Loading

Journal of Physics: Applications and Mechanics

Creating a Thermonuclear Reactor with Neutron Heating (3He -D-T) Plasma

Research Article | Open Access | Volume 2 | Issue 2
Article DOI :

  • 1. Proteus LLC 124498, Moscow, Zelenograd, 4922nd passage, Russia
  • 2. National Research Technological University “MISIS” 119049, Moscow, Leninsky Prospekt, Russia
  • 3. National Research Tomsk Polytechnic University 634034, Russia
  • 4. Central Economic and Mathematical Institute of the Russian Academy of Sciences 47 Nakhimovsky ave, Russia
  • 5. Physical Institute of the Academy of Sciences named after Lebedeva. Russia
+ Show More - Show Less
Corresponding Authors
S.N. Stolbov, Proteus LLC 124498, Moscow, Zelenograd, 4922nd passage, Russia
Annotation

The creation of thermonuclear reactors with a catalytically provided approach to the implementation of a thermonuclear reaction of high specific power and dynamically stable is proposed. The reactor is undergoing internal neutron plasma heating in interaction with D and 3He fuel composition with a catalytically stabilized combustion process. The fuel composition is heated by its interaction with neutrons generated in the plasma, which are returned by thermal ones. The resulting plasma is trapped, removed, and accelerated along the magnetic field. The reactor’s fuel cycle is closed for tritium, helium-3, and neutrons. In the process of work, they burn out and are developed again. It is extremely important that the (n-3He-D-T) system has positive neutron feedback. This is due to the fact that the cross section and rate of neutron reactions with https://www.jscimedcentral.com/public/assets/images/uploads/image-1764138877-1.JPG are higher than those of other thermonuclear reactions over the entire temperature range. The reaction produces fast T ions interacting with D and 3He of the fuel composition with high energy release, plasma heating and neutron generation. Neutrons released from the plasma return to it due to the use of a decelerating moderating structure (MFS) as a device for thermalizing and forming a directed neutron flux, which increases the efficiency of their return. Deceleration of neutrons increases the density in the flow of thermal neutrons returned to the plasma (reducing their velocity). The simulation allowed us to conclude that a thermonuclear fusion reactor with an internal catalytic cycle and (n-3He-D-T) plasma heating is physically feasible and relatively compact.

Keywords

• Thermonuclear Reactor

• Catalytically Closed Internal Fuel Cycle

• Neutron Flux Control

• Thermal Neutron Separation Effect

• Decelerating-Focusing Structure

• Thermonuclear Jet Engine

Citation

Stolbov SN, Drobyshevsky YV, Anfimov IM, Varlachev VA, Kobeleva SP, et al. (2025) Creating a Thermonuclear Reactor with Neutron Heating (3He -D-T) Plasma. J Phys Appl and Mech 2(2): 1012.

INTRODUCTION

The development and improvement of new technologies for their subsequent use in the thermonuclear reactor of the International Thermonuclear Experimental Reactor project is one of the promising areas of nuclear energy at the present stage. External energy sources are required for heating and forming thermonuclear plasma [1-3]. Two mechanisms of energy supply for plasma heating are assumed: in the form of injected external beams of fast particles with adiabatic compression of the “cold” plasma, or by an external magnetic field by initiating powerful ring or linear currents in the “cold” plasma. In any case, when using external methods of plasma formation and heating, it is necessary to return the heating energy and fulfill the Lawson criterion, which characterizes the critical parameters of the conditions for the return of spent energy. An alternative solution may be a thermonuclear fusion reactor, in which plasma is heated and formed to temperatures necessary for thermonuclear reactions due to internal exothermic nuclear reactions. Such heating was previously used in a thermonuclear bomb, the only device implemented in which thermonuclear fusion reactions take place. A thermonuclear reactor using internal plasma heating by thermal neutrons through their interaction with a fuel composition including 3He and D, T, and operating in a catalytically closed mode is proposed [4-6] (Figure 1).

https://www.jscimedcentral.com/public/assets/images/uploads/image-1764139094-1.JPG

Figure 1 Basic thermonuclear reactor – engine with an internal catalytic cycle.

THE MAIN PROVISIONS OF THE THERMONUCLEAR REACTOR

The thermonuclear reactors currently being created are characterized by a low energy density in the plasma. For example, in the thermonuclear plasma of the ITER tokamak, the specific power output in the plasma is up to 0.6 W/cm3 with significant characteristic dimensions (height and diameter of the reactor) up to 40 m, with a pulsed operation. In the proposed thermonuclear reactor, plasma is localized in a longitudinal magnetic trap by terminal magnetic plugs. A cold fuel mixture, including D, 3He, and T, is introduced and heated by interaction with thermal neutrons at the axis or from the end of the trap, forming a region of hot thermonuclear plasma moving along the axis to the periphery of the trap, where the released energy is removed. Fast neutrons resulting from the fusion reaction and escaping from the plasma are thermalized and returned in a special way to the reactor, which operates continuously. The magnitude of the magnetic field is such that the radial diffusion of the plasma is limited.

