Loading

Journal of Physics: Applications and Mechanics

On Time and the Problem of Variable Speed of its Passage

Short Communication | Open Access | Volume 1 | Issue 1

  • 1. Wroc?aw University of Science and Technology, Wroc?aw, Poland
+ Show More - Show Less
Corresponding Authors
Bogdan Miedzinski, Wroc?aw University of Science and Technology, Wroc?aw, Poland
Abstract

The article presents an approach to the resultant time estimation under variable speed of its time lapse. The sample calculations were performed for the adopted linear model of the space expansion.

Keywords

• Time

• Variable speed of passage

INTRODUCTION

Based on the results of an experiment conducted in 1970 and 1971 [1], in which the different speed of passage of time (time dilation effect) was found, this article attempts to apply the concept of changes in the speed of time lapse (δτ) to determine the age of cosmic evolution. Assuming as an example a maximally simplified model of both the cosmos and the functions describing the change in the speed of time, a method of estimation of the resultant time of cosmic evolution (τ) was proposed.

TIME WITH A VARIABLE COURSE OF PASSAGE

Assuming that the expanding cosmos creates a ball shape of a uniformly increasing radius (r), and that the speed of the passage of time depends on the energy density for a given stage of the expansion of the cosmos, a method can be proposed for calculating the resultant time of its evolution for the adopted condition, that is for the variable speed of the time lapse.

Including in the concept of total energy (E) all matter, radiation and energies of electric, magnetic and gravitational fields of space, energy density ΔE can be written as:

https://www.jscimedcentral.com/public/assets/images/uploads/image-1765973308-1.JPG

The function A(r) describes the variability not only of the energy density (A=ΔE) during the evolution of the cosmos, but also the proportional variability of the associated time velocity (δτ) with A=bδτ (where b is a constant coefficient, and for relative values b=1).

https://www.jscimedcentral.com/public/assets/images/uploads/image-1765973396-1.JPG

Figure 1 Assumed course of changes in the speed of time passage

It should be emphasized that all quantities are expressed in relative units related to the values at the current stage of the evolution of the cosmos. It means that for today,s situation, i.e. for R = 1.0 (Figure 2), their values are also equal to unity (A = 1, T=1).

https://www.jscimedcentral.com/public/assets/images/uploads/image-1765973454-1.JPG

Figure 2 The course of time functions assuming a constant speed of time elapsed f’(r)=const.

It should be emphasized that all quantities are expressed in relative units related to the values at the current stage of the evolution of the cosmos. It means that for today,s situation, i.e. for R = 1.0 (Figure 2), their values are also equal to unity (A = 1, T=1). Considering the time with a constant speed of its passage as a function of the radius (r) of space f(r), one can write:

f(r)=(T/R)r

where: T is the evolution time of the cosmos, assuming the constant A parameter.

The changes of the function f’(r) can then be written in the form:

df(r)/dr=f’ (r)=T/R=const

The constant value of the derivative f(r) means constant time increments (T/R), which is the result of assuming a constant speed of the time passage (A=T=bδτ=1). Both quantities A and f(r) are directly related because the constancy of the quantity A guarantees the constancy of the function f(r) (Figures 1,2).

Taking into account the variable speed of time A(r) one has to multiply the function f(r) by the coefficient A(r)/A. Then from formula (4) we get:

https://www.jscimedcentral.com/public/assets/images/uploads/image-1765973573-1.JPG

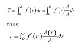
For the assumed variability of the speed of time elapsed and the relationship described by the function A(r)=A/r3, the resultant time of the evolution of the cosmos (τ) is determined by the following expression [2]:

https://www.jscimedcentral.com/public/assets/images/uploads/image-1765973627-1.JPG

Writing down the equations fo r the times at different time lapse rates, i.e. for the quantities A and A(r), we have

https://www.jscimedcentral.com/public/assets/images/uploads/image-1765973700-1.JPG

When we omit the singular point (r=0) and compare equations (7) it is obtained that: where, the value of the difference between physical quantities (T,τ ) depends on the assumed course of the function A(r).

