Loading

Journal of Physics: Applications and Mechanics

Sachs -Wolfe

Review Article | Open Access | Volume 2 | Issue 2
Article DOI :

  • 1. Departamento de Astronomia (IAGUSP) Rua do Mata˜o, Universidade de Sa˜o Paulo, Brazil
+ Show More - Show Less
Corresponding Authors
Trevisani SRG, Departamento de Astronomia (IAGUSP) Rua do Mata˜o, Universidade de Sa˜o Paulo, 1226 - 05508-900, Sa˜o Paulo, SP, Brazil, Tel: 11964990238
INTRODUCTION

In standard cosmology, Einstein’s Field Equations (EFE) were established as rulers that describe the dynamic evolution of the Universe [1]. Considering the cosmological principle the metric (solution for the EFE) that best fits the description of this dynamic evolution is the FLRW [2-5].

Over the EE a so-called standard cosmological model (ΛCDM) was formulated. This model is the one that best fits observational data obtained from new scientific ventures, such as the Planck project a.e. among others. However, this model faces some difficulties in theoretical justification for some observational notes that have so far been unresolved. Among these difficulties is the search for a phenomenological justification for anisotropies in the CMB power spectrum. One of these anisotropies corresponds to the so-called SACHS- WOLFE EFFECT (SWE), subject of this work.

The SWE [6], arises from the gravitational redshift suffered by the CMB during the Last Scatering Surface (LSS) combined with the effect (blueshift) of time dilation due to some scalar disturbance in the metric also when LSS. This effect is not constant across the sky due to differences in matter and energy densities during LSS [7-11].

- CMB ANISOTROPIES -

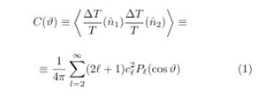
The correlation function (first definition) between two points, in a space with spherical symmetry, can be decomposed in the form (second definition)

https://www.jscimedcentral.com/public/assets/images/uploads/image-1770612420-1.JPG

where the relationship between ϑ and

https://www.jscimedcentral.com/public/assets/images/uploads/image-1770612470-1.JPG

It is customary to adopt as Temperature fluctuations (y− axis) the function.

https://www.jscimedcentral.com/public/assets/images/uploads/image-1770612532-1.JPG in terms of the observational data for large ?.

The monopole term (? = 0) is the constant isotropic mean temperature of the CMB ⟨T ⟩ = 2.7255 ± 0, 0006K with one standard deviation confidence. This term must be measured with absolute temperature devices such as the FIRAS instrument on the COBE satellite.

The CMB dipole represents the largest anisotropy which is in the first spherical harmonic (? = 1) a cosine function.

https://www.jscimedcentral.com/public/assets/images/uploads/image-1770612631-1.JPG

For small ones ?s [12],

https://www.jscimedcentral.com/public/assets/images/uploads/image-1770612677-1.JPG

It is customary not to represent these first two terms in the CMB power spectrum.

The SW and ISW occur on large scales (small ?s).

FIRST ACOUSTIC PEAK: LSS

It is expected that there will be a peak in temperature variation in the photon radiation (from the CMB) in the LSS region due to the difference in pressure before and after the last scattering [13-19].

https://www.jscimedcentral.com/public/assets/images/uploads/image-1770612745-1.JPG

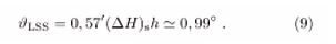
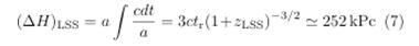
the physical dimension of the causal horizon in the LSS was worth https://www.jscimedcentral.com/public/assets/images/uploads/image-1770612800-1.JPG

However, the horizon that really matters is associated with the distance traveled by sound: the behavior of pressure oscillations It is known that the speed of sound at that time was

https://www.jscimedcentral.com/public/assets/images/uploads/image-1770612871-1.JPG

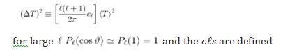
From the expression that converts distance into horizon angle in the spatially flat Universe model where h is the Planck constant https://www.jscimedcentral.com/public/assets/images/uploads/image-1770612920-1.JPG

To this ϑ corresponds https://www.jscimedcentral.com/public/assets/images/uploads/image-1770612980-1.JPG : approximate position of the first acoustic peak of Figure 1.

https://www.jscimedcentral.com/public/assets/images/uploads/image-1770613035-1.JPG

Figure 1 Power Spectrum (PS) of the Cosmic Microwave Background (CMB).