Let us consider the processes taking place in the reactor plasma [2-6]. In thermonuclear reactors operating on the basis of a deuterium-tritium fuel mixture, the cross section of the (DT) synthesis reaction is large, but the main energy does not remain in the plasma, but goes away with fast neutrons:

D + T → 4He (3.50 MeV) + n (14.1MeV) Q=17.6MeV (1)

In the deuterium-helium-3 process, the reaction products are charged and the energy remains in the plasma:

D + 3He → 4He (3.6MeV) + p (14.7MeV) Q=8.3MeV (2)

This leads to the fact that the energy release power in plasma reaches units of kW/cm3. In plasma, the interaction of D+D nuclei proceeds through two equally probable channels:

(50%) D + D → T (1.01MeV) + p (3.02MeV Q =4.03MeV (3)

(50%) D + D → 3He (0.82MeV) + n (2.45MeV Q=3.27MeV (4)

In the first case, the reaction products, charged, leave all the released energy in the plasma. The second reaction

is necessary to close the process, and 3He and n – neutrons are generated again, which can then be returned to the process after energy is removed. It is important that neutrons have a relatively low energy of 2.45MeV, which reduces the severity of the design requirements for the MFS and other reactor elements. And at the same time, 3 does not have a huge cross-section of interaction with thermal neutrons.:

σT = 5400 barn: 3He +n → T(0.19MeV) + p(0.57MeV) Q=0.76MeV (5)

A fuel mixture including deuterium and helium-3 is heated continuously in reactions of helium-3 with neutrons, then energy is released in plasma mainly in deuterium- helium-3 reactions, tritium is introduced to regulate the neutron flux density. The cross section of the interaction of cold 3He with thermal neutrons is 5400bar. Despite the fact that in hot plasma it drops to units of barh, it is extremely important that the reaction cross-section https://www.jscimedcentral.com/public/assets/images/uploads/image-1764139317-1.JPG and the reaction rate https://www.jscimedcentral.com/public/assets/images/uploads/image-1764139399-1.JPG of neutrons with 3He are much higher than all other thermonuclear reactions over the entire temperature range and dominate the rest of the processes (Figure 2).

https://www.jscimedcentral.com/public/assets/images/uploads/image-1764139484-1.JPG

Figure 2 The rates of the main reactions [4], the reaction rate of 3He [11].

Rates of the reactions 3n He v ≈1.1·10-21 m3s. Averaged over the Maxwellian distribution of reaction rates DT, D3He, DD. For the DD reaction, the sum of the reactions of the two branches DD → Tp and DD → 3Hen is indicated, the cross sections of these two reactions are the same.To control the process, tritium (T) is additionally introduced at a level of about 1% of the fuel mixture to control the flux of neutrons produced. Since the main fuel elements D and 3He are non-radioactive, and T is introduced in small amounts and under control, this increases reactor safety.

The interaction of the born fast tritium with 3He also occurs in the reactions:

(51%) 3He+T → 4He + p + n Q =12.1 MeV, (6)

(43%) 3He+T → 4He (4.8 MeV) + D (9.5 MeV) Q =14.3 MeV, (7)

and (6%) 3He+T → 5He (2.4 MeV) + p (11.9 MeV) Q =14.3 MeV. (8)

In the reactor, the device for thermalization and formation of a directed neutron flux - a slowing-focusing structure [5], covers the area of hot plasma localization, and is located inside the magnetic field formation system of the open trap. The velocity (temperature) of thermal neutrons is much less than the velocity (temperature of the plasma and energy and, born in the plasma fast ions). Thermalization of fast neutrons allows to increase their density in the flux of returned thermal neutrons. At interaction with helium-3 at thermal neutrons of fuel composition from 3He, D and T, the maximum density in the returned stream and the maximum cross section of interaction, as a result Q = 0.76MeV of energy is released and T with energy (0.19MeV) is born, which heats the input cold fuel mixture and then interacts with D or 3He again giving rise to neutrons and energy. 

