences. 2017; 8: 1953-1959.‏

46. Nagaraju K. Development and validation of new RP-HPLC method for simultaneous estimation of drug Cefixime and Azithromycin in tablet dosage form. IJRPB. 2016; 4: 2320-3471.

47. Mamatha N, Thangabalan B, Babu SM. Development and validation of RP-HPLC method for azithromycin and levofloxacin combined tablet dosage form. Int J ResPharm Nano Sci. 2014; 3: 200-214.

48. Hinge MA. Spectrophotometric and High Performance Liquid Chromatographic Determination of Cefpodoxime Proxetil l and Azithromycin Dihydrate in Pharmaceutical formulation. Pharmaceutical Methods. 2016; 7: 1-8.

49. Vennela K, Reddy MM, Subramanian S. A New RP-HPLC Method for the Simultaneous Estimation of Azithromycin and Levofloxacin in it’s Pure and Pharmaceutical Dosage Form as per ICH Guidelines. International Journal of Pharma Research and Health Sciences. 2014; 2: 507-513.

50. Sharma K, Mullangi R. A concise review of HPLC, LC?MS and LC?MS/ MS methods for determination of azithromycin in various biological matrices. Biomed Chromatogr. 2013; 27: 1243-1258.

‏ 51. Singh N, Singh Y, Bhadauria RS, Govindasamy J. Analytical Method Development, Optimization and Validation of Combination of Azithromycin and Benzoyl Peroxide By RP-HPLC Using Design of Experiment as Per ICH Guideline. International Journal of Health and Clinical Research. 2019; 2: 26-45.

52. Ramesh M, Durga MK., Sravani A, Snehalatha T, Thimmareddy D. A New Stability Indicating Validated RP-HPLC Method for the Simultaneous Estimation of Azithromycin and Cefixime in Bulk and Pharmaceutical Dosage Forms. Asian J. Research Chem. 2012; 5: 1067-1073.

‏ 53. Mahmoudi A. LC determination and stability assessment of macrolide antibiotics azithromycin and spiramycin in bulk and tablet samples. Int Lett Nat Sci. 2015; 47.‏ 1-10.

54. El-Gindy A, Attia KA, Nassar MW, Al Abasawi NM, Al-Shabrawi M. Optimization and validation of a stability-indicating RP-HPLC method for determination of azithromycin and its related compounds. J AOAC Int. 2011; 94: 513-522.

55. Kamble RN, Kumar AP, Mehta PP. RP-HPLC Analytical Method Development and Validation for Azithromycin and Levofloxacin in Tablet Dosage Form.‏ Int J Pharm Sci Rev Res. 2015; 32: 162-165.

56. Bhardwaj SK, Agarwal DD, Sharma V, Budakoti, SK. Development and Validation of RP-UHPLC Method for Azithromycin and Its Related Compounds in Tablet Dosage Form. J Chem Pharm Res. 2016; 8: 113- ‏.122 57.

57. Xu F, Zhang Z, Bian Z, Tian Y, Jiao H, Liu, Y. Azithromycin quantitation in human plasma by high-performance liquid chromatography coupled to electrospray mass spectrometry: application to bioequivalence study. J Chromatogr Sci. 2008; 46: 479-484.

58. Housheh, S. Development of Rapid, Simple and Stability-Indicating Method for Determination of Azithromycin Using RP-HPLC. Asian J Pharm Sci. 2017; 7: 55-59.

59. Nagaraju, K, Chowdary YA. Analytical Method Development and Validation for The Simultaneous Estimation of Azithromycin and Cefixime by Rp-Hplc Method in Bulk and Pharmaceutical Formulations.‏ IJSRST. 2018; 4: 669-674.

60. Raja MS, Shan H, Moorthy S, Perumal P. RP-HPLC method development and validation for the simultaneous estimation of Azithromycin and Ambroxol Hydrochloride in tablet. International Journal of Pharm Tech Research. 2010; 2: 36-39.

