Loading

Journal of Sleep Medicine and Disorders

Positive Effects of a Weighted Blanket on Insomnia

Research Article | Open Access | Volume 2 | Issue 3

  • 1. Institute of Neuroscience and Physiology, University of Gothenburg, Sweden
  • 2. SDS Clinic, ESRS accredited Sleep Research Laboratory, Gothenburg, Sweden
  • 3. Clinical and Experimental Medicine, University of Linköping, Sweden
+ Show More - Show Less
Corresponding Authors
Gaby Badre, SDS Kliniken, Vasaplatsen 8, 411 34 Gothenburg, Sweden, Tel: 46-31-107-780 Fax: 46-31-107-781
Abstract

Insomnia is a common occurrence and can have a negative impact on physiological, psychological and social well-being. There is a need for simple, effective solutions to increase sleep quality. It has been suggested that weighted blankets and vests can provide a beneficial calming effect, especially in clinical disorders. Hence, we aimed to investigate the effects of a chain weighted blanket on insomnia, using objective and subjective measures. Objectively, we found that sleep bout time increased, as well as a decrease in movements of the participants, during weighted blanket use. Subjectively, the participants liked sleeping with the blanket, found it easier to settle down to sleep and had an improved sleep, where they felt more refreshed in the morning. Overall, we found that when the participants used the weighted blanket, they had a calmer night’s sleep. A weighted blanket may aid in reducing insomnia through altered tactile inputs, thus may provide an innovative, non-pharmacological approach and complementary tool to improve sleep quality.

Keywords

•    Sleep
•    Insomnia
•    Treatment
•    Pressure
•    Touch
•    Blanket

Citation

Ackerley R, Badre G, Olausson H (2015) Positive Effects of a Weighted Blanket on Insomnia. J Sleep Med Disord 2(3): 1022.

ABBREVIATIONS

ANOVA: Analysis of Variance; ASD: Autism Spectrum Disorders; BMI: Body Mass Index; ISI: Insomnia Severity Index; KSS: Karolinska Sleepiness Scale; PSG: Polysomnography; REM: Rapid Eye Movements; Karolinska Sleepiness Scale; TST: Total Sleep Time; VAS: Visual Analog Scale; WASO: Wake after Sleep Onset

INTRODUCTION

According to most epidemiological studies, up to a third of the population in industrialized countries suffers from poor sleep [1- 5]. This problem affects all categories of people from teenagers to the elderly, and is increasing due to modern lifestyles and the associated stressors, especially in cities. The impairment of sleep has short- and long-term effects. It can lead to depression, burn-out, psychosomatic disorders and addictions, as well as other serious health problems (e.g. metabolic, cardiovascular) [3,4,6,7]. It can affect professional lives (e.g. loss in productivity, poor judgments, accidents, inadequate emotional reactions), with great economic consequences. It can also have a negative impact on social and family life. Pharmacological and behavioral (e.g. cognitive, relaxation) methods are commonly used to treat sleep disorders. However, drugs are often addictive or have side effects, and psychological/behavioral methods require long treatment sessions and it may take time to achieve satisfactory results. Hence, there is a need for additional, simpler methods to promote and maintain better sleep.

The application of deep pressure, through for example weighted vests and blankets, has been reported to produce a calming and relaxing effect in clinical conditions such as autism spectrum disorders (ASD), attention-deficit hyperactivity disorder, and pervasive developmental disorders [8-15]. Applying deep pressure has been shown to be beneficial for children with high levels of anxiety or arousal [16] and deep pressure touch may also alleviate anxiety (e.g. in dental environments and bipolar disorder [17,18]). There are also anecdotal reports suggesting that the elderly who suffer from anxiety and dementia may find relief from deep pressure touch and many nursing homes are experimenting with weighted blankets.

A weighted blanket that is more than 10% of a person’s body weight has been found to provide beneficial, calming effects [19]. Most of the research on weighted blankets has focused on their use in children with clinical disorders, such as ASD. However, the majority of these studies do not probe sleep objectively. To our knowledge only one study has systematically investigated the use of a weighted blanket during bedtime and this was in children with ASD and severe sleep problems, using some objective measures. The study found no increase in the total sleep time; however, the blanket was favored by both the children and their parents [20].

There is a need for systematic studies into the potential benefits of weighted blankets for sleep, especially for adults and those with insomnia. Hence, the aim of the present study was to investigate whether the use of a weighted blanket may have a positive impact on adults with sleeping problems, mainly chronic insomnia.

MATERIALS AND METHODS

Intervention

There are several weighted blankets on the market. For this study we used a new type of chain-weighted blanket (Somna AB, Stenkullen, Sweden), currently used both in nursing homes for the elderly and in patients with ASD. The weight is provided by a metal chain construction, which is evenly distributed throughout the blanket and provides constant tactile stimulation across the body. The participant can choose to sleep with the chain or the padding side of the blanket closest to their body (hence provide a different sensation). They can also use an additional quilt, either over or under the blanket. The blanket is weighted without being thick, and the fabric is such that the blanket does not particularly provide additional warmth. Three weights were available (6, 8 or 10 kg) and the participants could select the most comfortable one. The majority of the participants in the present study selected the 8 kg blanket.