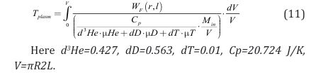
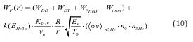
The density in the flux of born fast neutrons reaches nf ≈ 4·109 cm-3, after their deceleration and return the density of thermal neutrons grows up to nt ≈ 1014 cm-3 increasing in https://www.jscimedcentral.com/public/assets/images/uploads/image-1764139716-1.JPG times. Here the energy of the born fast ions is 14.1·106 eV, the energy of thermal neutrons reaches 0.025eV. Hence, since the reaction rate https://www.jscimedcentral.com/public/assets/images/uploads/image-1764139792-1.JPG of neutrons with 3He is a constant, we can estimate the time of helium-3 burnup in the cloud of returned thermal neutrons: https://www.jscimedcentral.com/public/assets/images/uploads/image-1764139870-1.JPG and the time of plasma heating to 100 keV ≈1s. And MFS, allows to increase the neutron density and reduce the fuel train heating time by another two orders of magnitude. The density of neutrons in the stream grows and at the reverse motion due to the concentration of the thermal neutron  flux directed by the MFS as 1/r, where r is the distance to the reactor axis. The efficiency of the n3He interaction is determined by the path length in the plasma of 3He ions, which are magnetized and localized in the magnetic field and fly long distances before interacting with almost stationary thermal neutrons.The modeling proceeded in several steps. Earlier in [5 8], the mode of operation at catalytically closed stationary plasma burnup was shown, when in a hot 15 keV plasma the birth and burnup of D, T, and 3He are equal. In this case,in a composition of 57% D and 43% 3He, 42% of neutrons are born in (D-D)-reactions and 58% of neutrons are born in (D-T)-reactions. In this case, the obtained rate of neutron birth reactions is: 

https://www.jscimedcentral.com/public/assets/images/uploads/image-1764140136-1.JPG

Thus Rnplasm = 4.6·1013cm-3c-1 is the neutron birth rate in the thermonuclear plasma. Energy losses are considered at the level of braking radiation.Then the dynamics of plasma heating in an open magnetic trap was considered at the introduction of cold fuel mixture and its interaction with thermal neutrons in the trap. The composition of the fuel mixture, included: (dD=57% D and d3He=43%3He) and dT=0.1%-1% T. Smooth approximations of the temperature dependence of the reaction rates were obtained from [18] for the reactions: D+D → p + T, D + D → n + 3He, D + T → n + 4He, D + 3He → p + 4He. It is important that 3n He v ≈ is constant, and the density of the composition decreases with increasing temperature.

https://www.jscimedcentral.com/public/assets/images/uploads/image-1764140255-1.JPG

Figure 3 Energy release dynamics (kW cm-3) from reactions with 3He n during radial heating and from DD, DT, 3HeT and TT reactions during fuel mixture injection in the isobaric approximation.

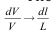
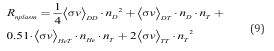
In the model it was considered that the process of mixture heating isobaric Figure 3, so the temperature and plasma density are inversely proportional. The starting pressure of the inlet mixture jet is 0.15 atm, density is 5·1018 cm-3. Mass flow rate of the input mixture Min=1.9·10 3 g/s (for helium-3 MinHe=1·10-3 g/s).The dimensions of the calculated plasma region in the longitudinal magnetic trap are radius R=0.2m, length L=2m. The reactions proceed with large energy release, neutrons are born again, and the process is closed by neutrons. The energy release in the plasma from the interaction of 3He, with thermal neutrons, with D and T, will be:

https://www.jscimedcentral.com/public/assets/images/uploads/image-1764140355-1.JPG

Here r is the distance from the axis; WDD + WDT + W3HeD - energy release from ions in hot plasma; k - Boltzmann constant; R - external radius of the plasma; vn = 2.2·103 m/s-thermal neutron velocity; KV/S ≈ V/S - volume integration factor of the flux - the ratio of the plasma volume to the area of its lateral surface 3n He v ≈ 1.19·10-24 cm-3/s, n3 He - concentration of 3He in the plasma. It is taken into account that the path length of thermal neutrons before interaction is larger than the transverse dimensions of the reactor, and that the density and concentration in the fuel composition fall with increasing temperature in the fuel composition.The reactor operation is sensitive to the mass flow rate of the fuel mixture. When the mass flow rate of the inlet mixture is reduced down to Min = 1. 10-4 g/s, the reactor size can be reduced and made more compact, but the plasma temperature drops. The increased T fraction is useful in the starting mode of reactor operation. In a fusion reactor, heating is carried out in 3He-n reactions, burnup is carried out mainly in D3He reactions, and energy removal is carried out through heat removal and energy conversion, or during expansion and acceleration of the injected fuel mixture in the rocket engine variant. The proposed reactor operates in the mode of a neutron helium plasma burner with a magnetic field, and is not a plasma containment device. Its purpose is localization, heating, acceleration of plasma and energy removal. The plasma temperature increase, with the introduction of the mixture and the neutron flux density obtained for catalytically closed regimes at a temperature of 15-20 keV were integrated Figure 4.

https://www.jscimedcentral.com/public/assets/images/uploads/image-1764140523-1.JPG