61. El-Gindy A, Attia KA, Nassar MW, Al Abasawi NM, Al-Shabrawi, M. Optimization and validation of a stability-indicating RP-HPLC method for determination of azithromycin and its related compounds. J AOAC Int. 2011; 94: 513-522.

 62. Afzal SJS, Khan PMAA, Baig MS. RP-HPLC ANALYTICAL METHOD DEVELOPMENT AND VALIDATION FOR AZITHROMYCIN AND CEFPODOXIME IN TABLET DOSAGE FORM.‏ World J Pharm Pharm Sci. 2017; 1427-1436.

63. Kwiecie?, A, Krzek J, Biniek ?. TLC-densitometric determination of azithromycin in pharmaceutical preparations. JPC-J PLANAR CHROMAT. 2008; 21: 177-181.

64. Gawande VT, Bothara KG, Satija CO. Validated stability-indicating HPTLC method for cefixime and azithromycin with preparative isolation, identification, and characterization of degradation products. ActaChromatographica. 2018; 30: 212-218.

‏65. Losa F, Mabaya TM, Kakumba JM, Ngoyi MT, Balazirhe F, et al. Development of a Thin Layer Chromatography Method for Simultaneous Detection of Chloroquine, Azithromycin and Paracetamol in Counterfeit Tablets Used Against Covid-19. Am J Biomed Sci. 2020; 8: 126-130.

66. Nigovi? B, Šimuni? B. Voltammetric assay of azithromycin in pharmaceutical dosage forms. J Pharm Biomed Anal. 2003; 32: 197- ‏.202 67.

67. Farghaly OAEM, Mohamed NAL. Voltammetric determination of azithromycin at the carbon paste electrode. Talanta. 2004; 62: 531- ‏.538 68.

68. Nigovic B. Adsorptive stripping voltammetric determination of azithromycin at a glassy carbon electrode modified by electrochemical oxidation. Anal Sci. 2004; 20: 639-643.

69. Ensafi AA, Allafchian AR, Rezaei B. A sensitive and selective voltammetric sensor based on multiwall carbon nanotubes decorated with MgCr2O4 for the determination of azithromycin. Colloids Surf B Biointerfaces. 2013; 103: 468-474.

70. Zhou T, Tao Y, Jin H, Song B, Jing T. Fabrication of a selective and sensitive sensor based on molecularly imprinted polymer/acetylene black for the determination of azithromycin in pharmaceuticals and biological samples. PloS one. 2016; 11: e0147002.

71. Peng JY, Hou CT, Liu XX, Li HB, Hu XY. Electrochemical behavior of azithromycin at graphene and ionic liquid composite film modified electrode. Talanta 2011; 86, 227-232.

‏72. Vajdle O, Guzsvány V, Škori? D, Csanádi, J, Petkovi? M, Avramov-Ivi? M, Bobrowski A. Voltammetric behavior and determination of the macrolide antibiotics azithromycin, clarithromycin and roxithromycin at a renewable silver–amalgam film electrode. ElectrochimicaActa. 2017; 229, 334-344.

73. Palomeque ME, Ortíz, PI. New automatized method with amperometric detection for the determination of azithromycin. Talanta. 2007; 72: 101-105.

74. Mahnashi HM, Mahmoud AM, Alkahtani AS, El-Wekil MM. Simultaneous electrochemical detection of azithromycin and hydroxychloroquine based on VS2 QDs embedded N, S@ graphene aerogel/cCNTs 3D nanostructure. Microchemical Journal. 2021; 163: 105925.

75. Wu B, Guo Y, Cao H, Zhang Y, Yu L, Jia N. A novel mesoporous molecular sieves-based electrochemilumenescence sensor for sensitive detection of azithromycin. Sensors and Actuators B: Chemical. 2013; 186: 219-225.

