Career Growth Opportunities and Motivation to Pursue Postgraduate Education among Staff Nurses in the Philippines
- 1. The Graduate School, University of Santo Tomas, Philippines
 
Absract
Aims: This research specifically determined the perceived extent of career growth opportunities by the staff nurses inside the organization, their level of motivation to pursue postgraduate education, and the association of career growth opportunities and motivation to pursue postgraduate education among them. 1.2.
Methods A quantitative, predictive design was utilized through a purposive sampling of 97 staff nurses with 2 years work experience in government tertiary hospital in the Philippines. After ERB/IRB approval and inform consent, the respondents answered the Career Growth Scale and Academic Motivation Scale questionnaires that were pretested with a cronbach alpha of 0.94 and 0.93. Stata 12 was used to analyze the data, and multiple regression analysis to assess the association of the variables. P values less than or equal to 0.05 was considered statistically significant.
Results: The results revealed a significant association between career growth opportunities and extrinsic motivation (p-value=0.000). However career growth opportunities and intrinsic motivation (p-value=0.055) did not display a significant relationship.
Conclusions: Overall, the results showed when the nurses perceive satisfactory career growth opportunities from their organization, there is a tendency that they will be and extrinsically motivated to pursue postgraduate education.
Keywords
Postgraduate education, Career growth opportunities, Motivation
Citation
Reyes G, Conde A (2017) Career Growth Opportunities and Motivation to Pursue Postgraduate Education among Staff Nurses in the Philippines. Ann Nurs Pract 4(1): 1074
ABBREVIATIONS
AMS: Academic Motivation Scale; CGS: Career Growth Scale; MAN: Master of Arts in Nursing; BSN: Bachelor of Science in Nursing
INTRODUCTION
Maintaining proficiency in a chosen professional career path becomes a public demand in the changing job market. As economies across the globe are becoming more integrated, the need for an education that meets the needs of a competitive, quickly-changing marketplace has intensified [1]. Many healthcare institutions and professional organizations are now challenged toward the developments and advances that demand innovative, competent and erudite workforce. Thus they include numerous continuing professional development programs as a strategy in keeping the best employees to be more knowledgeable and competent in assisting them to become adept in their job. Much of the researches concerning continuing professional development have included the pursuit of ‘’postgraduate education’’ or taking master’s and doctoral units and degree as one of the important aspects of ‘’continuing professional development’’ [2,3].
The factors that may encourage healthcare professionals to be lifelong learners such as the needs for a much-educated workforce that meets the needs of competitive global demand. Such factors are not enough to encourage the number of nurses who do not consider the pursuit of postgraduate education as part of their career plan. This has become a growing concern and a center of interest to different researchers. Several of them [4-7] have focused on exploration of motivators and barriers in pursuit of higher education in adult learners.
The concept of motivation is highly complex that is influenced by a large number of factors. There are numerous studies relating to the factors affecting individual’s motivation to pursue postgraduate education, and all of these factors can be viewed as either extrinsic or intrinsic [5]. Extrinsic motivation refers to the motivation created by external stimuli. One is motivated extrinsically when the act is based upon a goal or reward external to the behavior itself [5,8]. While intrinsic motivation refers to the desire of an individual to perform his/her work well in order to achieve satisfaction. An individual performs a task in order to achieve a certain type of internal state which he or she experiences as rewarding. Because it is a state of being, the individual is motivated by psychological rewards rather than physical rewards [5].
Most of the findings suggest major deterrents that discourage nurses to pursue postgraduate education or continuing formal education. The challenges cited in some studies include lack of awareness, staff shortages, lack of encouragement from their managers, lack of funding and structural barriers such as granting study leave, lack of coherent staff development plans and opportunities for promotion, and lack of supportive work environment, and also constraints of time, and family commitments [4,5,7,9-12].
