Loading

Journal of Physics: Applications and Mechanics

On Spacetime as a Damped Harmonic Oscillator and The Dark Universe

Review Article | Open Access | Volume 2 | Issue 2
Article DOI :

  • 1. Independent Researcher at Bill Stone Services, Uganda
+ Show More - Show Less
Corresponding Authors
Balungi Francis, Independent Researcher at Bill Stone Services, Kampala, Uganda
Abstract

We present the structure of space-time as an oscillating Hubble Scale Mass (HSM) particle in a viscous fluid of Planck mass relics. Due to this particle oscillations and its interaction with a residual Planck mass, spacetime is undergoing a damped harmonic oscillation. This means that spacetime has a physical structure and is therefore foamy on small scales. Applying our damped harmonic oscillator model to cosmology we rediscover the Friedman-Lemaitre equations for an expanding Universe. From the expanding Universe model we predict that cosmic acceleration, driven by an oscillating HSM and its gravitational interaction with a cosmic medium or Planck mass relics, manifests as the universe’s expansion accelerating over time, with a corresponding acceleration of roughly 10-10m/s2. Depending on the model, the “damping” aspect of the oscillator is interpreted as a constant dark gravity force which is also a representation of dark energy, a mysterious force causing the universe’s expansion to accelerate. We derive an estimate of the strength of this extra force in terms of the Gravitational constant, Planck mass, Hubble acceleration scale  https://www.jscimedcentral.com/public/assets/images/uploads/image-1763525344-1.JPG fine structure constant, cold dark matter https://www.jscimedcentral.com/public/assets/images/uploads/image-1763525462-1.JPG dark energy https://www.jscimedcentral.com/public/assets/images/uploads/image-1763525770-1.JPG and baryon density https://www.jscimedcentral.com/public/assets/images/uploads/image-1763525852-1.JPG and provide evidence for the fact that this ‘dark gravity force’ explains the observed phenomena for an accelerating expansion of the Universe currently attributed to dark energy. Lastly we present a model for an accelerating expanding universe in the early Universe using an oscillating Planck mass particle in a viscous fluid of a Hubble scale mass as our space-time model.

Keywords

• Dark Energy

• Cosmic Acceleration

• Expanding Universe

• String Theory

• Quantum Fluctuations

• Inflation

• Cosmology

• Large Scale Structures

• Density Perturbations

• Inflaton Field

Citation

Francis B (2025) On Spacetime as a Damped Harmonic Oscillator and The Dark Universe. J Phys Appl and Mech 2(2): 1011.

INTRODUCTION AND SUMMARY

According to Einstein’s theory of general relativity space-time has no physical structure other than its four dimensional continuum, essentially weaving space and time together as a single entity, with the structure of space-time being described by its curvature, which is influenced by the presence of mass and energy, causing massive objects to “bend” space- time around them; this curvature is what we perceive as gravity. This conventional point of view has been challenged by current theories and observations. From the observational side, the fact that 95% of our Universe consists of mysterious forms of energy or matter gives sufficient motivation to reconsider this basic starting point and from a theoretical perspective, insights from black hole physics and string theory indicate that our ‘macroscopic’ notions of space-time and gravity are emergent from an underlying microscopic description in which they have no a priori meaning [1].According to Wheeler and Nesterov [2,3], over sufficiently small distances and sufficiently brief intervals of time, the “very geometry of spacetime fluctuates”. These fluctuations could be large enough to cause significant departures from the smooth spacetime seen at macroscopic scales, giving spacetime a “foamy” character. This spacetime foam significantly impacts the effective cosmological constant, which is determined by the density of topological geons, implying that the source of dark energy is topological geons. Also according to Hinterbichler [4], one could hope to explain the acceleration of the universe without dark energy by choosing the graviton mass to be of order the Hubble constant.To differ from Wheeler and Nesterov [2,3], we present the structure of space-time as a damped oscillator of a Hubble Scale Mass (HSM) particle [5-9], in a viscous fluid [10], and using the equations of a simple harmonic oscillator as in classical physics, we show that the fabric of spacetime experiences oscillations that gradually decrease in amplitude over time, similar to how a physical object like a mass on a spring would lose energy and eventually come to rest when subject to a damping force; in this case, the “damping” would be caused by some mechanism within the spacetime itself that dissipates energy from the oscillations. Some potential mechanisms that could lead to such oscillations may include; dark energy dynamics and scalar fields [11]. Like any damped oscillation, the amplitude of the spacetime ripples would decrease exponentially with time, meaning the “waves” in spacetime would become smaller and smaller until they are negligible [11]. In cosmology, theories suggest that the early universe might have experienced a period of damped spacetime oscillations, potentially explaining the observed uniformity of the cosmic microwave background radiation (see section3). In quantum gravity frameworks, spacetime oscillations could be linked to the nature of quantum particles and their interactions [12,13]. The implication of space-time oscillations on cosmology is that if space undergoes damped oscillations, it could potentially affect our understanding of the universe’s ultimate fate, including whether it will continue to expand indefinitely or eventually collapse. Currently, there is no definitive observational evidence for a damped oscillating space- time of the universe, although some studies of distant supernovae and the cosmic microwave background radiation could potentially provide hints about past fluctuations in the expansion rate [14]. The aim of this paper is therefore to prove that space time is undergoing a damped oscillation and that the cause of this oscillation is attributed to the dynamics of the dark force.