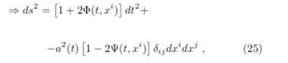
MACROSCOPIC SACHS-WOLFE EFFECT

Consider the scalarly perturbed flat FLRW metric (conformal Newtonian gauge) in the form 

https://www.jscimedcentral.com/public/assets/images/uploads/image-1770613181-1.JPG

In this context, Φ corresponds to the Newtonian potential itself.

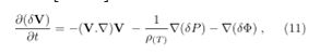
The Gravitational “Redshift”

Establishing the velocity of the fluid by  the Euler equation for a fluid with Total (T) internal energy ρ(T) becomes [11-24].

https://www.jscimedcentral.com/public/assets/images/uploads/image-1770613258-1.JPG

where corresponds to the action of some external force δF. If the only external force acting on the system is gravitational, we can identify the Φ of gravity with that of gravitational (10). Establishing , as each degree of freedom has associated with it the amount of energy ρ  = k T/2, in four dimensions we have  https://www.jscimedcentral.com/public/assets/images/uploads/image-1770613448-1.JPG

https://www.jscimedcentral.com/public/assets/images/uploads/image-1770613388-1.JPG

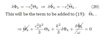
where cs represents the EoS parameter https://www.jscimedcentral.com/public/assets/images/uploads/image-1770613502-1.JPG

As from CMB blackbody spectrum

https://www.jscimedcentral.com/public/assets/images/uploads/image-1770613585-1.JPG

https://www.jscimedcentral.com/public/assets/images/uploads/image-1770613643-1.JPG

In relativistic analysis we must consider the action of gravitational redshift on the law of temperature evolution. Such action can be modeled according to the addition ad hoc, in (19), of some term such that it cancels when added to it.

https://www.jscimedcentral.com/public/assets/images/uploads/image-1770613692-1.JPG

Thus, the term δΦ/ω corresponds to a variation in temperature due to the gravitational redshift suffered by the CMB 

https://www.jscimedcentral.com/public/assets/images/uploads/image-1770613740-1.JPG

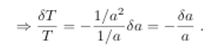
A Dilatation (Gravitational) of Time

Consider, in the matter era, a(t) t2/3 and T ∝ 1/a.

https://www.jscimedcentral.com/public/assets/images/uploads/image-1770613798-1.JPG

On the other hand,

https://www.jscimedcentral.com/public/assets/images/uploads/image-1770613853-1.JPG

Interms of (21) and (23), we can estimate a total temperature deviation: the SWE

https://www.jscimedcentral.com/public/assets/images/uploads/image-1770613902-1.JPG

This last result corresponds to the well-known SWE: CMB photons being redshifted (losing energy) as if they were climbing some potential barrier.

MICROSCOPIC TEMPERATURE FLUCTUATIONS

If there are scalar fluctuations in the metric, what is the effect of these fluctuations on the CMB spectrum?

Let the metric FLRW spatially “flat” (κ = 0) and scalarly perturbed 

https://www.jscimedcentral.com/public/assets/images/uploads/image-1770613975-1.JPG

where “Φ” represents the gravitational potential at the Newtonian limit and “Ψ” a change in the metric due to the curvature of space, it comes to

https://www.jscimedcentral.com/public/assets/images/uploads/image-1770614019-1.JPG

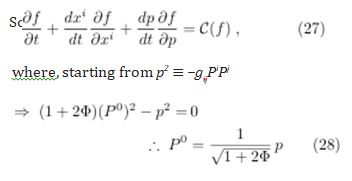
The relation that describes the temporal evolution of the Boltzmann distribution function on the “mass shellf(t, xj, Pj) is called the Boltzmann Equation (BE)

https://www.jscimedcentral.com/public/assets/images/uploads/image-1770614068-1.JPG

where there corresponds to C(f) some kinetic term to be adjusted according to the adopted cosmological model.