In this regard, findings from further research regarding nurses who desired to pursue postgraduate education revealed that nurses were intrinsically and extrinsically motivated to pursue higher education. They may be driven or motivated by the following intrinsic and extrinsic factors for advanced education: 1) better job opportunities, 2) increased pay, 3) job security, 4) improved benefits, (5) a desire to be more proficient, 6) professional regulations, and 7) acquisition of credentials [13]. This finding is in agreement with the finding of [14] where most of the participants indicated that they would like to obtain additional qualification in order to meet up with requirement of promotion and the associated increase in pay.
These complications must be addressed by individuals and institutions and the need for another look is recommended to further explore another variables that influence the motivation of nurses to participate in postgraduate education, such as the career growth opportunities inside the organization which the firm provides to the nurses. Many researchers [15-20] gave emphasis on career growth opportunities and highlight the social exchange between the individuals which demonstrate expectation and reciprocation. Employees who perceive potential future opportunities within the organization are therefore reciprocate in the future. Opportunities for career development represent an important benefit provided by the firm [15].
Weng et al. [21], elaborate on this concept and proposed that employee organizational career growth could be brought in by four factors. The first factor is career goal progress or the extent of opportunities provide by the organization for them to ascertain their career goals. Second is professional ability development or the degree to which employees’ present job permits them to cultivate new or additional skills and knowledge. Third is promotion speed or the employees’ perceptions of the probability of being offered a promotion and the last one is remuneration growth or the rapidity and likelihood compensation growth. This conceptualization suggests that career growth inside the organization is a combination of employees’ efforts toward the progress of their career goals and obtaining professional skills in the organization and the organization’s efforts in reciprocating such efforts, through provision of promotions and salary growth [22]
Victor Vroom [23] is the one who developed the expectancy theory. This theory can best expound the phenomenon exists between an individual and career growth opportunities inside its organization. It is based upon three beliefs: valence, expectancy and instrumentality. Valence refers to the strength of employees desire for extrinsic (money, promotion, time-off, benefits) or intrinsic (satisfaction) rewards. Expectancy refers to a belief that employees estimate the probability that job-related effort will result in a given level of performance. Lastly, instrumentality refers to the perception of employees whether they will actually get what they desire even if it has been promised to them [24,25].
In general, employees are motivated to the degree that they believe that an effort will lead to acceptable performance (expectancy), that performance will be rewarded (instrumentality), and the value of the rewards is highly positive (valence) [25].
Research Questions:
1. What is the perceived extent of career growth opportunities by the staff nurses?
2. What is the level of intrinsic and extrinsic motivation to pursue postgraduate education among the staff nurses?
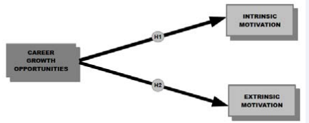
3. Is there a significant relationship between career growth opportunities and motivation to pursue postgraduate education such that: (Figure 1).

Figure 1 Career Growth opportunities and Motivation to pursue Postgraduate Education
H1a: The higher the career growth opportunities the higher intrinsic motivation to pursue postgraduate education.
H1b: The higher the career growth opportunities the higher the extrinsic motivation to pursue postgraduate education.
MATERIALS AND METHODS
Research design
A quantitative, predictive correlational design was utilized to find out the relationship of career growth opportunities and motivation to pursue postgraduate education among the staff nurses. The two variables that were measured include the extent of career growth opportunities as independent variable and the level of nurses’ motivation to pursue postgraduate education as dependent variable.
Sample and study site
The staff nurses with at least two years working experience in one of the government tertiary hospitals in the Philippines were selected through purposive sampling to access a particular subset of respondents according to specific characteristic. Staff nurses from nine selected departments participated in the study with a response rate of 97 (Table 1).