CONCLUSIONS

Formula (7) defining the time τ of variable lapse rate time A(r) is a generalization of the formula used under the calculations of constant lapse rate time. The assumption of variability in the speed of time passage results in the calculated resultant time of cosmic evolution (τ) being many years longer than the current one (T). Therefore, an observer performing measurements, in time of the present state of the evolution of the cosmos, can see the universe only at the final stage of its evolution. They encounter the problem of the so-called “depth of time” due to the many years of space development that passed at the beginning of its expansion.

It should be emphasized that the recently published preliminary observations [3,4] do not disqualify the presented hypothesis about the need to take into account the variable speed of time passage. However, it should be assumed that the effect of time dilation in vicinity of the singular point should be taken into account.

The final verification of the assumptions about the variable speed of time passing and, consequently, the practical limitation of the scope of space research to the final phase of its evolution will be provided by the results of the latest observations carried out with the Hubble and/or Luvoir telescopes[ 5].

Szymanski A, Miedzinski B (2024) On Time and the Problem of Variable Speed of its Passage. J Phys Appl and Mech 1(1): 1004.

Received : 24 Oct 2024
Accepted : 01 Nov 2024
Published : 04 Nov 2024
Journals
Annals of Otolaryngology and Rhinology
ISSN : 2379-948X
Launched : 2014
JSM Schizophrenia
Launched : 2016
Journal of Nausea
Launched : 2020
JSM Internal Medicine
Launched : 2016
JSM Hepatitis
Launched : 2016
JSM Oro Facial Surgeries
ISSN : 2578-3211
Launched : 2016
Journal of Human Nutrition and Food Science
ISSN : 2333-6706
Launched : 2013
JSM Regenerative Medicine and Bioengineering
ISSN : 2379-0490
Launched : 2013
JSM Spine
ISSN : 2578-3181
Launched : 2016
Archives of Palliative Care
ISSN : 2573-1165
Launched : 2016
JSM Nutritional Disorders
ISSN : 2578-3203
Launched : 2017
Annals of Neurodegenerative Disorders
ISSN : 2476-2032
Launched : 2016
Journal of Fever
ISSN : 2641-7782
Launched : 2017
JSM Bone Marrow Research
ISSN : 2578-3351
Launched : 2016
JSM Mathematics and Statistics
ISSN : 2578-3173
Launched : 2014
Journal of Autoimmunity and Research
ISSN : 2573-1173
Launched : 2014
JSM Arthritis
ISSN : 2475-9155
Launched : 2016
JSM Head and Neck Cancer-Cases and Reviews
ISSN : 2573-1610
Launched : 2016
JSM General Surgery Cases and Images
ISSN : 2573-1564
Launched : 2016
JSM Anatomy and Physiology
ISSN : 2573-1262
Launched : 2016
JSM Dental Surgery
ISSN : 2573-1548
Launched : 2016
Annals of Emergency Surgery
ISSN : 2573-1017
Launched : 2016
Annals of Mens Health and Wellness
ISSN : 2641-7707
Launched : 2017
Journal of Preventive Medicine and Health Care
ISSN : 2576-0084
Launched : 2018
Journal of Chronic Diseases and Management
ISSN : 2573-1300
Launched : 2016
Annals of Vaccines and Immunization
ISSN : 2378-9379
Launched : 2014
JSM Heart Surgery Cases and Images
ISSN : 2578-3157
Launched : 2016
Annals of Reproductive Medicine and Treatment
ISSN : 2573-1092
Launched : 2016
JSM Brain Science
ISSN : 2573-1289