https://www.jscimedcentral.com/public/assets/images/uploads/image-1770614133-1.JPG

we expanded the previous relation in a power series up to the 1st order in Φ

https://www.jscimedcentral.com/public/assets/images/uploads/image-1770614181-1.JPG

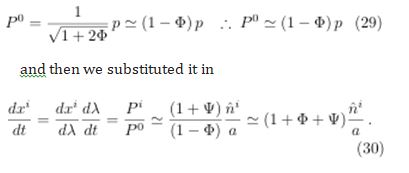
Finally, considering only zero-order terms, by implementing this we reach the second term on the left of the approximation (27).

Let us now calculate the term dp/dt of (27). Starting from geodetic equation in terms of the same arbitrary affine parameter λ under the

https://www.jscimedcentral.com/public/assets/images/uploads/image-1770614236-1.JPG

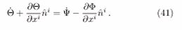
in which the relationship to dxi/dt was used. Equaling this to the derivative of (29) and taking the result in (27) considering f independent of xi (isotropy),

https://www.jscimedcentral.com/public/assets/images/uploads/image-1770614294-1.JPG

In this configuration

  • H corresponds to the loss of energy due to the expansion of the Universe (zero-order term);
  • +∂Ψ/∂t corresponds, in terms of the metric de- scribed in form (25), to the ”deviation” in energy due to the temporal variation of the perturbative term Ψ;
  • -(∂Φ/∂xi)(nˆi/a), finally, corresponds to the spatial variation of gravity due to variations in matter density: photons ”lose” energy ”climbing potential (gravitational)” barriers”; and ”gain” energy by ”falling” into potential wells.

The Disturbance In T

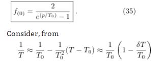
For a relativistic gas of bosons (photons are bosons) in thermodynamic equilibrium, the distribution function f(0) takes the form

https://www.jscimedcentral.com/public/assets/images/uploads/image-1770614397-1.JPG

by construction, the temperature fluctuation function

https://www.jscimedcentral.com/public/assets/images/uploads/image-1770614460-1.JPG

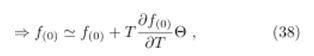
Thus, in terms of Θ, the function f(0) can be described in approximate form

https://www.jscimedcentral.com/public/assets/images/uploads/image-1770614515-1.JPG

As it is known that δT/T0 ? 10−5, the previous ratio, expanded in a series of powers around T0, can be described by

https://www.jscimedcentral.com/public/assets/images/uploads/image-1770614563-1.JPG

where f(0) is the Bose-Einstein distribution function (35). Taking into account, also, that in zero order,

https://www.jscimedcentral.com/public/assets/images/uploads/image-1770614634-1.JPG

Decoupling Matter-Radiation: C(F(0) ) = 0: Immediately after the recombination phase, the uncoupled photons of matter start to propagate with an average free path of the order of + ∞, i.e., without interacting with anything else. In terms of the perturbed BE, this condition corresponds to fixing C(f(0) ) = 0.

In these terms, the linearly perturbed BE (40) implies

https://www.jscimedcentral.com/public/assets/images/uploads/image-1770614687-1.JPG

Adopting this convention, the inverse Fourier transform (see appendix A) of the previous one is

https://www.jscimedcentral.com/public/assets/images/uploads/image-1770614728-1.JPG

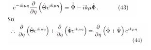
where https://www.jscimedcentral.com/public/assets/images/uploads/image-1770614808-1.JPG was defined as the cosine of the angle between the wave vector k and the direction of propagation of the photon n2.

Properly rearranged the Boltzmann equation can be described in the form https://www.jscimedcentral.com/public/assets/images/uploads/image-1770614878-1.JPG

- SWE & ISW

Integrating the previous relation into the period from recombination (ηr ) to the present tense (η0 )

https://www.jscimedcentral.com/public/assets/images/uploads/image-1770614944-1.JPG

The exponential factor in the previous [equation] represents the phase shift in the photon wavefronts; this shift should be disregarded in the present approach.