Study design

A repeated-measures study was undertaken in two clinical sites in Sweden, over the course of a year. For each participant, the study lasted 4 weeks. There was no control group, as the participants were their own control, with baseline pre-test and post-test measures. The study was approved by the Ethical Committee of the Sahlgrenska Academy in Gothenburg and was conducted according to the Declaration of Helsinki. Written, informed consent was obtained from all the participants before taking part and they were paid for their time. Prior to undertaking the study, an effect size analysis was conducted to ascertain the approximate number of participants required for significant effects. This was based on statistical analyses from objective and subjective results of a previous pilot study on 5 participants. Cohen’s d was used to calculate an effect size of 0.75, with a power of 0.8 (ratio 4:1 between type 1: type 2 errors); a minimum of 26 participants was required to gain statistical differences. Hence, we aimed to recruit 30 participants to account for drop-out and technical failures, due to the complexity of the study and its design.

Study population

The inclusion criteria were: participants’ of\genders, aged 20-66, complaining of chronic insomnia, which was defined as difficulties in falling asleep and/or maintaining sleep for several nights a week (> 3 days) for more than 3 months, and having feelings of not being refreshed when waking up in the morning. If they were on medication upon entering the study, this was continued throughout the trial period. Otherwise they had to be healthy. The exclusion criteria were presence of illnesses or newly discovered problems (<6 months), for example, sleep apnea, untreated metabolic disorders or high blood pressure. The participants should not have changed any medication in the prior 4 weeks to commencing the study.

Participants were selected by advertising at the sleep clinics and through leaflets on boards. A total of 33 healthy participants complaining of chronic insomnia were recruited for the study; 31 completed the protocol (11 men, 20 women). For further details about the participants, see Table 1.

Table 1: Details about the participants.

Characteristic Number Mean ± SD Range
Age (all)
 Males 
 Females
31
11
20
47 ± 14 years
49 ± 15 years
43 ± 13 years
21-66 years
25-60 years
21-66 years
BMI (all)
 Males 
 Females
31
11
20
25.8 ± 5.2
27.1 ± 2.9
25.4 ± 5.8
19.6-45.4
23.9-30.8
19.6-45.4
ISI(all)
 Males 
 Females
31
11
20
20 ± 5
19 ± 4
20 ± 6
5-28
11-23
5-28
Epworth(all)
 Males 
 Females
31
11
20
6 ± 4
6 ± 3
6 ± 4
0-12
2-12
0-11
Weight of blanket/weight of participant 31 19% ± 7 12% -38%
Question No Occasionally/Yes Often
Do you take sleep medication? 66% 21% 14%
Do you have an irregular sleep cycle? 66% 21% 14%
Is your sleep different at the weekend? 48% 34% 17%
Do you have a phase delay with sleep? 90 % 10%  
Do you do shift work? 93% 7%  

Abbreviations: BMI: Body Mass Index; ISI: Insomnia Severity Index

Prior to the study, the participants also completed various questionnaires covering environmental and lifestyle factors, including their health status, irregularity in sleep-wake patterns and life style, variability of sleep during the weekend, the presence of any sleep phase delay or advance, their perception of sleep quality, and if they used any medication.

The level of insomnia per participant was determined according to the 7-item Insomnia Severity Index (ISI) [21], which assesses the nature, severity, and impact of insomnia in their life. Each question is rated from 0 (no problem) to 4 (severe problem), with the total possible score being 28. A score of less than7 reflects no clinically significant insomnia, 8-14 being subthreshold insomnia, while 15-21 represents moderate insomnia and a score greater than 22 indicate severe insomnia. The 8-item Epworth Sleepiness Scale [22] was used to reflect any daytime consequences of insomnia (i.e. daytime sleepiness). This consisted of a questionnaire with answers ranging from 0 (no chance of dozing) to 3 (high chance of dozing) to give a total out of 24 points.

Procedures

After screening and consent, the eligible participants slept for a week in their habitual environment, which consisted the pre-test baseline period. The following test period followed consisted of two consecutive weeks during which the participant used the weighted blanket every night. They pre-selected a blanket weight, but if they felt that it was too light or heavy, they could change it after no more than two nights into the test. The participant returned the blanket after these two test weeks and slept for one more week in their ordinary, habitual conditions (post-test period).

Methods for studying sleep patterns

The trial design included both objective (physiological) and subjective (self-report) measures.

OBJECTIVE MEASURES

Continuous actigraphy (Actiwatch; Cambridge Neurotechnology Ltd, Cambridge, UK) and comprehensive polysomnography (PSG) recordings, in the participants’ own home, were obtained.

The actigraphy watch consisted of an accelerometer that was worn on the same wrist continuously during the 4 week period. Data were stored in the watch unit. Analyses of patterns and frequencies of movements were done by validated algorithms for the recognition of basic sleep-wake patterns. The participants’ time-to-bed and waking-up time were reported in their sleep diaries, which defined their sleep periods. The main analyses were conducted on these sleep periods. The variables analyzed included sleep latency, assumed sleep, total wake time, sleep fragmentation index, number of bouts of immobile time and their frequency, as well as the number of sleep bouts and their duration. We did not want to interfere with the ordinary lifestyle and activities of the participants, though we recommended that they avoid major irregularities, if it meant a large variation in their sleep-wake pattern e.g. going to bed late and getting up late during the weekend. For participants that showed these large irregularities in their routine(defined as exceeding 2 hours deviation for 2 or more days), we restricted the analysis to 5 continuous days/nights for both the pre-test and the test period, which typically did not include weekends where the larger sleeping deviations tended to occur.