https://www.jscimedcentral.com/public/assets/images/uploads/image-1763466094-1.JPG

The goal of this paper is to give a completely satisfactory microscopic description of space-time with a negative pressure and a positive cosmological constant to fully explain the cause of an accelerating expansion of the Universe. In this paper we provide evidence for the fact that the observed dark energy, the phenomena currently attributed to dark matter and the damped oscillation of space-time have a common origin and are connected to the rotational motion of a Hubble scale mass particle of space-time in the present Universe. This paper is structured as follows: In section two we apply the classical equations of a simple harmonic oscillator to an oscillating Hubble scale mass version of space-time. From this model we calculate the angular frequency, damping ratio and exponential decay of the oscillator. In (section 2.1) we apply the differential equation of a HSM damped oscillator to cosmology. In section three we apply the classical equations of a simple harmonic oscillator to an oscillating Planck mass version of space-time with implications for the early Universe.

FIRST MODEL: OSCILLATION OF A HUBBLE SCALE MASS PARTICLE IN A VISCOUS FLUID

Consider any region of space in the Universe where a vacuum of space is defined by an oscillating Hubble Scale Mass Particle (HSM) with mass,  10-68   kg in a fluid or vacuum of viscous damping coefficient,

https://www.jscimedcentral.com/public/assets/images/uploads/image-1763466378-1.JPG 

is the Planck mass [15]. The damping coefficient given results from the presence of a residual Planck mass in the vacuum of space and the damping is therefore caused by a negative gravitational attraction of a HSM with the cosmic medium of a residual Planck mass.The particle‘s oscillating mass and the damping coefficient are therefore proportional to the Hubble angular frequency scale https://www.jscimedcentral.com/public/assets/images/uploads/image-1763526064-1.JPG is the present Hubble constant parameter [16], https://www.jscimedcentral.com/public/assets/images/uploads/image-1763526151-1.JPG is the density parameter [16], h is the reduced Planck constant, and c is the constant speed of light). Friction, or damping, slows the motion of the system and is always in a direction to oppose the motion. Due to frictional force, the velocity decreases in proportion to the acting frictional force as https://www.jscimedcentral.com/public/assets/images/uploads/image-1763526258-1.JPG.Consider the forces acting on the HSM particle; for a mass oscillating in a viscous fluid, the net force is equal to the restoring force https://www.jscimedcentral.com/public/assets/images/uploads/image-1763526321-1.JPG(where k is the force constant and × is the displacement from the initial equilibrium position) and the damping force https://www.jscimedcentral.com/public/assets/images/uploads/image-1763526419-1.JPG as,https://www.jscimedcentral.com/public/assets/images/uploads/image-1763526501-1.JPG Writing this as an equation in mass m, acceleration a, velocity v and displacement, × , we have

https://www.jscimedcentral.com/public/assets/images/uploads/image-1763526595-1.JPG Using dimensional analysis, the force constant or spring constant k of a HSM particle is related to the current Hubble scale radius  m and the cosmological constant https://www.jscimedcentral.com/public/assets/images/uploads/image-1763526741-1.JPG as,  (where G, is the Gravitational constant).Putting in the values of the viscous damping coefficient

https://www.jscimedcentral.com/public/assets/images/uploads/image-1763526854-1.JPG and the force constant k we have,

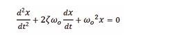
Writing this as a differential equation [17] in × , we obtain

This can be rewritten into the form [18-21]

From  which  the  undamped  angular  frequency of  the oscillator is given  by an equation,