The equation above represents anisotropies in the CMB temperature spectrum observed today in terms of the anisotropies at the time of recombination.

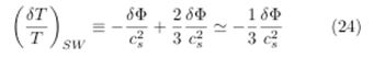
In very dense regions and under the Newtonian gauge , justifying the observed temperature fluctuation being (δT/T0) > 0. This corresponds to the pho- ton being redshifted (losing energy:“cooling”) as if it were climbing some potential barrier.

Note that, disregarding the term ISW, the expected result is recovered in the 1st order of Φ:

https://www.jscimedcentral.com/public/assets/images/uploads/image-1770615091-1.JPG

This effect corresponds to the SACHS-WOLFE EFFECT (SWE) in its simplified form.

In these exact same terms it can be seen, from the previous relationship, that the temporal variation of Φ in the period that goes from tr to t0 also modifies the temperature spectrum of the CMB. This type of anisotropy corresponding to the spectrum of the CMB is called INTEGRATED SACHS-WOLFE EFFECT (ISW).

CONCLUSION

Starting from the Euler equation describing a gravitationally disturbed fluid of photons, we arrive, having established the blackbody conditions on the photons, whereby they undergo redshift due to the Φ perturbation during the LSS. The time dilation resulting from this same disturbance increases the temperature over time (blueshift). The resulting effect of the composition of these two processes (redshift in LSS plus time dilation) on the temperature spectrum of the CMB points to the photons cooling over time: the SWE.

REFERENCES
  1. Einstein A. Die Feldgleichungen der Gravitation. Sitzungsber. Preuss. Akad. Wiss. Berlin (Math Phys). 1915: 844-847.
  2. Friedmann A. Über die Krümmung des Raumes. Zeitschrift fu¨r Physik. 1922; 10: 377-386.
  3. Lemaˆ?tre G. Un Univers homogène de masse constante et de rayon croissant rendant compte de la vitesse radiale des nébuleuses extra- galactiques. Annales de la Soci´et´e Scientifique de Brux- ells. 1927; A47: 49-56.
  4. Robertson HP. Kinematics and World-Structure. Astrophysical J. 1935; 82: 284-301.
  5. Walker AG. On Milne’s Theory of World-Structure. Proceedings of theLondon Mathematical Society, Series. 1937; 42: 90-127.
  6. Sachs RK, Wolfe AM. Perturbations of a Cosmological Model and Angular Variations of the Microwave Background. APJ. 1967; 147: 73.
  7. Trevisani Sergio. General Relativity, Thermodynamic Equilibrium,and Physical Cosmology.
  8. Trevisani SRG, Lima JAS. Gravitational matter creation, multi-fluid cosmology and kinetic theory. The European Physical J C. 2023.
  9. Trevisani Sergio. Gravitational Matter Creation in the Accelerated Expanding Universe.
  10. Lima JAS, Trevisani SRG, Santos RC. Cosmic “adiabatic” photon creation: Temperature law and blackbody spectrum. Physics LettersB. 2021; 820: 136575.
  11. Landau LD, Lifshitz EM. Fluid Mechanics, Second Edition: Volume 6 (Course of Theoretical Physics). Butterworth-Heinemann. 1987.
  12. Bernstein J. An Introduction to Cosmology. Prentice Hall. 1998.
  13. Dodelson S. Modern Cosmology. Academic Press, San Diego. 2003.
  14. Multamaki T, Elgaroy Ø. Astron. Astrophys. 2004; 423: 811.
  15. Shirley Ho, Christopher Hirata, Nikhil Padmanabhan, Uros Seljak, Neta Bahcall. Correlation of CMB with large-scale structure. I. Integrated Sachs-Wolfe tomography and cosmological implications. Phys Rev D. 2008; 78: 043519.
  16. Kofman LA, Starobinsky AA. SvA. 1985; 11: 95.
  17. So?tan AM. ISW in ΛCDM or something else?. Monthly Notices of the Royal Astronomical Society. 2019; 488: 2732-2742.
  18. Benjamin R. Granett, Mark C. Neyrinck, István Szapudi. An Imprint of Superstructures on the Microwave Background due to the Integrated Sachs-Wolfe Effect. Ap J. 2008; 683: L99.
  19. Carlos Hernández-Monteagudo, Robert E. Smith. On the signature of z ∼ 0.6 superclusters and voids in the Integrated Sachs–Wolfe effect Free. Monthly Notices of the Royal Astronomical Society. 2013; 435: 1094-1107.
  20. Rafael C. Nunes, Supriya Pan. Cosmological consequences of an adiabatic matter creation process. MNRAS. 2016; 459: 673-682.
  21. Tomas Kasemets, Jan Heisig. CMB-slow. Talk at Tuesday’s “WerkstattSeminar”. 2010.
  22. Hwang J, Padmanabhan T, Lahav O, Noh H. 1/3 factor in the CMB Sachs-Wolfe effect. Physical Review D. 2002; 65: 043005.
  23. Martin White, Wayne Hu. The Sachs-Wolfe Effect. 1996.
  24. Scott Dodelson. Modern Cosmology. Academic Press, Elsevier Science. 2003.