Launched : 2016
JSM Biomarkers
ISSN : 2578-3815
Launched : 2014
JSM Biology
ISSN : 2475-9392
Launched : 2016
Archives of Stem Cell and Research
ISSN : 2578-3580
Launched : 2014
Annals of Clinical and Medical Microbiology
ISSN : 2578-3629
Launched : 2014
JSM Pediatric Surgery
ISSN : 2578-3149
Launched : 2017
Journal of Memory Disorder and Rehabilitation
ISSN : 2578-319X
Launched : 2016
JSM Tropical Medicine and Research
ISSN : 2578-3165
Launched : 2016
JSM Head and Face Medicine
ISSN : 2578-3793
Launched : 2016
JSM Cardiothoracic Surgery
ISSN : 2573-1297
Launched : 2016
JSM Bone and Joint Diseases
ISSN : 2578-3351
Launched : 2017
JSM Bioavailability and Bioequivalence
ISSN : 2641-7812
Launched : 2017
JSM Atherosclerosis
ISSN : 2573-1270
Launched : 2016
Journal of Genitourinary Disorders
ISSN : 2641-7790
Launched : 2017
Journal of Fractures and Sprains
ISSN : 2578-3831
Launched : 2016
Journal of Autism and Epilepsy
ISSN : 2641-7774
Launched : 2016
Annals of Marine Biology and Research
ISSN : 2573-105X
Launched : 2014
JSM Health Education & Primary Health Care
ISSN : 2578-3777
Launched : 2016
JSM Communication Disorders
ISSN : 2578-3807
Launched : 2016
Annals of Musculoskeletal Disorders
ISSN : 2578-3599
Launched : 2016
Annals of Virology and Research
ISSN : 2573-1122
Launched : 2014
JSM Renal Medicine
ISSN : 2573-1637
Launched : 2016
Journal of Muscle Health
ISSN : 2578-3823
Launched : 2016
JSM Genetics and Genomics
ISSN : 2334-1823
Launched : 2013
JSM Anxiety and Depression
ISSN : 2475-9139
Launched : 2016
Clinical Journal of Heart Diseases
ISSN : 2641-7766
Launched : 2016
Annals of Medicinal Chemistry and Research
ISSN : 2378-9336
Launched : 2014
JSM Pain and Management
ISSN : 2578-3378
Launched : 2016
JSM Women's Health
ISSN : 2578-3696
Launched : 2016
Clinical Research in HIV or AIDS
ISSN : 2374-0094
Launched : 2013
Journal of Endocrinology, Diabetes and Obesity
ISSN : 2333-6692
Launched : 2013
Journal of Substance Abuse and Alcoholism
ISSN : 2373-9363
Launched : 2013
JSM Neurosurgery and Spine
ISSN : 2373-9479
Launched : 2013
Journal of Liver and Clinical Research
ISSN : 2379-0830
Launched : 2014
Journal of Drug Design and Research
ISSN : 2379-089X
Launched : 2014
JSM Clinical Oncology and Research
ISSN : 2373-938X
Launched : 2013
JSM Bioinformatics, Genomics and Proteomics
ISSN : 2576-1102
Launched : 2014
JSM Chemistry
ISSN : 2334-1831
Launched : 2013
Journal of Trauma and Care
ISSN : 2573-1246
Launched : 2014
JSM Surgical Oncology and Research
ISSN : 2578-3688
Launched : 2016
Annals of Food Processing and Preservation
ISSN : 2573-1033
Launched : 2016
Journal of Radiology and Radiation Therapy
ISSN : 2333-7095
Launched : 2013
JSM Physical Medicine and Rehabilitation
ISSN : 2578-3572
Launched : 2016
Annals of Clinical Pathology
ISSN : 2373-9282
Launched : 2013
Annals of Cardiovascular Diseases
ISSN : 2641-7731
Launched : 2016
Journal of Behavior
ISSN : 2576-0076
Launched : 2016
Annals of Clinical and Experimental Metabolism
ISSN : 2572-2492
Launched : 2016
Clinical Research in Infectious Diseases
ISSN : 2379-0636
Launched : 2013
JSM Microbiology
ISSN : 2333-6455
Launched : 2013
Journal of Urology and Research
ISSN : 2379-951X
Launched : 2014
Journal of Family Medicine and Community Health
ISSN : 2379-0547