 (Where Rs=  is the Schwarzschild radius of a HSM particle).The damping ratio is calculated to be, This value of the damping ratio determines the behavior of the system.The exponential decay of the damped harmonic oscillator is given by,  https://www.jscimedcentral.com/public/assets/images/uploads/image-1763529422-1.JPG

The value  https://www.jscimedcentral.com/public/assets/images/uploads/image-1763527110-1.JPG obtained implies that space is vibrating at extremely high frequencies, potentially corresponding to the Planck time scale, https://www.jscimedcentral.com/public/assets/images/uploads/image-1763529309-1.JPG, which is the smallest unit of time at any given point in space. Space-time therefore is an oscillation of tiny Planck length HSM particles.This damped model might imply a universe that once oscillated more violently during the Big Bang and is now settling into a quieter state. In quantum gravity or string theory, the model might imply that space-time can also oscillate at tiny scales. The concept of “space-time as a damped harmonic oscillator” is therefore a metaphorical analogy that attempts to describe the universe’s expansion and potential deceleration by comparing it to the behavior of a damped harmonic oscillator, where an oscillating system gradually loses energy over time due to friction-like forces, causing its amplitude to decrease exponentially; essentially suggesting that the universe’s expansion might be slowing down as time progresses due to some inherent “damping” mechanism.

Application of First Model to Cosmology

Let the frictional force be a repulsive gravitational force resulting from an interaction of a HSM particle with the Planck mass. Because friction or damping is always in a direction to oppose the motion, this leads to a large negative pressure within the interaction. Therefore the large negative pressure P has repulsive gravity and can lead to the observed accelerated expansion of the universe. If we consider a small area of the vacuum of space, the frictional force or repulsive gravity acting perpendicular on the area A is the negative pressure P and is given by a simple equation,  https://www.jscimedcentral.com/public/assets/images/uploads/image-1763527229-1.JPG

https://www.jscimedcentral.com/public/assets/images/uploads/image-1763466948-1.JPG

structure constant or electromagnetic coupling constant,  https://www.jscimedcentral.com/public/assets/images/uploads/image-1763527330-1.JPG is the Planck length and https://www.jscimedcentral.com/public/assets/images/uploads/image-1763527413-1.JPG is the angular frequency or natural frequency of a simple harmonic oscillator of a HSM particle). The displacement is known as the string length scale of a particle due to its extended nature.The angular acceleration of a HSM particle is thus given as https://www.jscimedcentral.com/public/assets/images/uploads/image-1763527487-1.JPG,whichthengivesanetforceonaHSM particle as https://www.jscimedcentral.com/public/assets/images/uploads/image-1763527596-1.JPG ′ Then Eq2 canbewritten as,

https://www.jscimedcentral.com/public/assets/images/uploads/image-1763467094-1.JPG

When the allowed calculable area for any region of space due to the foamy nature of space-tim (space-time foam, [22]) is https://www.jscimedcentral.com/public/assets/images/uploads/image-1763527696-1.JPG we then have

https://www.jscimedcentral.com/public/assets/images/uploads/image-1763467211-1.JPG

For an accelerating expansion of the Universe, the R.H.S of the above model equation shows that, the Hubble length scale takes on a new length scale https://www.jscimedcentral.com/public/assets/images/uploads/image-1763527808-1.JPG.Still from our model, the minimum volume at the R.H.S of the equation denominator is given by  https://www.jscimedcentral.com/public/assets/images/uploads/image-1763527915-1.JPG . This volume is determined by the Planck area  https://www.jscimedcentral.com/public/assets/images/uploads/image-1763527993-1.JPG and the new Hubble scale length  https://www.jscimedcentral.com/public/assets/images/uploads/image-1763528082-1.JPG According to Ng [22], this is the allowed calculable volume for any region of space representing the foamy nature of space-time at small scales. The space-time foam is a result of quantum vacuum fluctuations represented by the oscillation of a HSM particle and its interaction with a Planck mass.