Figure 4 Dynamics of temperature rise, in (eV) from 3He-n reactions when the fuel mixture is injected along the axis and when the plasma is radially heated.

https://www.jscimedcentral.com/public/assets/images/uploads/image-1764140578-1.JPG.The variants of axial plasma motion along the trap https://www.jscimedcentral.com/public/assets/images/uploads/image-1764140657-1.JPG and radial motion https://www.jscimedcentral.com/public/assets/images/uploads/image-1764140748-1.JPG (input, heating, combustion and output of hot plasma from the periphery in the plasma trap) were considered. The maximum energy release occurs in the initial region, where the fast jet of the input fuel mixture with a density of about https://www.jscimedcentral.com/public/assets/images/uploads/image-1764140869-1.JPGcm-3 (0.15 atm) heats up to keV temperatures already at the first centimeters. The heating and combustion process is continuous.At axial injection of the mixture, the preservation of the isobaric heating process in the trap is determined by the ratio of the magnetic field values in the inlet and outlet plugs of the trap and the equality of mass flows at its inlet and at the outlet of the hot plasma from the trap. In the variant of fuel mixture input in the near-axis region of the trap and radial motion of the plasma with end magnetic plugs at the ends, the maximum energy release is in the near-axis region, where the input fuel mixture at the first centimeters heats up to keV temperatures reaching the working plasma temperature.On the basis of the knowledge of the energy dependence of these cross sections, we estimate the volume flux of fast tritium and the neutron flux generated in these reactions during plasma heating. In order for neutron birth and neutron burnup to be mutually assured, an input of 0.1% to 1% tritium into the fuel composition at the inlet is required. Since the technological albedo [7] of the MFS is greater than unity, it is possible to operate the reactor without T input, which increases reactor safety.

STABILITY AND ENERGY RELEASE

For some system to be stable and to have a stationary process, it is necessary that the energy release be equal to the energy losses and at the same time not exceed some critical value for the system [9,10]. Therefore, a stationary fusion reactor requires a system of continuous removal of the released energy. This can be realized in an open trap of the probcotron type.In a typical probcotron [11-20], the free path length of 100 keV ions is 3·105 m, which is sufficient for the birth of neutrons in the DD reaction and cyclic closure of the process. The plasma region can be cooled externally with a coolant that does not contain helium-3. The criterion for the possibility of external cooling is the requirement that the losses outside are less than the energy release in the plasma. In our case, the energy release in the plasma strongly depends on the characteristics of the input fuel mixture, the presence or absence of starting tritium in the composition and can reach https://www.jscimedcentral.com/public/assets/images/uploads/image-1764141020-1.JPG When the external coolant is helium or hydrogen, this value can reach https://www.jscimedcentral.com/public/assets/images/uploads/image-1764141080-1.JPG With an external magnetic field greater than B>1T, the operation mode with external coolant flow is possible. That is impossible for tokamaks for which https://www.jscimedcentral.com/public/assets/images/uploads/image-1764141152-1.JPG The mode of operation with external coolant makes it possible to exclude the hot plasma touching the reactor wall and degradation of its surface. At the same time, operation with an external coolant, which does not contain 3He and covers the hot plasma region from outside at high power of energy release in the plasma, allows to facilitate the process of energy removal in the reactor. In the case of power generation, the first stage may include a plasma flow energy converter including a radial magnetic hydrodynamic (RMHD), generator. The magnetic field gradient arising at bending of the longitudinally magnetized channel in which the hot plasma from the reactor moves creates a transverse drift of electrons and ions which rotate and drift in opposite directions against the transverse external electric field, removing energy from the magnetized plasma without plasma ejection on the walls. Several rotations of the plasma outlet channel are possible.

EXPERIMENTAL BASIS FOR NEUTRON CONTROL

In 1991, to improve the efficiency of thermal neutron flux control, a moderating-focusing structure, or MFS [5 8], based on anisotropic smoothly profiled structures was developed. The creation of a device with the ability to select neutrons by direction in space is based on the application of the effect of neutron reflection from the surface of materials [11-14].In a sharply anisotropic structure in the form of a package of selective plates, each neutron after scattering has a probability to get into the angular region of neutron capture by any of the selective plates inside the package of the structure.The result of neutron motion near the surface of the plates, whose radius of curvature increases smoothly, is a series of consecutive reflections: a wall neutron, having first reflected from the plate surface, leaves the MPS, having experienced a series of subsequent reflections.The experiments were conducted in the GEC-4 channel at the IRT-T reactor of the National Research Tomsk Polytechnic University. At least a twofold increase in the average integral flux of thermal neutrons from a sectoral (1/45) MFS on a control silicon wafer was demonstrated.Reactor operation with a neutron moderator covering the plasma volume is possible. Operation is possible on graphite with an albedo of 0.93 and on heavy water with an albedo of 0.97. But the technological albedo of FPS on graphite reaches 4 and MPS can direct the returned thermal neutrons to the zone of fuel mixture heating, summing them up, and has thermal, not “gray” neutron spectrum.