The PSG was measured using a 23 channel ambulatory polygraph that recorded electroencephalography (electrical brain activity), electromyography (muscle activity), electrooculography (eye movements), electrocardiography (heart beat), respiratory activity and oxygen content in the blood (pulse oximetry), while a sensor pad, placed under the sheets, recorded body movements and positions during the night (Biosaca; Swedsleep AB, Gothenburg, Sweden). Two comprehensive PSG recordings were completed at home, for each participant: one during the first pretest (no weighted blanket) week and one at the end of the third week (test period, with the weighted blanket). PSG analysis was done using the REM Logic software (Embla Systems LLC).

Further to conventional PSG analysis a validated automatic system for analyzing body movements [23] was used (U-sleep; Swedsleep AB, Gothenburg, Sweden). Based on the sensor pad it detected specific movements and classified them into four groups according to their duration(from < 5 s to >15 s), representing jerks or twitches, minor or major adjustments, and turns in the bed. The total number and duration of each of these measures were calculated, as well as the distribution per recording hour, with an emphasis on the next-to-last hour prior to waking up. The following measures were gained: wake after sleep onset (WASO; in mins), total sleep time (TST), sleep efficiency, sleep latency, latency to deep sleep and rapid eye movements (REM), number of awakenings, amount of deep sleep and REM, arousal index, number of stage shifts, of sleep cycles, deep and REM sleep, average deep sleep period, and sleep spindles index.

Subjective measures

During the whole experimental period, the participants filled in a sleep/day diary reporting daytime behavior and sleep perception together, with any comments about their night’s sleep and any environmental changes of importance. Each morning, they also reported their ‘sleep quality’ in a visual analog scale (VAS; with the end-anchors ‘Very good’ and ‘Very bad’), as well as on the Karolinska Sleepiness Scale (KSS; 1= very alert to 9 = very sleepy) [24].

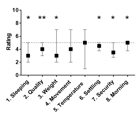
At the end of the study the participants reported their subjective feelings about using the weighted blanket in an 8-item VAS questionnaire, containing specific questions about their sleep with the blanket (Table 2),

Table 2: The participants rated their subjective feelings about sleep with the weighted blanket using a visual analog scale for questions 1-8.

  Score between 1 10
1 How do you find sleep with the weighted blanket? Comfortable Uncomfortable
2 How is your experienced sleep quality, as compared to having no weighted blanket? Better Worse
3 How do you find sleep with regard to the extra weight the blanket adds? Not difficult Awkward
4 Is it difficult to move with the weighted blanket? Not at all Very
5 Does the blanket affect your temperature in bed? Not at all Very
6 Is it easier to settle down to sleep with the blanket? Very Not at all
7 Does the blanket give you a sense of security? Very Not at all
8 How do you feel in the morning with the blanket? More rested More tired

where lower scores indicated more favorable feelings towards the weighted blanket. Two further questions were asked: (i) ‘Which side of the blanket is closest to your body most of the time?’ and (ii) ‘Did you use something else as a cover, in addition to the weighted blanket?’ These were to assess how the participants used the weighted blanket.

Data analysis

Statistical studies were made using SPSS (version 22; IBM, Armonk, NY) and Prism (version 6; Graph Pad, La Jolla, CA) where significant differences of p<0.05 were accepted. All the analyses have been conducted on normalized data, as most of the variables were not normally distributed. Hence, parametric, interval statistics were carried out on the actigraphy, PSG and U-sleep measures and repeated-measures analysis of variance (ANOVA) tests were used. We compared the pre- and posttest data with the weighted blanket data for each variable using Bonferroni post-hoc corrected-significance tests, which controlled for multiple comparisons. It was not always possible to include all of the participants per measure due to issues such as technical problems. The effects of confounding variables, such as the participant’s gender, age, use of medication, were tested as covariates. As the behavioral measures were based on questionnaires, non-parametric, ordinal tests were used for the analysis.

Additional analyses were conducted on a sub-set of participants who rated the weighted blanket favorably, which was based on their subjective assessment scores, where lower scores indicated a higher liking. The criteria for exclusion (participant who disliked the blanket) were defined as a mean score on questions 1-8 of more than 5, a maximum score of 8 or more, and scores of 8 or more on more than two questions.

RESULTS

The mean ISI score for all the participants was 19.5 (±5.3 SD), which indicated insomnia of moderate severity (see Table 1 for further details).The mean Epworth score was 6.1 (±3.7 SD) indicating that the participants had minor issues with sleepiness in the daytime, with further details in Table 1.

OBJECTIVE MEASURES

Actigraphy

The actigraphy was used to determine variables about sleep metrics; therefore only the sleep period was analyzed, with the time-in-bed adjusted according to each participant’s sleep diary. Actigraphy was obtained from 27 participants, from a total of 26 different measures, although some of these measures were seemingly redundant (e.g. immobility expressed in minutes compared to immobility as a percentage of time). Significant differences were found in comparing the pre-test period to the test period with the weighted blanket. Specifically, the mean sleep bout time (in mins) significantly increased (p = 0.035), when using the weighted blanket. Furthermore, the total activity score during the time in bed (p < 0.001) and the average dark activity (activity during the night) (p = 0.032) significantly decreased, during weighted blanket use. These measures are shown in Figure 1.