It is also worth noting that our model predicts cosmic acceleration at large cosmic length scales as,

https://www.jscimedcentral.com/public/assets/images/uploads/image-1763467211-1.JPG

is the value of cosmic acceleration of the observable Universe. The cosmic acceleration, driven by an oscillating HSM and it‘s gravitational attraction with a cosmic medium or Planck mass relics, manifests as the universe’s expansion accelerating over time, with a Hubble parameter

https://www.jscimedcentral.com/public/assets/images/uploads/image-1763467410-1.JPG

According to the equation given above,  https://www.jscimedcentral.com/public/assets/images/uploads/image-1763528181-1.JPG is the acceleration due gravity or the gravitational field of an oscillating HSM particle at Planck length scales. This implies that these particles act as tiny black holes oscillating at great Planck frequencies creating space curvature and a constant gravitational field. If the cosmic medium was a residual Planck mass, then its interaction with the gravitational field would cause a repulsive force like friction which will lead to an accelerated expansion of the medium at a Hubble scale parameter https://www.jscimedcentral.com/public/assets/images/uploads/image-1763528271-1.JPG and a reduced velocity of the HSM particle of  https://www.jscimedcentral.com/public/assets/images/uploads/image-1763528347-1.JPG due to damping. The acceleration of the cosmic medium is therefore given as https://www.jscimedcentral.com/public/assets/images/uploads/image-1763528414-1.JPGand is related to the gravitational field and the angular acceleration of a HSM by the equation,

https://www.jscimedcentral.com/public/assets/images/uploads/image-1763467525-1.JPG

This means that there is no difference between an accelerating HSM and the cosmic medium presented by a residual Planck mass. Therefore the friction force or repulsive gravity that derives an accelerated expansion of the Universe is,

https://www.jscimedcentral.com/public/assets/images/uploads/image-1763467627-1.JPG

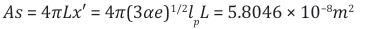
Where, h = 0.6755 , is the dimensionless reduced Hubble parameter. To be more precise, https://www.jscimedcentral.com/public/assets/images/uploads/image-1763528571-1.JPG It is also worth noting that the dimensionless parameter https://www.jscimedcentral.com/public/assets/images/uploads/image-1763528644-1.JPG can be expressed in terms of the physical baryon density today https://www.jscimedcentral.com/public/assets/images/uploads/image-1763528740-1.JPG and physical cold dark matter density today https://www.jscimedcentral.com/public/assets/images/uploads/image-1763528814-1.JPG as,

https://www.jscimedcentral.com/public/assets/images/uploads/image-1763467711-1.JPG

Notice here, https://www.jscimedcentral.com/public/assets/images/uploads/image-1763528881-1.JPG which gives a connection between cold dark matter  https://www.jscimedcentral.com/public/assets/images/uploads/image-1763528964-1.JPG , dark energy https://www.jscimedcentral.com/public/assets/images/uploads/image-1763529046-1.JPG density https://www.jscimedcentral.com/public/assets/images/uploads/image-1763529127-1.JPG as,

https://www.jscimedcentral.com/public/assets/images/uploads/image-1763467836-1.JPG

SECOND MODEL: OSCILLATION OF A PLANCK MASS-SIZED PARTICLE IN A VISCOUS FLUID

In this model, instead of an oscillating HSM we consider an oscillating Planck mass as described below. Let the system of space at any given point be described as an oscillating Planck mass particle with mass

https://www.jscimedcentral.com/public/assets/images/uploads/image-1763467960-1.JPG

Due to a frictional force, the velocity decreases in proportion to the acting frictional force.

https://www.jscimedcentral.com/public/assets/images/uploads/image-1763469594-1.JPG

The force constant or spring constant k is here proportional to the product of the Planck length and Cosmological constant as,  Therefore the net force on the mass mp is: 

https://www.jscimedcentral.com/public/assets/images/uploads/image-1763469775-1.JPG 

Writing this as an equation in mass m, acceleration a, velocity v and displacement, ×  we obtain,

https://www.jscimedcentral.com/public/assets/images/uploads/image-1763469944-1.JPG

 (6) Putting in the values of the viscous damping coefficient https://www.jscimedcentral.com/public/assets/images/uploads/image-1763617236-1.JPG and the force constant k we have,

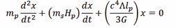
Writing this as a differential equation in × , we have

https://www.jscimedcentral.com/public/assets/images/uploads/image-1763470192-1.JPG

This can be rewritten into the form

https://www.jscimedcentral.com/public/assets/images/uploads/image-1763470261-1.JPG

From which the “undamped” angular frequency of oscillating space-time in the early universe had a value  and a damping ratio of,   The exponential decay of this damped harmonic oscillator is given by  https://www.jscimedcentral.com/public/assets/images/uploads/image-1763617422-1.JPG This value implies that space was vibrating at extremely low frequencies at the early age of the Universe.