STARTUP DYNAMICS OF OPERATION PROCESSES

Two variants of reactor operation startup are possible - neutron startup and plasma startup Figure 5.

https://www.jscimedcentral.com/public/assets/images/uploads/image-1764141365-1.JPG

Figure 5 Dynamics of change of neutron flux (cm-2s-1) from DD reactions and from DT reactions (for 1% T) at fuel mixture injection from plasma temperature.

Thus, ΦnDD is the neutron flux in (cm-2s-1) born from DD reactions in the plasma, and ΦnSum is the neutron birth flux including DT and TT reaction fluxes.At neutron startup, the inner volume of the magnetized longitudinal trap chamber of the reactor is filled with a cold gas working mixture, for example, of 57% deuterium and 43% helium-3 under pressure, for example, 0.1 atm. A starting neutron source or neutron flux from a neutron source is temporarily introduced inside the MFS. The start can be carried out in an isochoric closed volume with opening of the exit window for plasma upon reaching the regime on the control neutron flux, which dramatically accelerates the dynamics of heating.During neutron birth-return in the MFS system, the plasma volume of the initial starting neutron flux successively heats the fuel mixture to plasma temperatures and then grows, being born in plasma reactions. But a starting source of neutrons is needed, such as from a starter nuclear reactor. Then, the heating of the composition in n - 3He - D -T reactions proceeds independently of the starting source.At plasma start, the reactor chamber is heated to plasma temperatures by pulsely increasing the magnetic field up to 10T, possibly together with neutron heating of the composition.The dynamics of the process is limited by the rate of neutron thermalization in MFS - 10-3 seconds, which limits the rate of neutron flux growth and energy release.MFS has high efficiency of thermalization and thermal neutron return, and a short-term neutron source is suitable for initiation even on natural uranium.

FUEL BASE

Importantly, in our proposal, the process is catalytically closed, with helium-3, tritium, and neutrons constantly being catalytically consumed and reaccumulated during the process. Helium-3 is produced by global and domestic industry. For example, Gazprom has launched production of up to 60 million tons of helium per year at the Amur Gas Condensate Plant. In the Russian Far East, a powerful helium production facility has been set up to produce helium from natural gas. The helium-3 content in natural gas is small - 0.014%.Helium-3 boils at 3.19 K (helium-4 boils at 4.23 K), its critical point is 3.35 K (helium-4 critical point is 5.19 K). Therefore, when helium-4 is already liquid, helium-3 is still a gas. That is why it can be easily separated by rectification.Moreover, PJSC Cryogenmash, a subsidiary of Rosatom, has developed and patented a new technology for helium-3 extraction, and has created a special unit to extract helium-3 from liquid helium with 99.9% efficiency. Since the extraction of helium from gas is already done by rectification, this only requires tweaking the existing process.Deuterium extraction is a well-established industrial process.

CONCLUSIONS

The use of an anisotropic thermal neutron concentrator made in the form of a plate packet of profiled moderator plates makes it possible to increase the efficiency of thermal neutron return control, for example, in the fusion reaction zone.The use of neutron retardation and retardation focusing structure allows increasing the density in the flux of returned thermal neutrons by more than 1·104 times for continuous heating of the incoming fuel mixture. This makes it possible to propose a new type of fusion reactors based on the n-3He-D-T system. The high efficiency of such a reactor is due, first of all, to the fact that the rate and cross section of interaction of neutrons with 3He are higher than the rate and cross sections of all other thermonuclear reactions in the whole range of energies.In fusion reactors based on deuterium-tritium fuel mixture, the reaction cross section is large, but the energy does not remain in the plasma, but escapes with fast neutrons. In n-3He-D-T plasma, the main reaction products are charged and the energy remains in the plasma. This leads to the fact that the power of energy release in the plasma reaches units of kW/cm3.The energy from the interaction of neutrons with 3He is used to heat the input plasma. The operation mode of neutron helium deuterium deuterium burner is realized. It seems that the proposed fusion reactor with an internal catalytic cycle is quite realizable from the point of view of the physics of processes, can be compact enough, and can be used both for power generation and for fusion engines.