Research Instrumentation
The experts in the field of human resources development, business administration, nursing, and nursing education validated the research instruments. Prior to the implementation of the actual study, authority validation of each instrument was done by the authors. To ensure the reliability of each instrument, a pilot testing was conducted and Cronbach Alpha was also computed. The questionnaires are consists of socio-demographic profile of the respondents followed by the questions regarding the career growth scale and the motivation to pursue postgraduate education of the respondents. Career Growth Scale had 0.94 while 0.93 for Academic Motivation Scale. The questionnaire design was then finalized using the scores obtained.
The two main parts are specifically described as follows:
Career Growth Scale (CGS): The career growth scale is a 15-items scale created by Weng and Hu [26]. It includes a fourdimensional self-perception scale and measures career growth based on the variables of career goal progress, professional ability development, promotion speed and remuneration growth. Career goal progress was measured by items number 1 to 4, while items numbers 5 to 8 measure professional ability development, promotion speed was measured by number 9 to 12, and the last three items, number 13 to 15 measure remuneration growth. The instrument was rated using a 5-point Likert scale with 1 for strongly disagree to 5 for strongly agree. Furthermore, it has been used and validated in several research studies, such as Wang et al. [27], had 0.88, Weng & McElroy [21] had 0.85, and Weng et al. [21], had 0.82 which are considered as high reliability scores [28].
Academic motivation scale (AMS): Academic Motivation Scale was designed by Robert J. Vallerand [29], which is based on self determination theory. It is a 14-item questionnaire that assessed extrinsic motivation and intrinsic motivation. Extrinsic motivation was measured by items numbers 1 to 10 while numbers 11 to 14 measured intrinsic motivation. It was rated using using 7-point Likert scale ranges from 1 for Does not correspond at all to 7 for corresponds exactly.
Data gathering procedure: A letter of Intent was sent to the selected Government Tertiary Hospital. Upon permission of IERB (Institutional Ethics Review Board), the letter was imparted to the nursing service to designate and endorse to the selected nursing department. Nine nursing departments were selected and each department head selected the qualified respondents based on the inclusion criteria of the subject. Selected respondents were then asked to sign the informed consent and were assured that all information are protected and are kept confidential. The respondents were expected to answer the research instruments within one week to avoid the misplacement of the questionnaire.
Ethical consideration
The study commenced after ERB/IRB approval. Informed consent was obtained from each respondent prior to data gathering. It includes the purpose of the study, methods of data collection and the process for protecting the confidentiality of the gathered information. All the respondents were given a chance to present their concerns before the beginning of the study. Furthermore, they were informed that any participation is voluntary and that they have the right to withdraw from the study at any time and to request to withhold any information already submitted if they wished to do so. Data gathered will be destroyed by shredding after it has been presented during the final defense of the researcher. All findings will be discussed with the respective nurses and organization upon request.
Data analysis
Statistical analysis was analyzed using Stata 12. Associations were assessed using multiple regression analysis. P values less than or equal to 0.05 was considered statistically significant. Means and standard deviations were computed and translated into verbal interpretation to describe the level of career growth opportunities and motivation.
RESULTS
In this study, 62.9% of the respondents were female. More than 60% of the samples are less than 30 years old. Sixty nine percent were single. Ninety two percent and above of the respondents finished the University and present a Bachelor Degree. Nurses from delivery room represent the 20.6% of the respondents which also the highest among the chosen departments and the rest were from female surgery ward (13.4%), ob ward (12.4%), pay ward (10.3%), medical ward (10.3%), pedia ward (9.3%), emergency room (8.2%), male surgical ward (8.2%) and birthing center (7.2%). Seventy six percent have 2 to 10 years of employment. And also, 87.6% of are tenured for less than 10 years. Fifty percent of the respondents receive less than 20 thousand monthly (Table 1,2).