APPLICATION OF SECOND MODEL TO COSMOLOGY

Let the frictional force be a repulsive gravitational force resulting from an interaction of a Planck mass with a HSM particle. Because friction or damping is always in a direction to oppose the motion, this leads to a large negative pressure within the interaction. Therefore the large negative pressure P has repulsive gravity and can lead to the observed accelerated expansion of the universe. If we consider a small area of the vacuum of space, the frictional force or repulsive gravity acting perpendicular on the area A is the negative pressure P and is given by a simple equation,  https://www.jscimedcentral.com/public/assets/images/uploads/image-1763617567-1.JPG. Let the displacement https://www.jscimedcentral.com/public/assets/images/uploads/image-1763617665-1.JPG of a Planck particle from its equilibrium position be given by, https://www.jscimedcentral.com/public/assets/images/uploads/image-1763617738-1.JPG and its velocity by https://www.jscimedcentral.com/public/assets/images/uploads/image-1763617812-1.JPG, is the fine structure constant or electromagnetic coupling constant , https://www.jscimedcentral.com/public/assets/images/uploads/image-1763617890-1.JPG is the Hubble length and  is the angular frequency or natural frequency of a simple harmonic oscillator of a Planck mass particle).

https://www.jscimedcentral.com/public/assets/images/uploads/image-1763468296-1.JPG

https://www.jscimedcentral.com/public/assets/images/uploads/image-1763468515-1.JPG

CONCLUSION

The idea of space-time as a damped oscillator is an intriguing concept that emerges from certain theoretical frameworks in physics, blending classical mechanics with cosmology or quantum gravity. Let‘s break it down naturally. is Imagine space-time as a kind of fabric that vibrates, much like a guitar string or a spring. In a damped oscillator, those vibrations don‘t go on forever-they fade out over time due to some kind of friction or energy loss. In the context of space-time, this could suggest that the universe‘s expansion, curvature, or even gravitational waves might behave like oscillations that gradually wind down. The “damping” could come from energy being dissipated into matter, radiation, or some exotic field. One place this idea might connect is cosmology. The universe‘s expansion seems to accelerate due to dark energy, but if we flip the script, a damped model might imply a universe that once oscillated more violently (see section3)-say, during the Big Bang-and is now settling into a quieter state (see section2). Think of the cosmic microwave background as a faint echo of that early “ringing” of space-time, damped by billions of years of expansion and cooling In quantum gravity or string theory, space-time could also oscillate at tiny scales. Some physicists speculate that space-time isn‘t perfectly smooth but has a foamy, vibrating structure. If those vibrations lose energy— maybe to virtual particles popping in and out of existence it‘s not hard to picture a damped oscillator-like behavior at the Planck scale. General relativity treats space-time as a smooth, dynamic geometry shaped by mass and energy, not a mechanical oscillator. To make the damped oscillator idea rigorous, you‘d need a model specifying what‘s oscillating (space-time metric? a scalar field?) and what‘s doing the damping (viscosity of the vacuum? interaction with a cosmic medium?). This study has clearly shown that oscillating HSM and its gravitational interaction with a cosmic medium or Planck mass relics, manifests as the universe’s expansion accelerating over time, with a corresponding acceleration of roughly 10−10m/s2. Depending on the model, the “damping” aspect of the oscillator is interpreted as a constant dark gravity force which is also a representation of dark energy, a mysterious force causing the universe’s expansion to accelerate.

DISCLAIMER

The authors declare that they have no known competing financial interests or personal relationships that could have appeared to influence the work reported in this paper.