76. Jafari S, Dehghani M, Nasirizadeh N, Azimzadeh M. An azithromycin electrochemical sensor based on an aniline MIP film electropolymerized on a gold nano urchins/graphene oxide modified glassy carbon electrode. J Electroanal Chem. 2018; 829: 27-34.

77. Lijun L, Chunyan D, Wenyan G, Dachun H, Yanqing L. Electrochemiluminescencial Study on the Determination of Azithromycin using Ru (bpy) _3~(2+) System. J. Chemistry. 2011; 7.

78. Stoian IA, Iacob BC, Duda? CL, Barbu-Tudoran L, Bogdan D, et al. Biomimetic electrochemical sensor for the highly selective detection of azithromycin in biological samples. Biosens Bioelectron. 2020; 155: ‏.112098 79.

79. Zhang K, Lu L, Wen Y, Xu J , Duan X, et al. Facile synthesis of the necklace-like graphene oxide-multi-walled carbon nanotube nanohybrid and its application in electrochemical sensing of Azithromycin. Anal Chim Acta. 2013; 787: 50-56.

‏80. Hu L, Zhou T, Feng J, Jin H, Tao Y, et al. A rapid and sensitive molecularly imprinted electrochemiluminescence sensor for azithromycin determination in biological samples. J Electroanal Chem.. 2018; 813: 1-8.

81. Xia XI, Liang MING. Electrochemical behavior and determination of azithromycin at a multi-wall carbon nanotube modified electrode. Chinese Journal of Analysis Laboratory. 2012; 9.

82. Vajdle O, Šekuljica S, Guzsvány V, Nagy L, Kónya Z, et al. Use of carbon paste electrode and modified by gold nanoparticles for selected macrolide antibiotics determination as standard and in pharmaceutical preparations. J Electroanal Chem. 2020; 87: 114324.

83. Rebelo P, Pacheco JG, Cordeiro MND, Melo A, Delerue-Matos C. Azithromycin electrochemical detection using a molecularly imprinted polymer prepared on a disposable screen-printed electrode. Anal Methods. 2020; 12: 1486-1494.

84. Radosavljevi? KD, Lovi? JD, Mijin DŽ, Petrovi? SD, Jadranin MB, et al. Degradation of azithromycin using Ti/RuO 2 anode as catalyst followed by DPV, HPLC–UV and MS analysis. Chemical Papers. 2017; 71: 1217-1224.

‏85. Nigovic B. Adsorptive stripping voltammetric determination of azithromycin at a glassy carbon electrode modified by electrochemical oxidation. Anal Sci. 2004; 20: 639-643.

86. Rebelo P. Azithromycin Electrochemical Detection Using A Molecularly Imprinted Polymer On A Disposable Sensor. Book Of. 2020; 7.

87. Abu-Dalo MA, Nassory NS, Abdulla NI, Al-Mheidat IR. Azithromycin-molecularly imprinted polymer based on PVC membrane for Azithromycin determination in drugs using coated graphite electrode. J Electroanal Chem. 2015; 751: 75-79.

‏88. Komorsky-Lovri? Š, Nigovi? B. Identification of 5-aminosalicylic acid, ciprofloxacin and azithromycin by abrasive stripping voltammetry. J Pharm Biomed Anal. 2004; 36: 81-89.

89. Pikula N, Slepchenko G. Voltammetric determination of antibiotics in pharmaceuticals. In IV International research conference” Information technologies in Science, Management, Social sphere and Medicine. Atlantis Press; 2017: 317-320

90. Tasi? ŽZ, Mihajlovi? MBP, Radovanovi? MB, & Antonijevi? MM. Electrochemical investigations of copper corrosion inhibition by azithromycin in 0.9% NaCl. Journal of Molecular Liquids. 2018; 265, 687-692.

91. Karbainov YA, Puchkovskaya ES, Karbainova SN. Adsorption of azithromycin dehydrate at stationary mercury and solid electrode. Bulletin of the Tomsk Polytechnic University. 2007; 311: 81-84.