Table 1: Socio-demographic profile of the staff nurses.
| ITEM | DESCRIPTION | FREQUENCY | PERCENT | 
| GENDER | Male | 36 | 37.1 | 
| Female | 61 | 62.9 | |
| Toatl | 97 | 100 | |
| AGE | 30 and less | 63 | 65 | 
| 31 to 40 | 20 | 20.6 | |
| 41 to 50 | 11 | 11.3 | |
| 51 and more | 3 | 3.1 | |
| Total | 97 | 100 | |
| MARITAL STATUS | Single | 67 | 69.1 | 
| Married | 30 | 30.9 | |
| Total | 97 | 100 | |
| HIGHEST EDUCATIONAL ATTAINMENT | BSN | 90 | 92.8 | 
| MAN | 7 | 7.2 | |
| Toatl | 97 | 100 | |
| UNIT OF ASSIGNMENT | Emergency Room | 8 | 8.2 | 
| Female Surgery Ward | 13 | 13.4 | |
| Pedia ward | 9 | 9.3 | |
| Male Surgery Ward | 8 | 8.2 | |
| Pay Ward | 10 | 10.3 | |
| Birthing Center | 7 | 7.2 | |
| Medical Ward | 10 | 10.3 | |
| OB Ward | 12 | 12.4 | |
| Delivery Room | 20 | 20.6 | |
| Total | 97 | 100 | |
| YEARS OF EMPLOYMENT | 2 to 10 | 74 | 76.3 | 
| 11 to 20 | 17 | 17.5 | |
| 21 and more | 6 | 6.2 | |
| Total | 97 | 100 | |
| YEARS OF TENURE | 2 to 10 | 85 | 87.6 | 
| 11 to 20 | 8 | 8.2 | |
| 21 and more | 4 | 4.1 | |
| Total | 97 | 100 | |
| MONTHLY SALARY | 20-Nov | 49 | 50.5 | 
| 21-30 | 44 | 45.4 | |
| 31-40 | 4 | 4.1 | |
| Total | 97 | 100 | 
Regarding the level of career growth opportunities, in terms of career goal progress the respondents display a high level. This is due to their high perception of their present job as it moves them closer to their career goals (σ=0.74, µ=4.14), it is relevant to their career goals and vocational growth (σ=0.73, µ=4.31), it sets the foundation for the realization of their career goals (σ=0.76, µ=4.20), and it provides them with good opportunities to realize their career goals (σ=0.73, µ=4.18). When it comes to professional ability development, respondents have high perception because they perceived that their present job encourages them to continuously gain new and job-related skills (σ=0.74, µ=4.22), to continuously gain new job-related knowledge (σ=0.72, µ=4.20), to accumulate richer work experiences (σ=0.71, µ=4.26), and enables them to continuously improve their professional capabilities (σ=0.78, µ=4.29). For promotion speed, the respondents highly perceived that promotion speed in their present organization is fast (σ=0.98, µ=3.42), they also observed that the probability of being promoted in their present organization is high (σ=1.04, µ=3.14), having an ideal position compared to their previous work (σ=0.98, µ=3.46), however, being promoted faster as compared to colleagues (σ=1.00, µ=2.92) is only moderate. Lastly, they also perceived that remuneration of growth is at an average level because their salary is moderately growing quickly in their present organization (σ=1.02, µ=2.89), that it is moderate when it comes to the possibility of their current salary being increased at large (σ=1.09, µ=2.96), and moderate when it comes to quick improvement of their salary as compared to their colleagues (σ=1.04, µ=2.64) (Table 2).