REFERENCE
  1. Semyonov I. Energy of the future: controlled thermonuclear fusion. What is the ITER fusion reactor and why is its creation so important?. FIAN. 2008.
  2. Strelkov VS. Thermonuclear Fusion. 2016; 39.
  3. Subbotin ML, Kurbatov DK, Filimonova EA. Review of the state of research of demonstration fusion reactors in the world. Voprosy atomnoy nauki i tekhnika. ser. 2010; 3: 55-74.
  4. Golovin IN. Low-radioactive controlled thermonuclear fusion (reactors with D3He). IAE-4885/8 ?. 1989.
  5. Drobyshevskiy YV, Stolbov SN. Device for Formation of Directed Neutron Flux. Patent RU No. 182181818. 1990.
  6. Drobyshevskiy YuV, Stolbov SN. Method of controlled thermonuclear fusion and controlled thermonuclear reactor for its realization. Patent RU ? 2056649. 1992.
  7. Stolbov SN, Drobyshevskiy YuV, Anfimov IM, Varlachev VA, Kobeleva SP, Nekrasov SA, et al. Development of a focusing neutron control device in nuclear power engineering. Izvestiya VUZOV Yadernaya Energetika 2021. 2021; 2.
  8. Drobyshevskiy YuV, Stolbov SN, Korzhenevskiy AV, Anfimov IM, Kobeleva SP, Varlachev VA, et al. Development of focusing neutron control device in nuclear power engineering. Atomic Energy. 2021; 131: 319-323.
  9. Drobyshevskiy YuV, Anfimov IM, Varlachev VA, Kobeleva SP, Nekrasov SA, Stolbov SN. Instrumentation and Technique of Experiment. 2020; 1: 1-6.
  10. Explosive Phenomena, Assessment and Consequences” ed. by Ya.B. Zeldovich, B.E. Gelfand. M. Mir
  11. library ROSFOND Helium-3 ippe.ru’libr/pdf/02he.pdf
  12. Anderson IS, McGreevy R, Bilheux HZ. Neutron Imaging and Applications: A Reference for the Imaging Community. Springer. 2009..
  13. Melnichenko YB, Wignall GD. Small-angle neutron scattering in materials science: recent practical applications. J Appl Phys. 2007; 102: 021101.
  14. Khaykovich B, Liu D, Resta G, Moncton DE, Gubarev MV. On the challenge of flux concentration at grazing incidence for neutrons and x-rays. Proc SPIE. 2012; 8485: 848509.
  15. Gubarev MV, Ramsey BD, Engelhaupt DE, Burgess JM, Mildner DFR. An evaluation of grazing-incidence optics for neutron imaging, Nucl Instrument Methods Phys Res B. 2007; 265: 626-630.
  16. Kaplienko AV, Strebkov YuS, Danilov IV, Korostelev AB, Solov’ev OV, Sviridenko MN, et al. Development and creation of the ITER internals. Atomic Energy. 2020; 129: 243-247.
  17. Denden O, Afanasiev VV, Al-Amin M. Modeling of the ITER equatorialneutron diagnostic equipment. Atomic Energy. 2019; 127: 47-49.
  18. Belov AA, Kalitkin NN. Refined values of velocities of thermonuclear reactions. Equations of State and Phase Transitions. 291-294.
  19. Kap F. Physics and Technology of Nuclear Reactors. Foreign Literature Publishers. 1960.
  20. Ryutov DD. OPEN traps. ASPECHI PHYSICAL SCIENCES. 1988; 154:565-614.

Stolbov SN, Drobyshevsky YV, Anfimov IM, Varlachev VA, Kobeleva SP, et al. (2025) Creating a Thermonuclear Reactor with Neutron Heating (3He -D-T) Plasma. J Phys Appl and Mech 2(2): 1012.