Significant differences between the pre-test and blanket sleep periods from actigraphy measurements. Significant improvements were found during blanket use for objective actigraphy measures, where there was (A) an increase in the mean sleep bout time, and decreases in (B) the total activity score and (C) the mean dark activity. The asterisks indicate the significance level where * p < 0.05 and *** p < 0.001.

Figure 1: Significant differences between the pre-test and blanket sleep periods from actigraphy measurements.

Significant improvements were found during blanket use for objective actigraphy measures, where there was (A) an increase in the mean sleep bout time, and decreases in (B) the total activity score and (C) the mean dark activity. The asterisks indicate the significance level where * p < 0.05 and *** p < 0.001.

There was an effect on the results from one of the covariates, where significant decreases were found for the sleep latency (p=0.010) and time-in-bed (p=0.009) during use of the weighted blanket, if the participant used medication. The further analysis on the participants that liked using the blanket (n = 19 subjects included) showed no further additional significant differences in the results.

The post-test actigraphy period was compared to both the pre-test and weighted blanket periods. Due to participant drop out, only 22 participants completed the post-test, as compared to the 27 who completed the pre-test and weighted blanket periods. There were no significant differences between the pre- and post test measures. There was significant decrease between using the weighted blanket and the post-test periods for the mean sleep bout time in mins (p = 0.003), and significant increases in the total activity score (p = 0.018) and mean activity score (p = 0.015).

PSG

A total of 25 participants completed both PSG tests during the pre-test stage and while using the weighted blanket. PSG is a state-of-the-art measure for sleep studies, but the participants often reported that it was disturbing, due to the equipment required. Only one measure gave significant difference during the weighted blanket test, as compared to the pre-test: the spindles index significantly decreased (p =0.003). However considering only the 21 participants (out of the 25 who completed the PSG, i.e. 84%) who liked the blanket, WASO was decreased significantly (p =0.004) and TST increased significantly with the blanket (p =0.016).The effect of confounding variables on the PSG measures was sought, where an effect of gender was found, but this was only for the sleep spindles measure. Here, females had a higher spindles index during use of the weighted blanket, as compared to males (p = 0.024).

Movement analysis

The U-sleep data consisted of 6 measures collected from 23 of the 25 participants who completed the PSG (in 2 subjects there were technical problems with the sensor pad). The mean movements decreased in the next-to-last hour prior to waking up, both in duration (p =0.001) and in number (p = 0.075).No significant effects were found for the confounding variables on the U-sleep measures. A further analysis was run using only the subjects that liked using the weighted blanket (n = 15). Here, the number of movements in the next-to-last hour prior to waking up now showed a very significant decrease (p < 0.001), during blanket use.

Subjective measures

The sleep quality and KSS measures were obtained from 29 participants. There were decreases in both of these measures, meaning a better subjective sleep quality (sleep quality: decreased from 5.9 (pre-test) to 5.5 (during blanket use), p = 0.005; KSS decreased from 5.8 (pre-test) to 5.5 (during blanket use), p = 0.068). The post-test values showed no significant differences with either the pre-test or weighted blanket periods (both the sleep quality and KSS were 5.6).No significant effects were found for the confounding variables on the KSS or sleep quality measures, nor were any further differences found when only the participants that liked using the blanket (n = 20) were analyzed.

Ratings of subjective feelings about sleep with the weighted blanket. Each participant rated their feelings on VASs for eight items (numbered 1-8, see questions in Table1), where lower numbers are more favorable ratings towards the weighted blanket. The dotted line indicates the level between liking and disliking. The asterisks indicate the questions where there were significant decreases under the dotted line (i.e. significant liking), * p < 0.05, ** p < 0.01.

Figure 2: Ratings of subjective feelings about sleep with the weighted blanket. Each participant rated their feelings on VASs for eight items (numbered 1-8, see questions in Table1), where lower numbers are more favorable ratings towards the weighted blanket. The dotted line indicates the level between liking and disliking. The asterisks indicate the questions where there were significant decreases under the dotted line (i.e. significant liking), * p < 0.05, ** p < 0.01.

In Figure 2, the subjective assessment of using the weighted blanket showed that overall, the participants liked sleeping with the blanket (p =0.035), found easier to settle down to sleep (p = 0.032) and reported a much better quality of sleep (p = 0.004), feeling more refreshed in the morning (p = 0.045). They were not disturbed by the weight of the blanket (p =0.012) and in fact, felt a sense of security (p = 0.042). Furthermore, the weighted blanket did not affect their temperature in bed. The majority of participants (63%) preferred the padding side of the blanket to be closest to their body during sleep. The majority also just used the weighted blanket (63%), as compared to 30% who used an additional quilt under the blanket and 7% who used a quilt over the blanket.

DISCUSSION

In the present study, a chain weighted blanket was found to be effective at improving sleep quality in recognized insomniacs, both in parameters measured objectively and subjectively. The impact was more pronounced objectively when the participants reported having a positive experience of using the weighted blanket and if they used sleep medication. No adverse effects of using the weighted blanket were found.