Table 2: Extent of Career Growth Opportunities by the Staff Nurses.
| CGS - 15 ITEMS: | MEAN | STANDARD DEVIATION | VERBAL INTERPRETATION | |
| Career Goal Progress | ||||
| (1) | “my present job moves me closer to my career goals,” | 4.14 | .74 | High | 
| (2) | “my present job is relevant to my career goals and vocational growth,” | 4.31 | .73 | High | 
| (3) | “my present job sets the foundation for the realization of my career goals,” and | 4.20 | .76 | High | 
| (4) | “my present job provides me with good opportunities to realize my career goals.” | 4.18 | .76 | High | 
| Professional Ability Development | ||||
| (5) | “my present job encourages me to continuously gain new and job-related skills,” | 4.22 | .74 | High | 
| (6) | “my present job encourages me to continuously gain new job-related knowledge,” | 4.20 | .72 | High | 
| (7) | “my present job encourages me to accumulate richer work experiences,” and | 4.26 | .71 | High | 
| (8) | “my present job enables me to continuously improve my professional capabilities.” | 4.29 | .78 | High | 
| Promotion Speed | ||||
| (9) | “my promotion speed in the present organization is fast,” | 3.42 | .98 | High | 
| (10) | “the probability of being promoted in my present organization is high,” | 3.14 | 1.04 | Moderate | 
| (11) | “compared with previous organizations, my position in my present one is ideal” and | 3.47 | .98 | Moderate | 
| (12) | ) “compared with my colleagues, I am being promoted faster.” | 2.92 | 1.0 | Moderate | 
| Remuneration Growth | ||||
| (13) | “my salary is growing quickly in my present organization,” | 2.89 | 1.02 | Moderate | 
| (14) | “In this organization, the possibility of my current salary being increased is very large,” | 2.96 | 1.09 | Moderate | 
| (15) | “Compared with my colleagues, my salary has grown more quickly.” | 2.64 | 1.04 | Moderate | 
| OVERALL | 3.69 | .56 | High | |
As shown in Table (4) majority of the participants have high level of intrinsic motivation (M=5.5, SD=1.16). Nurses are observed to have high level of intrinsic motivation. By examining their responses, nurses have high level of pleasure and satisfaction while learning new things (µ=5.5, σ=1.21), pleasure of discover new things never seen before (µ=5.5, σ=1.21), high pleasure of broadening of knowledge about appealing subjects (µ=5.5, σ=1.26), and pleasure in continue to learn about many things that interest them (µ=5.6, σ=1.27). Overall, these nurses have high level of intrinsic motivation to pursue postgraduate education (Table 4).
Table 4: Level of Intrinsic Motivation to Pursue Postgraduate Education among the Staff Nurses.
| AMS - 4 ITEMS: | MEAN | STANDARD DEVIATION | VERBAL INTERPRETATION | |
| 11. ...pleasure and satisfaction while learning new things | 5.5 | 1.21 | High | |
| 12. ...when I discover new things never seen before | 5.5 | 1.21 | High | |
| 13. ... in broadening my knowledge about subjects which appeal to me | 5.5 | 1.26 | High | |
| 14. ...to continue to learn about many things that interest me | 5.6 | 1.27 | High | |
| OVERALL | 5.5 | 1.16 | HIGH | |
| Qualitative Interpretation of Mean: 1.0-3.00 Low 3.01 – 5.00 Moderate 5.01 – 7.00 High  | 
		||||
Based on the results of extrinsic motivation which is shown in Table (3), proved that majority of the participants were also extrinsically motivated to pursue postgraduate education (M=5.15, SD=1.14). When it comes to extrinsic motivation, prestigious at a later time (µ=5.18, σ=1.31), promise of good life (5.46, σ=1.35), higher salary (µ=5.40, σ=1.38), capability of completing a postgraduate education (µ=5.23, σ=1.38), good choice of career orientation (µ=5.30, σ=1.32), career preparation (µ=5.51, σ=1.27), and improvement of skills and competitiveness (µ=5.51, σ=1.30) are the main drivers that boost their extrinsic motivation to pursue postgraduate education. On the other hand, feeling of importance (µ=4.68, σ=1.77), intellectual capability (µ=4.30, σ=1.60) and achievement in studies (µ=4.93, σ=1.67) moderately boost their extrinsic motivation to pursue postgraduate education (Table 3).