92. Bakheit AH, Al-Hadiya BM, Abd-Elgalil AA. Azithromycin. Profiles Drug Subst Excip Relat Methodo. 2014; 39, 1-40.

93. Mandi? Z, Weitner Z, Ilijaš M. Electrochemical oxidation of azithromycin and its derivatives. J Pharm BiomedAnal. 2003; 33: 647- 654.‏

Sebaiy MM, Farouk EM, Lotfy EM, Mokhtar EM, Abd-Elgwad EN, et al. (2021) Review article: Spectroscopic, Chromatographic and Electrochemical Analysis of Azithromycin in Different Matrices. J Drug Des Res 8(2): 1084.

Received : 23 May 2021
Accepted : 02 Jun 2021
Published : 04 Jun 2021
Journals
Annals of Otolaryngology and Rhinology
ISSN : 2379-948X
Launched : 2014
JSM Schizophrenia
Launched : 2016
Journal of Nausea
Launched : 2020
JSM Internal Medicine
Launched : 2016
JSM Hepatitis
Launched : 2016
JSM Oro Facial Surgeries
ISSN : 2578-3211
Launched : 2016
Journal of Human Nutrition and Food Science
ISSN : 2333-6706
Launched : 2013
JSM Regenerative Medicine and Bioengineering
ISSN : 2379-0490
Launched : 2013
JSM Spine
ISSN : 2578-3181
Launched : 2016
Archives of Palliative Care
ISSN : 2573-1165
Launched : 2016
JSM Nutritional Disorders
ISSN : 2578-3203
Launched : 2017
Annals of Neurodegenerative Disorders
ISSN : 2476-2032
Launched : 2016
Journal of Fever
ISSN : 2641-7782
Launched : 2017
JSM Bone Marrow Research
ISSN : 2578-3351
Launched : 2016
JSM Mathematics and Statistics
ISSN : 2578-3173
Launched : 2014
Journal of Autoimmunity and Research
ISSN : 2573-1173
Launched : 2014
JSM Arthritis
ISSN : 2475-9155
Launched : 2016
JSM Head and Neck Cancer-Cases and Reviews
ISSN : 2573-1610
Launched : 2016
JSM General Surgery Cases and Images
ISSN : 2573-1564
Launched : 2016
JSM Anatomy and Physiology
ISSN : 2573-1262
Launched : 2016
JSM Dental Surgery
ISSN : 2573-1548
Launched : 2016
Annals of Emergency Surgery
ISSN : 2573-1017
Launched : 2016
Annals of Mens Health and Wellness
ISSN : 2641-7707
Launched : 2017
Journal of Preventive Medicine and Health Care
ISSN : 2576-0084
Launched : 2018
Journal of Chronic Diseases and Management
ISSN : 2573-1300
Launched : 2016
Annals of Vaccines and Immunization
ISSN : 2378-9379
Launched : 2014
JSM Heart Surgery Cases and Images
ISSN : 2578-3157
Launched : 2016
Annals of Reproductive Medicine and Treatment
ISSN : 2573-1092
Launched : 2016
JSM Brain Science
ISSN : 2573-1289
Launched : 2016
JSM Biomarkers
ISSN : 2578-3815
Launched : 2014
JSM Biology
ISSN : 2475-9392
Launched : 2016
Archives of Stem Cell and Research
ISSN : 2578-3580
Launched : 2014
Annals of Clinical and Medical Microbiology
ISSN : 2578-3629
Launched : 2014
JSM Pediatric Surgery
ISSN : 2578-3149
Launched : 2017
Journal of Memory Disorder and Rehabilitation
ISSN : 2578-319X
Launched : 2016
JSM Tropical Medicine and Research
ISSN : 2578-3165
Launched : 2016
JSM Head and Face Medicine
ISSN : 2578-3793
Launched : 2016
JSM Cardiothoracic Surgery
ISSN : 2573-1297
Launched : 2016
JSM Bone and Joint Diseases
ISSN : 2578-3351
Launched : 2017