REFERENCES
  1. Verlinde EP. Emergent gravity and the dark universe. SciPost Physics.2017; 2: 16.
  2. Wheeler JA. Geon. Physical Review. 1955; 97: 511.
  3. Nesterov AI. Spacetime foam and solution of the cosmologicalconstant problem. 2024.
  4. Hinterbichler K. Theoretical aspects of massive gravity. 2011.
  5. Valev D. Evidence of dirac large numbers hypothesis. Proceedings ofthe Romanian Academy. 2019; 20: 361-368.
  6. Alfonso-Faus A. Universality of the self gravitational potential energyof any fundamental particle. Astrophys. Space Sci. 2012; 337: 363-365.
  7. Valev D. Neutrino and graviton rest mass estimations by aphenomenological approach. 2005; 21.
  8. Goldhaber AS, Nietto MM. Mass of the graviton. Physical Review D.1974; 9: 1119-1121.
  9. Sabine H, Tobias M. The redshift-dependence of radial acceleration:Modified gravity versus particle dark matter. 2018.
  10. Arbab AI. Matter aspect of the space-time: A viscous fluid. 2021.
  11. Khoshsima M. Universe, a spacetime harmonic oscillator. Int JPhysics. 2016; 4: 21-25.
  12. Macken JA. Oscillating spacetime: The foundation of the universe. JModern Physics. 2024; 15: 2024.
  13. Ng YJ, Dam HV.Measuring the foaminess of space-time with gravity-wave interferometers. 2000.
  14. DESI Collaboration, Adame AG, Aguilar J. Ahlen S, Alam S, Alexander DM, et al. DESI 2024 VI: cosmological constraints from the measurements of baryon acoustic oscillations. Cosmology and Nongalactic Astrophysics. 2024.
  15. CODATA Value: Planck mass. The NIST Reference on Constants, Units,and Uncertainty. 2022.
  16. The Planck Collaboration: Aghanim N, Akrami Y, Ashdown M, Aumont J, Baccigalupi C, Ballardini M, et al. Planck 2018 results. VI. Cosmological parameters. Astronomy and Astrophysics. 2021; 641.
  17. Rahman J, Mushtaq M, Ali A, Anjam YN, Nazir S. Modelling damped mass spring system in MATHLAB Simulink. J Faculty Engineering Technol. 2014; 21.
  18. Hayek SI. Mechanical vibration and damping. Encyclopedia of AppliedPhysics. 2003.
  19. Fowles, Grant R. Analytic Mechanics (5th ed), Fort Worth: Saunders College Publishing. 1999.
  20. Kreyszig, Erwin. Advanced Engineering Mathematics (3rd ed), NewYork. 1972.
  21. Rahman J, Mushtaq M, Ali A, Anjam YN, Nazir S. Modelling damped mass spring system in MATHLAB Simulink. J Faculty Engineering Technol. 2014; 21.
  22. Ng YJ. Measuring the foaminess of space-time with gravity-waveinterferometers. 2000.
  23. Milgrom M. A modification of the Newtonian dynamics as a possible alternative to the hidden mass hypothesis. Astrophys J. 1983; 270: 365-370.
  24. Milgrom M. A modification of the Newtonian dynamics - Implications for galaxies. 1983; 270: 371-383.
Received : 17 Jul 2025
Accepted : 11 Oct 2025
Published : 13 Oct 2025
Journals
Annals of Otolaryngology and Rhinology
ISSN : 2379-948X
Launched : 2014
JSM Schizophrenia
Launched : 2016
Journal of Nausea
Launched : 2020
JSM Internal Medicine
Launched : 2016
JSM Hepatitis
Launched : 2016
JSM Oro Facial Surgeries
ISSN : 2578-3211
Launched : 2016
Journal of Human Nutrition and Food Science
ISSN : 2333-6706
Launched : 2013
JSM Regenerative Medicine and Bioengineering
ISSN : 2379-0490
Launched : 2013
JSM Spine
ISSN : 2578-3181
Launched : 2016
Archives of Palliative Care
ISSN : 2573-1165
Launched : 2016
JSM Nutritional Disorders
ISSN : 2578-3203
Launched : 2017
Annals of Neurodegenerative Disorders
ISSN : 2476-2032
Launched : 2016
Journal of Fever
ISSN : 2641-7782
Launched : 2017
JSM Bone Marrow Research
ISSN : 2578-3351
Launched : 2016
JSM Mathematics and Statistics
ISSN : 2578-3173
Launched : 2014
Journal of Autoimmunity and Research
ISSN : 2573-1173
Launched : 2014
JSM Arthritis