Trevisani SRG (2025) Sachs -Wolfe. J Phys Appl and Mech 2(2): 1014

Received : 11 Dec 2025
Accepted : 22 Dec 2025
Published : 23 Dec 2025
Journals
Annals of Otolaryngology and Rhinology
ISSN : 2379-948X
Launched : 2014
JSM Schizophrenia
Launched : 2016
Journal of Nausea
Launched : 2020
JSM Internal Medicine
Launched : 2016
JSM Hepatitis
Launched : 2016
JSM Oro Facial Surgeries
ISSN : 2578-3211
Launched : 2016
Journal of Human Nutrition and Food Science
ISSN : 2333-6706
Launched : 2013
JSM Regenerative Medicine and Bioengineering
ISSN : 2379-0490
Launched : 2013
JSM Spine
ISSN : 2578-3181
Launched : 2016
Archives of Palliative Care
ISSN : 2573-1165
Launched : 2016
JSM Nutritional Disorders
ISSN : 2578-3203
Launched : 2017
Annals of Neurodegenerative Disorders
ISSN : 2476-2032
Launched : 2016
Journal of Fever
ISSN : 2641-7782
Launched : 2017
JSM Bone Marrow Research
ISSN : 2578-3351
Launched : 2016
JSM Mathematics and Statistics
ISSN : 2578-3173
Launched : 2014
Journal of Autoimmunity and Research
ISSN : 2573-1173
Launched : 2014
JSM Arthritis
ISSN : 2475-9155
Launched : 2016
JSM Head and Neck Cancer-Cases and Reviews
ISSN : 2573-1610
Launched : 2016
JSM General Surgery Cases and Images
ISSN : 2573-1564
Launched : 2016
JSM Anatomy and Physiology
ISSN : 2573-1262
Launched : 2016
JSM Dental Surgery
ISSN : 2573-1548
Launched : 2016
Annals of Emergency Surgery
ISSN : 2573-1017
Launched : 2016
Annals of Mens Health and Wellness
ISSN : 2641-7707
Launched : 2017
Journal of Preventive Medicine and Health Care
ISSN : 2576-0084
Launched : 2018
Journal of Chronic Diseases and Management
ISSN : 2573-1300
Launched : 2016
Annals of Vaccines and Immunization
ISSN : 2378-9379
Launched : 2014
JSM Heart Surgery Cases and Images
ISSN : 2578-3157
Launched : 2016
Annals of Reproductive Medicine and Treatment
ISSN : 2573-1092
Launched : 2016
JSM Brain Science
ISSN : 2573-1289
Launched : 2016
JSM Biomarkers
ISSN : 2578-3815
Launched : 2014
JSM Biology
ISSN : 2475-9392
Launched : 2016
Archives of Stem Cell and Research
ISSN : 2578-3580
Launched : 2014
Annals of Clinical and Medical Microbiology
ISSN : 2578-3629
Launched : 2014
JSM Pediatric Surgery
ISSN : 2578-3149
Launched : 2017
Journal of Memory Disorder and Rehabilitation
ISSN : 2578-319X
Launched : 2016
JSM Tropical Medicine and Research
ISSN : 2578-3165
Launched : 2016
JSM Head and Face Medicine
ISSN : 2578-3793
Launched : 2016
JSM Cardiothoracic Surgery
ISSN : 2573-1297
Launched : 2016
JSM Bone and Joint Diseases
ISSN : 2578-3351
Launched : 2017
JSM Bioavailability and Bioequivalence
ISSN : 2641-7812
Launched : 2017
JSM Atherosclerosis
ISSN : 2573-1270
Launched : 2016
Journal of Genitourinary Disorders
ISSN : 2641-7790
Launched : 2017
Journal of Fractures and Sprains
ISSN : 2578-3831
Launched : 2016
Journal of Autism and Epilepsy