JSM Bioavailability and Bioequivalence
ISSN : 2641-7812
Launched : 2017
JSM Atherosclerosis
ISSN : 2573-1270
Launched : 2016
Journal of Genitourinary Disorders
ISSN : 2641-7790
Launched : 2017
Journal of Fractures and Sprains
ISSN : 2578-3831
Launched : 2016
Journal of Autism and Epilepsy
ISSN : 2641-7774
Launched : 2016
Annals of Marine Biology and Research
ISSN : 2573-105X
Launched : 2014
JSM Health Education & Primary Health Care
ISSN : 2578-3777
Launched : 2016
JSM Communication Disorders
ISSN : 2578-3807
Launched : 2016
Annals of Musculoskeletal Disorders
ISSN : 2578-3599
Launched : 2016
Annals of Virology and Research
ISSN : 2573-1122
Launched : 2014
JSM Renal Medicine
ISSN : 2573-1637
Launched : 2016
Journal of Muscle Health
ISSN : 2578-3823
Launched : 2016
JSM Genetics and Genomics
ISSN : 2334-1823
Launched : 2013
JSM Anxiety and Depression
ISSN : 2475-9139
Launched : 2016
Clinical Journal of Heart Diseases
ISSN : 2641-7766
Launched : 2016
Annals of Medicinal Chemistry and Research
ISSN : 2378-9336
Launched : 2014
JSM Pain and Management
ISSN : 2578-3378
Launched : 2016
JSM Women's Health
ISSN : 2578-3696
Launched : 2016
Clinical Research in HIV or AIDS
ISSN : 2374-0094
Launched : 2013
Journal of Endocrinology, Diabetes and Obesity
ISSN : 2333-6692
Launched : 2013
Journal of Substance Abuse and Alcoholism
ISSN : 2373-9363
Launched : 2013
JSM Neurosurgery and Spine
ISSN : 2373-9479
Launched : 2013
Journal of Liver and Clinical Research
ISSN : 2379-0830
Launched : 2014
Journal of Drug Design and Research
ISSN : 2379-089X
Launched : 2014
JSM Clinical Oncology and Research
ISSN : 2373-938X
Launched : 2013
JSM Bioinformatics, Genomics and Proteomics
ISSN : 2576-1102
Launched : 2014
JSM Chemistry
ISSN : 2334-1831
Launched : 2013
Journal of Trauma and Care
ISSN : 2573-1246
Launched : 2014
JSM Surgical Oncology and Research
ISSN : 2578-3688
Launched : 2016
Annals of Food Processing and Preservation
ISSN : 2573-1033
Launched : 2016
Journal of Radiology and Radiation Therapy
ISSN : 2333-7095
Launched : 2013
JSM Physical Medicine and Rehabilitation
ISSN : 2578-3572
Launched : 2016
Annals of Clinical Pathology
ISSN : 2373-9282
Launched : 2013
Annals of Cardiovascular Diseases
ISSN : 2641-7731
Launched : 2016
Journal of Behavior
ISSN : 2576-0076
Launched : 2016
Annals of Clinical and Experimental Metabolism
ISSN : 2572-2492
Launched : 2016
Clinical Research in Infectious Diseases
ISSN : 2379-0636
Launched : 2013
JSM Microbiology
ISSN : 2333-6455
Launched : 2013
Journal of Urology and Research
ISSN : 2379-951X
Launched : 2014
Journal of Family Medicine and Community Health
ISSN : 2379-0547
Launched : 2013
Annals of Pregnancy and Care
ISSN : 2578-336X
Launched : 2017
JSM Cell and Developmental Biology
ISSN : 2379-061X
Launched : 2013
Annals of Aquaculture and Research
ISSN : 2379-0881
Launched : 2014
Clinical Research in Pulmonology
ISSN : 2333-6625
Launched : 2013
Journal of Immunology and Clinical Research