Weighted blankets providing a ‘cocooning’ feeling and are often recommended for young patients with ASD and in the care of agitated elderly people. However, to our knowledge this is the first scientific study on the effect of weighted blankets in insomniacs. The ISI results validated that the selected group had mild-to-moderate insomnia and their Epworth scores, expected to be low in this group of subject, though within the normal range, were also a little elevated (mean = 6, indicating some tendency for daytime consequences), meaning that the blanket could be beneficial for general insomnia and potentially also for mild sleep problems. Based on sensory integration, it has been suggested that deep pressure and consistent sensory input, such as provided by a heavy weight on the body, can reduce physiological levels of arousal [25].A crucial point is that the weight should not be too light or heavy, and the weight must be evenly distributed throughout the fabric to provide constant tactile stimulation distributed across the body, which the current weighted blanket design provided.

There are many weighted blankets and vests on the market with different designs, for example, those with metal chains or covers filled with small plastic balls or pellets. Chain covers and ball quilts may provide different sensations (e.g. tactile, thermal insulation) and have different weights, which need to be adapted individually, as some patients may be more sensitive to stimulation, thus requiring a lesser-weighted blanket. The effectiveness of a weighted blanket has been found to relate to the mass of a person, where a blanket that weighs more than 10% of the person’s body is more beneficial [19]. All of the participants in the current study had a weight of blanket/participant ratio of more than 12% (see Table 1). The longitudinal chain construction of the present weighted blanket may adjust well to the participant’s body, where an even weight is delivered over the body from the whole blanket surface, with the longitudinal chain construction adding further pressure points that fluctuate with minor movements producing a stroking-like effect.

There are limitations to the current study design, which include a lack of a control group, the long duration of the study, some missing data, and the inability to provide a placebo weighted blanket. The participants represented their own control (preand post-test measures) in our cross-over design and a control group would only have been necessary if the goal was to compare different types of blankets. However, in some tests, we had reduced numbers of participants (e.g. in the PSG), particularly due to technical issues with this equipment-intensive technique. As we calculated that we needed at least 26 participants for significant effects prior to the study, we conducted the study on 31 participants, which allowed for some issues and participant drop out (which occurred mainly at the week 4 post-test stage).Giving a weighted blanket to control participants without insomnia would have been less meaningful, unless we were interested in looking at a possible negative impact of the blanket. However, the strengths of our design include the use of combined objective and subjective assessments using different, independent methods, and the use of a pre- and post-test baseline.

PSG is the golden standard to study sleep, but it can be cumbersome, disturbing and is limited to a few nights, hence not representative of the subject’s habitual night sleep. The PSG did show some beneficial effects of blanket use, including the TST and WASO that were significantly improved in the 21 participants reporting a subjective positive impact of the blanket. Regarding the significant decrease in the spindles index, this may reflect the responsiveness of the brain to stimuli, where a decreased amount suggests a ‘loss of contact’ with the external environment, hence working as a filter and enhancing sleep continuity [26]. The movement (U-sleep) analysis was based on recordings from the PSG pad; however, the first sleep hours can be disturbed by the PSG. Hence, we used the ‘next to last hour’ measure to assess sleep, since the last hour is often characterized by a shallow sleep. The participants showed a decrease of movements this next to last hour, which represented a quieter, more restful sleep. Therefore the combination with actigraphy made for a more comprehensive evaluation of the effects of using the weighted blanket over time. The actigraphy showed a number of objective improvements in sleep, including a decrease in movements and an increase in the length of sleep bouts.

Overall, these measures suggest the additional pressure stimulation from the weighted blanket provided a calming effect on the participants, by decreasing agitation and increasing the quality of their sleep. This was demonstrated through a decrease in movements during sleep with the weighted blanket, which were increased in the pre- and post-test periods, and also the subjective increased in sleep quality (measured by the VAS) and KSS (which is a validated instrumental scale). Although these subjective measures are possibly less clinically relevant, it is important to consider the psychological effects of using the weighted blanket (cf. [20]), for example, having a positive attitude. Weighted blankets and deep pressure touch may work well for insomniacs, both through psychological means (e.g. calming and ‘cocooning’, releasing anxiety [27]) and physiological means (e.g. tactile input that decreases activity of the sympathetic nervous system [28]).As increased sympathetic arousal likely affects sleep quality negatively, reducing it may aid sleep.

CONCLUSION

The weighted chain blanket used in the present study had a positive impact on sleep, both objectively and subjectively, where a number of physiological and behavioral measures were improved during weighted blanket use. When the participants used the weighted blanket, they had a calmer night’s sleep, with a decrease in movements. Subjectively, they believed that using the blanket provided them with a more comfortable, better quality, and more secure sleep. In conclusion, a weighted blanket may aid in reducing insomnia through increased tactile and proprioceptive inputs, may provide an innovative, nonpharmacological approach and complementary tool to improve sleep quality.

CONFLICT OF INTEREST

The study was supported by a grant from Somna AB. GB is the Medical Director of SDS Clinic, where the study was overseen.

REFERENCES

1. Léger D, Guilleminault C, Bader G, Lévy E, Paillard M. Medical and socio-professional impact of insomnia. Sleep. 2002; 25: 625-629.