Received : 09 Oct 2025
Accepted : 03 Oct 2025
Published : 01 Nov 2025
Journals
Annals of Otolaryngology and Rhinology
ISSN : 2379-948X
Launched : 2014
JSM Schizophrenia
Launched : 2016
Journal of Nausea
Launched : 2020
JSM Internal Medicine
Launched : 2016
JSM Hepatitis
Launched : 2016
JSM Oro Facial Surgeries
ISSN : 2578-3211
Launched : 2016
Journal of Human Nutrition and Food Science
ISSN : 2333-6706
Launched : 2013
JSM Regenerative Medicine and Bioengineering
ISSN : 2379-0490
Launched : 2013
JSM Spine
ISSN : 2578-3181
Launched : 2016
Archives of Palliative Care
ISSN : 2573-1165
Launched : 2016
JSM Nutritional Disorders
ISSN : 2578-3203
Launched : 2017
Annals of Neurodegenerative Disorders
ISSN : 2476-2032
Launched : 2016
Journal of Fever
ISSN : 2641-7782
Launched : 2017
JSM Bone Marrow Research
ISSN : 2578-3351
Launched : 2016
JSM Mathematics and Statistics
ISSN : 2578-3173
Launched : 2014
Journal of Autoimmunity and Research
ISSN : 2573-1173
Launched : 2014
JSM Arthritis
ISSN : 2475-9155
Launched : 2016
JSM Head and Neck Cancer-Cases and Reviews
ISSN : 2573-1610
Launched : 2016
JSM General Surgery Cases and Images
ISSN : 2573-1564
Launched : 2016
JSM Anatomy and Physiology
ISSN : 2573-1262
Launched : 2016
JSM Dental Surgery
ISSN : 2573-1548
Launched : 2016
Annals of Emergency Surgery
ISSN : 2573-1017
Launched : 2016
Annals of Mens Health and Wellness
ISSN : 2641-7707
Launched : 2017
Journal of Preventive Medicine and Health Care
ISSN : 2576-0084
Launched : 2018
Journal of Chronic Diseases and Management
ISSN : 2573-1300
Launched : 2016
Annals of Vaccines and Immunization
ISSN : 2378-9379
Launched : 2014
JSM Heart Surgery Cases and Images
ISSN : 2578-3157
Launched : 2016
Annals of Reproductive Medicine and Treatment
ISSN : 2573-1092
Launched : 2016
JSM Brain Science
ISSN : 2573-1289
Launched : 2016
JSM Biomarkers
ISSN : 2578-3815
Launched : 2014
JSM Biology
ISSN : 2475-9392
Launched : 2016
Archives of Stem Cell and Research
ISSN : 2578-3580
Launched : 2014
Annals of Clinical and Medical Microbiology
ISSN : 2578-3629
Launched : 2014
JSM Pediatric Surgery
ISSN : 2578-3149
Launched : 2017
Journal of Memory Disorder and Rehabilitation
ISSN : 2578-319X
Launched : 2016
JSM Tropical Medicine and Research
ISSN : 2578-3165
Launched : 2016
JSM Head and Face Medicine
ISSN : 2578-3793
Launched : 2016
JSM Cardiothoracic Surgery
ISSN : 2573-1297
Launched : 2016
JSM Bone and Joint Diseases
ISSN : 2578-3351
Launched : 2017
JSM Bioavailability and Bioequivalence
ISSN : 2641-7812
Launched : 2017
JSM Atherosclerosis
ISSN : 2573-1270
Launched : 2016
Journal of Genitourinary Disorders
ISSN : 2641-7790
Launched : 2017
Journal of Fractures and Sprains
ISSN : 2578-3831
Launched : 2016
Journal of Autism and Epilepsy
ISSN : 2641-7774
Launched : 2016
Annals of Marine Biology and Research
ISSN : 2573-105X
Launched : 2014
JSM Health Education & Primary Health Care
ISSN : 2578-3777
Launched : 2016
JSM Communication Disorders
ISSN : 2578-3807
Launched : 2016
Annals of Musculoskeletal Disorders
ISSN : 2578-3599
Launched : 2016
Annals of Virology and Research
ISSN : 2573-1122
Launched : 2014
JSM Renal Medicine
ISSN : 2573-1637
Launched : 2016
Journal of Muscle Health
ISSN : 2578-3823
Launched : 2016
JSM Genetics and Genomics
ISSN : 2334-1823
Launched : 2013
JSM Anxiety and Depression
ISSN : 2475-9139
Launched : 2016
Clinical Journal of Heart Diseases
ISSN : 2641-7766
Launched : 2016
Annals of Medicinal Chemistry and Research
ISSN : 2378-9336
Launched : 2014
JSM Pain and Management
ISSN : 2578-3378
Launched : 2016
JSM Women's Health
ISSN : 2578-3696
Launched : 2016
Clinical Research in HIV or AIDS
ISSN : 2374-0094
Launched : 2013
Journal of Endocrinology, Diabetes and Obesity
ISSN : 2333-6692
Launched : 2013
Journal of Substance Abuse and Alcoholism
ISSN : 2373-9363
Launched : 2013
JSM Neurosurgery and Spine
ISSN : 2373-9479
Launched : 2013
Journal of Liver and Clinical Research
ISSN : 2379-0830
Launched : 2014
Journal of Drug Design and Research
ISSN : 2379-089X
Launched : 2014
JSM Clinical Oncology and Research
ISSN : 2373-938X
Launched : 2013
JSM Bioinformatics, Genomics and Proteomics
ISSN : 2576-1102
Launched : 2014