ISSN : 2333-6714
Launched : 2013
Annals of Forensic Research and Analysis
ISSN : 2378-9476
Launched : 2014
JSM Biochemistry and Molecular Biology
ISSN : 2333-7109
Launched : 2013
Annals of Breast Cancer Research
ISSN : 2641-7685
Launched : 2016
Annals of Gerontology and Geriatric Research
ISSN : 2378-9409
Launched : 2014
Journal of Sleep Medicine and Disorders
ISSN : 2379-0822
Launched : 2014
JSM Burns and Trauma
ISSN : 2475-9406
Launched : 2016
Chemical Engineering and Process Techniques
ISSN : 2333-6633
Launched : 2013
Annals of Clinical Cytology and Pathology
ISSN : 2475-9430
Launched : 2014
JSM Allergy and Asthma
ISSN : 2573-1254
Launched : 2016
Journal of Neurological Disorders and Stroke
ISSN : 2334-2307
Launched : 2013
Annals of Sports Medicine and Research
ISSN : 2379-0571
Launched : 2014
JSM Sexual Medicine
ISSN : 2578-3718
Launched : 2016
Annals of Vascular Medicine and Research
ISSN : 2378-9344
Launched : 2014
JSM Biotechnology and Biomedical Engineering
ISSN : 2333-7117
Launched : 2013
Journal of Hematology and Transfusion
ISSN : 2333-6684
Launched : 2013
JSM Environmental Science and Ecology
ISSN : 2333-7141
Launched : 2013
Journal of Cardiology and Clinical Research
ISSN : 2333-6676
Launched : 2013
JSM Nanotechnology and Nanomedicine
ISSN : 2334-1815
Launched : 2013
Journal of Ear, Nose and Throat Disorders
ISSN : 2475-9473
Launched : 2016
JSM Ophthalmology
ISSN : 2333-6447
Launched : 2013
Journal of Pharmacology and Clinical Toxicology
ISSN : 2333-7079
Launched : 2013
Annals of Psychiatry and Mental Health
ISSN : 2374-0124
Launched : 2013
Medical Journal of Obstetrics and Gynecology
ISSN : 2333-6439
Launched : 2013
Annals of Pediatrics and Child Health
ISSN : 2373-9312
Launched : 2013
JSM Clinical Pharmaceutics
ISSN : 2379-9498
Launched : 2014
JSM Foot and Ankle
ISSN : 2475-9112
Launched : 2016
JSM Alzheimer's Disease and Related Dementia
ISSN : 2378-9565
Launched : 2014
Journal of Addiction Medicine and Therapy
ISSN : 2333-665X
Launched : 2013
Journal of Veterinary Medicine and Research
ISSN : 2378-931X
Launched : 2013
Annals of Public Health and Research
ISSN : 2378-9328
Launched : 2014
Annals of Orthopedics and Rheumatology
ISSN : 2373-9290
Launched : 2013
Journal of Clinical Nephrology and Research
ISSN : 2379-0652
Launched : 2014
Annals of Community Medicine and Practice
ISSN : 2475-9465
Launched : 2014
Annals of Biometrics and Biostatistics
ISSN : 2374-0116
Launched : 2013
JSM Clinical Case Reports
ISSN : 2373-9819
Launched : 2013
Journal of Cancer Biology and Research
ISSN : 2373-9436
Launched : 2013
Journal of Surgery and Transplantation Science
ISSN : 2379-0911
Launched : 2013
Journal of Dermatology and Clinical Research
ISSN : 2373-9371
Launched : 2013
JSM Gastroenterology and Hepatology
ISSN : 2373-9487
Launched : 2013
Annals of Nursing and Practice
ISSN : 2379-9501
Launched : 2014
JSM Dentistry
ISSN : 2333-7133
Launched : 2013
Author Information X