ISSN : 2641-7774
Launched : 2016
Annals of Marine Biology and Research
ISSN : 2573-105X
Launched : 2014
JSM Health Education & Primary Health Care
ISSN : 2578-3777
Launched : 2016
JSM Communication Disorders
ISSN : 2578-3807
Launched : 2016
Annals of Musculoskeletal Disorders
ISSN : 2578-3599
Launched : 2016
Annals of Virology and Research
ISSN : 2573-1122
Launched : 2014
JSM Renal Medicine
ISSN : 2573-1637
Launched : 2016
Journal of Muscle Health
ISSN : 2578-3823
Launched : 2016
JSM Genetics and Genomics
ISSN : 2334-1823
Launched : 2013
JSM Anxiety and Depression
ISSN : 2475-9139
Launched : 2016
Clinical Journal of Heart Diseases
ISSN : 2641-7766
Launched : 2016
Annals of Medicinal Chemistry and Research
ISSN : 2378-9336
Launched : 2014
JSM Pain and Management
ISSN : 2578-3378
Launched : 2016
JSM Women's Health
ISSN : 2578-3696
Launched : 2016
Clinical Research in HIV or AIDS
ISSN : 2374-0094
Launched : 2013
Journal of Endocrinology, Diabetes and Obesity
ISSN : 2333-6692
Launched : 2013
Journal of Substance Abuse and Alcoholism
ISSN : 2373-9363
Launched : 2013
JSM Neurosurgery and Spine
ISSN : 2373-9479
Launched : 2013
Journal of Liver and Clinical Research
ISSN : 2379-0830
Launched : 2014
Journal of Drug Design and Research
ISSN : 2379-089X
Launched : 2014
JSM Clinical Oncology and Research
ISSN : 2373-938X
Launched : 2013
JSM Bioinformatics, Genomics and Proteomics
ISSN : 2576-1102
Launched : 2014
JSM Chemistry
ISSN : 2334-1831
Launched : 2013
Journal of Trauma and Care
ISSN : 2573-1246
Launched : 2014
JSM Surgical Oncology and Research
ISSN : 2578-3688
Launched : 2016
Annals of Food Processing and Preservation
ISSN : 2573-1033
Launched : 2016
Journal of Radiology and Radiation Therapy
ISSN : 2333-7095
Launched : 2013
JSM Physical Medicine and Rehabilitation
ISSN : 2578-3572
Launched : 2016
Annals of Clinical Pathology
ISSN : 2373-9282
Launched : 2013
Annals of Cardiovascular Diseases
ISSN : 2641-7731
Launched : 2016
Journal of Behavior
ISSN : 2576-0076
Launched : 2016
Annals of Clinical and Experimental Metabolism
ISSN : 2572-2492
Launched : 2016
Clinical Research in Infectious Diseases
ISSN : 2379-0636
Launched : 2013
JSM Microbiology
ISSN : 2333-6455
Launched : 2013
Journal of Urology and Research
ISSN : 2379-951X
Launched : 2014
Journal of Family Medicine and Community Health
ISSN : 2379-0547
Launched : 2013
Annals of Pregnancy and Care
ISSN : 2578-336X
Launched : 2017
JSM Cell and Developmental Biology
ISSN : 2379-061X
Launched : 2013
Annals of Aquaculture and Research
ISSN : 2379-0881
Launched : 2014
Clinical Research in Pulmonology
ISSN : 2333-6625
Launched : 2013
Journal of Immunology and Clinical Research
ISSN : 2333-6714
Launched : 2013
Annals of Forensic Research and Analysis
ISSN : 2378-9476
Launched : 2014