Launched : 2013
Annals of Pregnancy and Care
ISSN : 2578-336X
Launched : 2017
JSM Cell and Developmental Biology
ISSN : 2379-061X
Launched : 2013
Annals of Aquaculture and Research
ISSN : 2379-0881
Launched : 2014
Clinical Research in Pulmonology
ISSN : 2333-6625
Launched : 2013
Journal of Immunology and Clinical Research
ISSN : 2333-6714
Launched : 2013
Annals of Forensic Research and Analysis
ISSN : 2378-9476
Launched : 2014
JSM Biochemistry and Molecular Biology
ISSN : 2333-7109
Launched : 2013
Annals of Breast Cancer Research
ISSN : 2641-7685
Launched : 2016
Annals of Gerontology and Geriatric Research
ISSN : 2378-9409
Launched : 2014
Journal of Sleep Medicine and Disorders
ISSN : 2379-0822
Launched : 2014
JSM Burns and Trauma
ISSN : 2475-9406
Launched : 2016
Chemical Engineering and Process Techniques
ISSN : 2333-6633
Launched : 2013
Annals of Clinical Cytology and Pathology
ISSN : 2475-9430
Launched : 2014
JSM Allergy and Asthma
ISSN : 2573-1254
Launched : 2016
Journal of Neurological Disorders and Stroke
ISSN : 2334-2307
Launched : 2013
Annals of Sports Medicine and Research
ISSN : 2379-0571
Launched : 2014
JSM Sexual Medicine
ISSN : 2578-3718
Launched : 2016
Annals of Vascular Medicine and Research
ISSN : 2378-9344
Launched : 2014
JSM Biotechnology and Biomedical Engineering
ISSN : 2333-7117
Launched : 2013
Journal of Hematology and Transfusion
ISSN : 2333-6684
Launched : 2013
JSM Environmental Science and Ecology
ISSN : 2333-7141
Launched : 2013
Journal of Cardiology and Clinical Research
ISSN : 2333-6676
Launched : 2013
JSM Nanotechnology and Nanomedicine
ISSN : 2334-1815
Launched : 2013
Journal of Ear, Nose and Throat Disorders
ISSN : 2475-9473
Launched : 2016
JSM Ophthalmology
ISSN : 2333-6447
Launched : 2013
Journal of Pharmacology and Clinical Toxicology
ISSN : 2333-7079
Launched : 2013
Annals of Psychiatry and Mental Health
ISSN : 2374-0124
Launched : 2013
Medical Journal of Obstetrics and Gynecology
ISSN : 2333-6439
Launched : 2013
Annals of Pediatrics and Child Health
ISSN : 2373-9312
Launched : 2013
JSM Clinical Pharmaceutics
ISSN : 2379-9498
Launched : 2014
JSM Foot and Ankle
ISSN : 2475-9112
Launched : 2016
JSM Alzheimer's Disease and Related Dementia
ISSN : 2378-9565
Launched : 2014
Journal of Addiction Medicine and Therapy
ISSN : 2333-665X
Launched : 2013
Journal of Veterinary Medicine and Research
ISSN : 2378-931X
Launched : 2013
Annals of Public Health and Research
ISSN : 2378-9328
Launched : 2014
Annals of Orthopedics and Rheumatology
ISSN : 2373-9290
Launched : 2013
Journal of Clinical Nephrology and Research
ISSN : 2379-0652
Launched : 2014
Annals of Community Medicine and Practice
ISSN : 2475-9465
Launched : 2014
Annals of Biometrics and Biostatistics
ISSN : 2374-0116
Launched : 2013
JSM Clinical Case Reports
ISSN : 2373-9819
Launched : 2013
Journal of Cancer Biology and Research
ISSN : 2373-9436
Launched : 2013
Journal of Surgery and Transplantation Science
ISSN : 2379-0911
Launched : 2013
Journal of Dermatology and Clinical Research
ISSN : 2373-9371
Launched : 2013
JSM Gastroenterology and Hepatology
ISSN : 2373-9487
Launched : 2013
Annals of Nursing and Practice
ISSN : 2379-9501
Launched : 2014
JSM Dentistry
ISSN : 2333-7133
Launched : 2013
Author Information X