ISSN : 2475-9155
Launched : 2016
JSM Head and Neck Cancer-Cases and Reviews
ISSN : 2573-1610
Launched : 2016
JSM General Surgery Cases and Images
ISSN : 2573-1564
Launched : 2016
JSM Anatomy and Physiology
ISSN : 2573-1262
Launched : 2016
JSM Dental Surgery
ISSN : 2573-1548
Launched : 2016
Annals of Emergency Surgery
ISSN : 2573-1017
Launched : 2016
Annals of Mens Health and Wellness
ISSN : 2641-7707
Launched : 2017
Journal of Preventive Medicine and Health Care
ISSN : 2576-0084
Launched : 2018
Journal of Chronic Diseases and Management
ISSN : 2573-1300
Launched : 2016
Annals of Vaccines and Immunization
ISSN : 2378-9379
Launched : 2014
JSM Heart Surgery Cases and Images
ISSN : 2578-3157
Launched : 2016
Annals of Reproductive Medicine and Treatment
ISSN : 2573-1092
Launched : 2016
JSM Brain Science
ISSN : 2573-1289
Launched : 2016
JSM Biomarkers
ISSN : 2578-3815
Launched : 2014
JSM Biology
ISSN : 2475-9392
Launched : 2016
Archives of Stem Cell and Research
ISSN : 2578-3580
Launched : 2014
Annals of Clinical and Medical Microbiology
ISSN : 2578-3629
Launched : 2014
JSM Pediatric Surgery
ISSN : 2578-3149
Launched : 2017
Journal of Memory Disorder and Rehabilitation
ISSN : 2578-319X
Launched : 2016
JSM Tropical Medicine and Research
ISSN : 2578-3165
Launched : 2016
JSM Head and Face Medicine
ISSN : 2578-3793
Launched : 2016
JSM Cardiothoracic Surgery
ISSN : 2573-1297
Launched : 2016
JSM Bone and Joint Diseases
ISSN : 2578-3351
Launched : 2017
JSM Bioavailability and Bioequivalence
ISSN : 2641-7812
Launched : 2017
JSM Atherosclerosis
ISSN : 2573-1270
Launched : 2016
Journal of Genitourinary Disorders
ISSN : 2641-7790
Launched : 2017
Journal of Fractures and Sprains
ISSN : 2578-3831
Launched : 2016
Journal of Autism and Epilepsy
ISSN : 2641-7774
Launched : 2016
Annals of Marine Biology and Research
ISSN : 2573-105X
Launched : 2014
JSM Health Education & Primary Health Care
ISSN : 2578-3777
Launched : 2016
JSM Communication Disorders
ISSN : 2578-3807
Launched : 2016
Annals of Musculoskeletal Disorders
ISSN : 2578-3599
Launched : 2016
Annals of Virology and Research
ISSN : 2573-1122
Launched : 2014
JSM Renal Medicine
ISSN : 2573-1637
Launched : 2016
Journal of Muscle Health
ISSN : 2578-3823
Launched : 2016
JSM Genetics and Genomics
ISSN : 2334-1823
Launched : 2013
JSM Anxiety and Depression
ISSN : 2475-9139
Launched : 2016
Clinical Journal of Heart Diseases
ISSN : 2641-7766
Launched : 2016
Annals of Medicinal Chemistry and Research
ISSN : 2378-9336
Launched : 2014
JSM Pain and Management
ISSN : 2578-3378
Launched : 2016
JSM Women's Health
ISSN : 2578-3696
Launched : 2016
Clinical Research in HIV or AIDS
ISSN : 2374-0094
Launched : 2013
Journal of Endocrinology, Diabetes and Obesity
ISSN : 2333-6692
Launched : 2013
Journal of Substance Abuse and Alcoholism
ISSN : 2373-9363
Launched : 2013
JSM Neurosurgery and Spine
ISSN : 2373-9479
Launched : 2013
Journal of Liver and Clinical Research
ISSN : 2379-0830
Launched : 2014
Journal of Drug Design and Research
ISSN : 2379-089X
Launched : 2014
JSM Clinical Oncology and Research
ISSN : 2373-938X
Launched : 2013
JSM Bioinformatics, Genomics and Proteomics
ISSN : 2576-1102
Launched : 2014
JSM Chemistry
ISSN : 2334-1831
Launched : 2013
Journal of Trauma and Care
ISSN : 2573-1246
Launched : 2014
JSM Surgical Oncology and Research
ISSN : 2578-3688
Launched : 2016
Annals of Food Processing and Preservation
ISSN : 2573-1033
Launched : 2016
Journal of Radiology and Radiation Therapy
ISSN : 2333-7095
Launched : 2013
JSM Physical Medicine and Rehabilitation
ISSN : 2578-3572
Launched : 2016
Annals of Clinical Pathology
ISSN : 2373-9282
Launched : 2013
Annals of Cardiovascular Diseases