JSM Chemistry
ISSN : 2334-1831
Launched : 2013
Journal of Trauma and Care
ISSN : 2573-1246
Launched : 2014
JSM Surgical Oncology and Research
ISSN : 2578-3688
Launched : 2016
Annals of Food Processing and Preservation
ISSN : 2573-1033
Launched : 2016
Journal of Radiology and Radiation Therapy
ISSN : 2333-7095
Launched : 2013
JSM Physical Medicine and Rehabilitation
ISSN : 2578-3572
Launched : 2016
Annals of Clinical Pathology
ISSN : 2373-9282
Launched : 2013
Annals of Cardiovascular Diseases
ISSN : 2641-7731
Launched : 2016
Journal of Behavior
ISSN : 2576-0076
Launched : 2016
Annals of Clinical and Experimental Metabolism
ISSN : 2572-2492
Launched : 2016
Clinical Research in Infectious Diseases
ISSN : 2379-0636
Launched : 2013
JSM Microbiology
ISSN : 2333-6455
Launched : 2013
Journal of Urology and Research
ISSN : 2379-951X
Launched : 2014
Journal of Family Medicine and Community Health
ISSN : 2379-0547
Launched : 2013
Annals of Pregnancy and Care
ISSN : 2578-336X
Launched : 2017
JSM Cell and Developmental Biology
ISSN : 2379-061X
Launched : 2013
Annals of Aquaculture and Research
ISSN : 2379-0881
Launched : 2014
Clinical Research in Pulmonology
ISSN : 2333-6625
Launched : 2013
Journal of Immunology and Clinical Research
ISSN : 2333-6714
Launched : 2013
Annals of Forensic Research and Analysis
ISSN : 2378-9476
Launched : 2014
JSM Biochemistry and Molecular Biology
ISSN : 2333-7109
Launched : 2013
Annals of Breast Cancer Research
ISSN : 2641-7685
Launched : 2016
Annals of Gerontology and Geriatric Research
ISSN : 2378-9409
Launched : 2014
Journal of Sleep Medicine and Disorders
ISSN : 2379-0822
Launched : 2014
JSM Burns and Trauma
ISSN : 2475-9406
Launched : 2016
Chemical Engineering and Process Techniques
ISSN : 2333-6633
Launched : 2013
Annals of Clinical Cytology and Pathology
ISSN : 2475-9430
Launched : 2014
JSM Allergy and Asthma
ISSN : 2573-1254
Launched : 2016
Journal of Neurological Disorders and Stroke
ISSN : 2334-2307
Launched : 2013
Annals of Sports Medicine and Research
ISSN : 2379-0571
Launched : 2014
JSM Sexual Medicine
ISSN : 2578-3718
Launched : 2016
Annals of Vascular Medicine and Research
ISSN : 2378-9344
Launched : 2014
JSM Biotechnology and Biomedical Engineering
ISSN : 2333-7117
Launched : 2013
Journal of Hematology and Transfusion
ISSN : 2333-6684
Launched : 2013
JSM Environmental Science and Ecology
ISSN : 2333-7141
Launched : 2013
Journal of Cardiology and Clinical Research
ISSN : 2333-6676
Launched : 2013
JSM Nanotechnology and Nanomedicine
ISSN : 2334-1815
Launched : 2013
Journal of Ear, Nose and Throat Disorders
ISSN : 2475-9473
Launched : 2016
JSM Ophthalmology
ISSN : 2333-6447
Launched : 2013
Journal of Pharmacology and Clinical Toxicology
ISSN : 2333-7079
Launched : 2013
Annals of Psychiatry and Mental Health
ISSN : 2374-0124
Launched : 2013
Medical Journal of Obstetrics and Gynecology
ISSN : 2333-6439
Launched : 2013
Annals of Pediatrics and Child Health
ISSN : 2373-9312
Launched : 2013
JSM Clinical Pharmaceutics
ISSN : 2379-9498
Launched : 2014
JSM Foot and Ankle
ISSN : 2475-9112
Launched : 2016
JSM Alzheimer's Disease and Related Dementia
ISSN : 2378-9565
Launched : 2014
Journal of Addiction Medicine and Therapy
ISSN : 2333-665X
Launched : 2013
Journal of Veterinary Medicine and Research
ISSN : 2378-931X
Launched : 2013
Annals of Public Health and Research
ISSN : 2378-9328
Launched : 2014
Annals of Orthopedics and Rheumatology
ISSN : 2373-9290
Launched : 2013
Journal of Clinical Nephrology and Research
ISSN : 2379-0652
Launched : 2014
Annals of Community Medicine and Practice
ISSN : 2475-9465
Launched : 2014
Annals of Biometrics and Biostatistics
ISSN : 2374-0116
Launched : 2013
JSM Clinical Case Reports
ISSN : 2373-9819
Launched : 2013
Journal of Cancer Biology and Research
ISSN : 2373-9436
Launched : 2013
Journal of Surgery and Transplantation Science
ISSN : 2379-0911
Launched : 2013
Journal of Dermatology and Clinical Research
ISSN : 2373-9371
Launched : 2013
JSM Gastroenterology and Hepatology
ISSN : 2373-9487
Launched : 2013
Annals of Nursing and Practice
ISSN : 2379-9501
Launched : 2014
JSM Dentistry
ISSN : 2333-7133
Launched : 2013
Author Information X