JSM Biochemistry and Molecular Biology
ISSN : 2333-7109
Launched : 2013
Annals of Breast Cancer Research
ISSN : 2641-7685
Launched : 2016
Annals of Gerontology and Geriatric Research
ISSN : 2378-9409
Launched : 2014
Journal of Sleep Medicine and Disorders
ISSN : 2379-0822
Launched : 2014
JSM Burns and Trauma
ISSN : 2475-9406
Launched : 2016
Chemical Engineering and Process Techniques
ISSN : 2333-6633
Launched : 2013
Annals of Clinical Cytology and Pathology
ISSN : 2475-9430
Launched : 2014
JSM Allergy and Asthma
ISSN : 2573-1254
Launched : 2016
Journal of Neurological Disorders and Stroke
ISSN : 2334-2307
Launched : 2013
Annals of Sports Medicine and Research
ISSN : 2379-0571
Launched : 2014
JSM Sexual Medicine
ISSN : 2578-3718
Launched : 2016
Annals of Vascular Medicine and Research
ISSN : 2378-9344
Launched : 2014
JSM Biotechnology and Biomedical Engineering
ISSN : 2333-7117
Launched : 2013
Journal of Hematology and Transfusion
ISSN : 2333-6684
Launched : 2013
JSM Environmental Science and Ecology
ISSN : 2333-7141
Launched : 2013
Journal of Cardiology and Clinical Research
ISSN : 2333-6676
Launched : 2013
JSM Nanotechnology and Nanomedicine
ISSN : 2334-1815
Launched : 2013
Journal of Ear, Nose and Throat Disorders
ISSN : 2475-9473
Launched : 2016
JSM Ophthalmology
ISSN : 2333-6447
Launched : 2013
Journal of Pharmacology and Clinical Toxicology
ISSN : 2333-7079
Launched : 2013
Annals of Psychiatry and Mental Health
ISSN : 2374-0124
Launched : 2013
Medical Journal of Obstetrics and Gynecology
ISSN : 2333-6439
Launched : 2013
Annals of Pediatrics and Child Health
ISSN : 2373-9312
Launched : 2013
JSM Clinical Pharmaceutics
ISSN : 2379-9498
Launched : 2014
JSM Foot and Ankle
ISSN : 2475-9112
Launched : 2016
JSM Alzheimer's Disease and Related Dementia
ISSN : 2378-9565
Launched : 2014
Journal of Addiction Medicine and Therapy
ISSN : 2333-665X
Launched : 2013
Journal of Veterinary Medicine and Research
ISSN : 2378-931X
Launched : 2013
Annals of Public Health and Research
ISSN : 2378-9328
Launched : 2014
Annals of Orthopedics and Rheumatology
ISSN : 2373-9290
Launched : 2013
Journal of Clinical Nephrology and Research
ISSN : 2379-0652
Launched : 2014
Annals of Community Medicine and Practice
ISSN : 2475-9465
Launched : 2014
Annals of Biometrics and Biostatistics
ISSN : 2374-0116
Launched : 2013
JSM Clinical Case Reports
ISSN : 2373-9819
Launched : 2013
Journal of Cancer Biology and Research
ISSN : 2373-9436
Launched : 2013
Journal of Surgery and Transplantation Science
ISSN : 2379-0911
Launched : 2013
Journal of Dermatology and Clinical Research
ISSN : 2373-9371
Launched : 2013
JSM Gastroenterology and Hepatology
ISSN : 2373-9487
Launched : 2013
Annals of Nursing and Practice
ISSN : 2379-9501
Launched : 2014
JSM Dentistry
ISSN : 2333-7133
Launched : 2013
Author Information X