ISSN : 2641-7731
Launched : 2016
Journal of Behavior
ISSN : 2576-0076
Launched : 2016
Annals of Clinical and Experimental Metabolism
ISSN : 2572-2492
Launched : 2016
Clinical Research in Infectious Diseases
ISSN : 2379-0636
Launched : 2013
JSM Microbiology
ISSN : 2333-6455
Launched : 2013
Journal of Urology and Research
ISSN : 2379-951X
Launched : 2014
Journal of Family Medicine and Community Health
ISSN : 2379-0547
Launched : 2013
Annals of Pregnancy and Care
ISSN : 2578-336X
Launched : 2017
JSM Cell and Developmental Biology
ISSN : 2379-061X
Launched : 2013
Annals of Aquaculture and Research
ISSN : 2379-0881
Launched : 2014
Clinical Research in Pulmonology
ISSN : 2333-6625
Launched : 2013
Journal of Immunology and Clinical Research
ISSN : 2333-6714
Launched : 2013
Annals of Forensic Research and Analysis
ISSN : 2378-9476
Launched : 2014
JSM Biochemistry and Molecular Biology
ISSN : 2333-7109
Launched : 2013
Annals of Breast Cancer Research
ISSN : 2641-7685
Launched : 2016
Annals of Gerontology and Geriatric Research
ISSN : 2378-9409
Launched : 2014
Journal of Sleep Medicine and Disorders
ISSN : 2379-0822
Launched : 2014
JSM Burns and Trauma
ISSN : 2475-9406
Launched : 2016
Chemical Engineering and Process Techniques
ISSN : 2333-6633
Launched : 2013
Annals of Clinical Cytology and Pathology
ISSN : 2475-9430
Launched : 2014
JSM Allergy and Asthma
ISSN : 2573-1254
Launched : 2016
Journal of Neurological Disorders and Stroke
ISSN : 2334-2307
Launched : 2013
Annals of Sports Medicine and Research
ISSN : 2379-0571
Launched : 2014
JSM Sexual Medicine
ISSN : 2578-3718
Launched : 2016
Annals of Vascular Medicine and Research
ISSN : 2378-9344
Launched : 2014
JSM Biotechnology and Biomedical Engineering
ISSN : 2333-7117
Launched : 2013
Journal of Hematology and Transfusion
ISSN : 2333-6684
Launched : 2013
JSM Environmental Science and Ecology
ISSN : 2333-7141
Launched : 2013
Journal of Cardiology and Clinical Research
ISSN : 2333-6676
Launched : 2013
JSM Nanotechnology and Nanomedicine
ISSN : 2334-1815
Launched : 2013
Journal of Ear, Nose and Throat Disorders
ISSN : 2475-9473
Launched : 2016
JSM Ophthalmology
ISSN : 2333-6447
Launched : 2013
Journal of Pharmacology and Clinical Toxicology
ISSN : 2333-7079
Launched : 2013
Annals of Psychiatry and Mental Health
ISSN : 2374-0124
Launched : 2013
Medical Journal of Obstetrics and Gynecology
ISSN : 2333-6439
Launched : 2013
Annals of Pediatrics and Child Health
ISSN : 2373-9312
Launched : 2013
JSM Clinical Pharmaceutics
ISSN : 2379-9498
Launched : 2014
JSM Foot and Ankle
ISSN : 2475-9112
Launched : 2016
JSM Alzheimer's Disease and Related Dementia
ISSN : 2378-9565
Launched : 2014
Journal of Addiction Medicine and Therapy
ISSN : 2333-665X
Launched : 2013
Journal of Veterinary Medicine and Research
ISSN : 2378-931X
Launched : 2013
Annals of Public Health and Research
ISSN : 2378-9328
Launched : 2014
Annals of Orthopedics and Rheumatology
ISSN : 2373-9290
Launched : 2013
Journal of Clinical Nephrology and Research
ISSN : 2379-0652
Launched : 2014
Annals of Community Medicine and Practice
ISSN : 2475-9465
Launched : 2014
Annals of Biometrics and Biostatistics
ISSN : 2374-0116
Launched : 2013
JSM Clinical Case Reports
ISSN : 2373-9819
Launched : 2013
Journal of Cancer Biology and Research
ISSN : 2373-9436
Launched : 2013
Journal of Surgery and Transplantation Science
ISSN : 2379-0911
Launched : 2013
Journal of Dermatology and Clinical Research
ISSN : 2373-9371
Launched : 2013
JSM Gastroenterology and Hepatology
ISSN : 2373-9487
Launched : 2013
Annals of Nursing and Practice
ISSN : 2379-9501
Launched : 2014
JSM Dentistry
ISSN : 2333-7133
Launched : 2013
Author Information X