2. Ohayon MM, Bader G. Prevalence and correlates of insomnia in the Swedish population aged 19-75 years. Sleep Med. 2010; 11: 980-986.

3. Hillman DR, Lack LC. Public health implications of sleep loss: the community burden. Med J Aust. 2013; 199: S7-10.

4. Riemann D, Nissen C, Palagini L, Otte A, Perlis ML, Spiegel Alder K. The neurobiology, investigation, and treatment of chronic insomnia. Lancet Neurol. 2015; 14: 547-558.

5. National Center on Sleep Disorders Research. National Institutes of Health.

6. Colten HR, Altevogt BM. Committee on Sleep Medicine and Research -Sleep Disorders and Sleep Deprivation: An Unmet Public Health Problem. The National Academies Press Washington, DC, National Academy of Sciences. 2006; 404.

7. Asplund R, Aberg H. Sleep and cardiac symptoms amongst women aged 40-64 years. J Intern Med. 1998; 243: 209-213.

8. Arnold LE. Alternative treatments for adults with attention-deficit hyperactivity disorder (ADHD). Ann N Y Acad Sci. 2001; 931: 310-341.

9. Collins A, Dworkin RJ. Pilot study of the effectiveness of weighted vests. Am J Occup Ther. 2011; 65: 688-694.

10. Fertel-Daly D, Bedell G, Hinojosa J. Effects of a weighted vest on attention to task and self-stimulatory behaviors in preschoolers with pervasive developmental disorders. Am J Occup Ther. 2001; 55: 629- 640.

11. Grandin T. Calming effects of deep touch pressure in patients with autistic disorder, college students, and animals. J Child Adolesc Psychopharmacol. 1992; 2: 63-72.

12. Hvolby A, Bilenberg N. Use of Ball Blanket in attention-deficit/ hyperactivity disorder sleeping problems. Nord J Psychiatry. 2011; 65: 89-94.

13. Morrison AP. A review of research on the use of weighted vests with children on the autism spectrum. Education. 2007; 127: 323–327.

14. Olson LJ, Moulton HJ. Use of weighted vests in pediatric occupational therapy practice. Phys Occup Ther Pediatr. 2004; 24: 45-60.

15. Stephenson J, Carter M. The use of weighted vests with children with autism spectrum disorders and other disabilities. J Autism Dev Disord. 2009; 39: 105-114.

16. Edelson SM, Edelson MG, Kerr DC, Grandin T. Behavioral and physiological effects of deep pressure on children with autism: a pilot study evaluating the efficacy of Grandin’s Hug Machine. Am J Occup Ther. 1999; 53: 145-152.

17. Chen H-Y, Yang H, Chi H-J, Chen H-M. Physiological effects of deep touch pressure on anxiety alleviation: The weighted blanket approach. J Med Biol Eng. 2013; 33: 463-470.

18. Sylvia LG, Shesler LW, Peckham AD, Grandin T, Kahn DA. Adjunctive deep touch pressure for comorbid anxiety in bipolar disorder: mediated by control of sensory input? J Psychiatr Pract. 2014; 20: 71- 77.

19. Mullen B, Champagne T, Krishnamurty S, Dickson D, Gao RX. Exploring the safety and therapeutic effects of deep pressure stimulation using a weighted blanket. Occupat Ther Ment Health, 2008; 24: 65-89.

20. Gringras P, Green D, Wright B, Rush C, Sparrowhawk M, Pratt K, et al. Weighted blankets and sleep in autistic children--a randomized controlled trial. Pediatrics. 2014; 134: 298-306.

21. Morin CM. Insomnia: psychological assessment and management. Guilford Press: New York, NY, 1993.

22. Johns MW. A new method for measuring daytime sleepiness: the Epworth sleepiness scale. Sleep. 1991; 14: 540-545.

23. Bader G, Almersjö B. A Comparison of sleep analysis according to polysomnography and to a sensor pad recording method. Sleep. 2009; 22: C074N.

24. Akerstedt T, Gillberg M. Subjective and objective sleepiness in the active individual. Int J Neurosci. 1990; 52: 29-37.

25. Ayres AJ. Sensory integration and learning disorders. Western Psychological Services: Los Angeles, CA: 1972.

26. Dang-Vu TT, McKinney SM, Buxton OM, Solet JM, Ellenbogen JM. Spontaneous brain rhythms predict sleep stability in the face of noise. Curr Biol. 2010; 20: R626-627.

27. Krauss KE. The effects of deep pressure touch on anxiety. Am J Occup Ther. 1987; 41: 366-373.

28. Bundy AC, Lane SJ, Murray EA. Sensory integration: Theory and Practice, 2nd ed., Philadelphia: F.A. Davis Company, 2002.

Ackerley R, Badre G, Olausson H (2015) Positive Effects of a Weighted Blanket on Insomnia. J Sleep Med Disord 2(3): 1022.

Received : 09 May 2015
Accepted : 22 May 2015
Published : 25 May 2015
Journals
Annals of Otolaryngology and Rhinology
ISSN : 2379-948X
Launched : 2014
JSM Schizophrenia
Launched : 2016
Journal of Nausea
Launched : 2020
JSM Internal Medicine
Launched : 2016
JSM Hepatitis
Launched : 2016
JSM Oro Facial Surgeries
ISSN : 2578-3211
Launched : 2016
Journal of Human Nutrition and Food Science
ISSN : 2333-6706
Launched : 2013
JSM Regenerative Medicine and Bioengineering
ISSN : 2379-0490
Launched : 2013
JSM Spine
ISSN : 2578-3181
Launched : 2016
Archives of Palliative Care
ISSN : 2573-1165
Launched : 2016
JSM Nutritional Disorders
ISSN : 2578-3203
Launched : 2017
Annals of Neurodegenerative Disorders
ISSN : 2476-2032
Launched : 2016
Journal of Fever
ISSN : 2641-7782
Launched : 2017
JSM Bone Marrow Research
ISSN : 2578-3351
Launched : 2016
JSM Mathematics and Statistics
ISSN : 2578-3173
Launched : 2014
Journal of Autoimmunity and Research
ISSN : 2573-1173
Launched : 2014
JSM Arthritis
ISSN : 2475-9155
Launched : 2016
JSM Head and Neck Cancer-Cases and Reviews
ISSN : 2573-1610
Launched : 2016
JSM General Surgery Cases and Images
ISSN : 2573-1564
Launched : 2016
JSM Anatomy and Physiology
ISSN : 2573-1262
Launched : 2016
JSM Dental Surgery
ISSN : 2573-1548
Launched : 2016
Annals of Emergency Surgery
ISSN : 2573-1017
Launched : 2016
Annals of Mens Health and Wellness
ISSN : 2641-7707
Launched : 2017
Journal of Preventive Medicine and Health Care
ISSN : 2576-0084
Launched : 2018
Journal of Chronic Diseases and Management
ISSN : 2573-1300
Launched : 2016
Annals of Vaccines and Immunization
ISSN : 2378-9379
Launched : 2014
JSM Heart Surgery Cases and Images
ISSN : 2578-3157
Launched : 2016
Annals of Reproductive Medicine and Treatment
ISSN : 2573-1092
Launched : 2016
JSM Brain Science
ISSN : 2573-1289
Launched : 2016
JSM Biomarkers
ISSN : 2578-3815
Launched : 2014
JSM Biology
ISSN : 2475-9392
Launched : 2016
Archives of Stem Cell and Research
ISSN : 2578-3580
Launched : 2014
Annals of Clinical and Medical Microbiology
ISSN : 2578-3629
Launched : 2014
JSM Pediatric Surgery
ISSN : 2578-3149
Launched : 2017
Journal of Memory Disorder and Rehabilitation
ISSN : 2578-319X
Launched : 2016
JSM Tropical Medicine and Research
ISSN : 2578-3165
Launched : 2016
JSM Head and Face Medicine
ISSN : 2578-3793
Launched : 2016
JSM Cardiothoracic Surgery
ISSN : 2573-1297
Launched : 2016
JSM Bone and Joint Diseases
ISSN : 2578-3351
Launched : 2017
JSM Bioavailability and Bioequivalence
ISSN : 2641-7812
Launched : 2017
JSM Atherosclerosis
ISSN : 2573-1270
Launched : 2016
Journal of Genitourinary Disorders
ISSN : 2641-7790
Launched : 2017
Journal of Fractures and Sprains
ISSN : 2578-3831
Launched : 2016
Journal of Autism and Epilepsy
ISSN : 2641-7774
Launched : 2016
Annals of Marine Biology and Research
ISSN : 2573-105X
Launched : 2014
JSM Health Education & Primary Health Care
ISSN : 2578-3777
Launched : 2016
JSM Communication Disorders
ISSN : 2578-3807
Launched : 2016
Annals of Musculoskeletal Disorders
ISSN : 2578-3599
Launched : 2016
Annals of Virology and Research
ISSN : 2573-1122
Launched : 2014
JSM Renal Medicine
ISSN : 2573-1637
Launched : 2016
Journal of Muscle Health
ISSN : 2578-3823
Launched : 2016
JSM Genetics and Genomics
ISSN : 2334-1823
Launched : 2013
JSM Anxiety and Depression
ISSN : 2475-9139
Launched : 2016
Clinical Journal of Heart Diseases
ISSN : 2641-7766
Launched : 2016
Annals of Medicinal Chemistry and Research
ISSN : 2378-9336
Launched : 2014
JSM Pain and Management
ISSN : 2578-3378
Launched : 2016
JSM Women's Health
ISSN : 2578-3696
Launched : 2016
Clinical Research in HIV or AIDS
ISSN : 2374-0094
Launched : 2013
Journal of Endocrinology, Diabetes and Obesity
ISSN : 2333-6692
Launched : 2013
Journal of Substance Abuse and Alcoholism
ISSN : 2373-9363
Launched : 2013
JSM Neurosurgery and Spine
ISSN : 2373-9479
Launched : 2013
Journal of Liver and Clinical Research
ISSN : 2379-0830
Launched : 2014
Journal of Drug Design and Research
ISSN : 2379-089X
Launched : 2014
JSM Clinical Oncology and Research
ISSN : 2373-938X
Launched : 2013
JSM Bioinformatics, Genomics and Proteomics
ISSN : 2576-1102
Launched : 2014
JSM Chemistry
ISSN : 2334-1831
Launched : 2013
Journal of Trauma and Care
ISSN : 2573-1246
Launched : 2014
JSM Surgical Oncology and Research
ISSN : 2578-3688
Launched : 2016
Annals of Food Processing and Preservation
ISSN : 2573-1033
Launched : 2016
Journal of Radiology and Radiation Therapy
ISSN : 2333-7095
Launched : 2013
JSM Physical Medicine and Rehabilitation
ISSN : 2578-3572
Launched : 2016
Annals of Clinical Pathology
ISSN : 2373-9282
Launched : 2013
Annals of Cardiovascular Diseases
ISSN : 2641-7731
Launched : 2016
Journal of Behavior
ISSN : 2576-0076
Launched : 2016
Annals of Clinical and Experimental Metabolism
ISSN : 2572-2492
Launched : 2016
Clinical Research in Infectious Diseases
ISSN : 2379-0636
Launched : 2013
JSM Microbiology
ISSN : 2333-6455
Launched : 2013
Journal of Urology and Research
ISSN : 2379-951X
Launched : 2014
Journal of Family Medicine and Community Health
ISSN : 2379-0547
Launched : 2013
Annals of Pregnancy and Care
ISSN : 2578-336X
Launched : 2017
JSM Cell and Developmental Biology
ISSN : 2379-061X
Launched : 2013
Annals of Aquaculture and Research
ISSN : 2379-0881
Launched : 2014
Clinical Research in Pulmonology
ISSN : 2333-6625
Launched : 2013
Journal of Immunology and Clinical Research
ISSN : 2333-6714
Launched : 2013
Annals of Forensic Research and Analysis
ISSN : 2378-9476
Launched : 2014
JSM Biochemistry and Molecular Biology
ISSN : 2333-7109
Launched : 2013
Annals of Breast Cancer Research
ISSN : 2641-7685
Launched : 2016
Annals of Gerontology and Geriatric Research
ISSN : 2378-9409
Launched : 2014
JSM Burns and Trauma
ISSN : 2475-9406
Launched : 2016
Chemical Engineering and Process Techniques
ISSN : 2333-6633
Launched : 2013
Annals of Clinical Cytology and Pathology
ISSN : 2475-9430
Launched : 2014
JSM Allergy and Asthma
ISSN : 2573-1254
Launched : 2016
Journal of Neurological Disorders and Stroke
ISSN : 2334-2307
Launched : 2013
Annals of Sports Medicine and Research
ISSN : 2379-0571
Launched : 2014
JSM Sexual Medicine
ISSN : 2578-3718
Launched : 2016
Annals of Vascular Medicine and Research
ISSN : 2378-9344
Launched : 2014
JSM Biotechnology and Biomedical Engineering
ISSN : 2333-7117
Launched : 2013
Journal of Hematology and Transfusion
ISSN : 2333-6684
Launched : 2013
JSM Environmental Science and Ecology
ISSN : 2333-7141
Launched : 2013
Journal of Cardiology and Clinical Research
ISSN : 2333-6676
Launched : 2013
JSM Nanotechnology and Nanomedicine
ISSN : 2334-1815
Launched : 2013
Journal of Ear, Nose and Throat Disorders
ISSN : 2475-9473
Launched : 2016
JSM Ophthalmology
ISSN : 2333-6447
Launched : 2013
Journal of Pharmacology and Clinical Toxicology
ISSN : 2333-7079
Launched : 2013
Annals of Psychiatry and Mental Health
ISSN : 2374-0124
Launched : 2013
Medical Journal of Obstetrics and Gynecology
ISSN : 2333-6439
Launched : 2013
Annals of Pediatrics and Child Health
ISSN : 2373-9312
Launched : 2013
JSM Clinical Pharmaceutics
ISSN : 2379-9498
Launched : 2014
JSM Foot and Ankle
ISSN : 2475-9112
Launched : 2016
JSM Alzheimer's Disease and Related Dementia
ISSN : 2378-9565
Launched : 2014
Journal of Addiction Medicine and Therapy
ISSN : 2333-665X
Launched : 2013
Journal of Veterinary Medicine and Research
ISSN : 2378-931X
Launched : 2013
Annals of Public Health and Research
ISSN : 2378-9328
Launched : 2014
Annals of Orthopedics and Rheumatology
ISSN : 2373-9290
Launched : 2013
Journal of Clinical Nephrology and Research
ISSN : 2379-0652
Launched : 2014
Annals of Community Medicine and Practice
ISSN : 2475-9465
Launched : 2014
Annals of Biometrics and Biostatistics
ISSN : 2374-0116
Launched : 2013
JSM Clinical Case Reports
ISSN : 2373-9819
Launched : 2013
Journal of Cancer Biology and Research
ISSN : 2373-9436
Launched : 2013
Journal of Surgery and Transplantation Science
ISSN : 2379-0911
Launched : 2013
Journal of Dermatology and Clinical Research
ISSN : 2373-9371
Launched : 2013
JSM Gastroenterology and Hepatology
ISSN : 2373-9487
Launched : 2013
Annals of Nursing and Practice
ISSN : 2379-9501
Launched : 2014
JSM Dentistry
ISSN : 2333-7133
Launched : 2013
Author Information X