Table 3: Level of Extrinsic Motivation to Pursue Postgraduate Education among the Staff Nurses.
| AMS - 10 ITEMS: | MEAN | STANDARD DEVIATION | VERBAL INTERPRETATION | |
| 1. ...to obtain a more prestigious job later on. | 5.18 | 1.31 | High | |
| 2. ...to have “the good life” later on. | 5.46 | 1.35 | High | |
| 3. ...to have a better salary later on. | 5.40 | 1.38 | High | |
| 4. ...capable of completing a postgraduate education. | 5.23 | 1.38 | High | |
| 5. ...when I succeed in school I feel important. | 4.68 | 1.77 | Moderate | |
| 6. ...that I am an intelligent person. | 4.30 | 1.60 | Moderate | |
| 7. …I can succeed in my studies | 1.67 | Moderate | ||
| 8. ...a better choice regarding my career orientation. | 5.30 | 1.32 | High | |
| 9. ...will help me better prepare for the career I have chosen | 5.51 | 1.27 | High | |
| 10. ...will improve my competence as a worker. | .515 | 1.3 | High | |
| OVERALL | 5.15 | 1.14 | HIGH | |
| Qualitative Interpretation of Mean: 1.00 – 3.00 Low 3.01 – 5.00 Moderate 5.01 – 7.00 High  | 
		||||
In terms of career growth opportunities and intrinsic motivation (H1a), the relationship does not indicate a significant result (t=1.94, p-value=0.055). Career growth alone can only explain 3.82% of variance to intrinsic motivation. This is reflected on the constant value of the model (4.03) wherein an increase in career growth can only add 0.41 to intrinsic motivation which is too small. Figure (3) shows the insignificant relationship between career growth and intrinsic motivation is because respondents that have moderate level of intrinsic motivation have varying levels of intrinsic motivation. This shows that these nurses do not see a clear vision despite the high level of career growth opportunities inside. Regardless of insignificant result, positive relationship reveals between career growth and intrinsic motivation which means that as career growth increases, intrinsic motivation also increases and vice versa (Figure 3).

Figure 3 Scatter plot of the relationship between career growth and intrinsic motivation to pursue postgraduate education
Whilst the hypothesis (H1b) that proposed correlations between career growth opportunities and extrinsic motivation pointed out a significant result (t=3.70, p-value=0.000). Career growth alone explains extrinsic motivation of about 12.58% of variance. The researcher is looking forward to the effect of career growth to extrinsic motivation alone without the help of any control or moderating factors. Therefore, it is expected that the amount of variance is only 3.82%. According to Frost* significance of regression models despite of low r-square value occurs because of high variability within the model. With positive coefficient, we conclude that as extrinsic motivation increases, career growth also increases or vice versa. Figure (4) also shows that the data points are scattered within the linear line but it shows a significant upward trend.

Figure 4 Scatter plot of the relationship between career growth and extrinsic motivation to pursue postgraduate education
Given that the researcher is focus on only one predictor that can define the extrinsic motivation to pursue postgraduate education, thus, variability is expected based what have discuss by Minitab (2014)* . A unit increase in career growth leads to an increase in extrinsic motivation by 0.72. The impact of career growth to extrinsic motivation is shown in the constant value of 2.49 because without career growth, extrinsic motivation of an individual will be equal to 2.49. Thus, an increase 0.71 is indeed significant for extrinsic motivation to increase of approximately 1 unit (Figure 4).
DISCUSSION
The analysis proves that the organization provides growth opportunities in terms of career goal progress and professional ability development, which resulted in high level. The findings suggest that nurses have a high extent of perception that their present job meets and aids them to achieve progress towards their career goal. This is aligned with the study of Weng and McElroy [22], which states that the sense of achievement an individual obtains from attaining personal career goals and additional skills should aggrandize their identification with their career. Furthermore, it is supported by the study of Wang et al. [19], that stressed that career goal progress makes the employee feel more secure in their position within the organization. In terms of professional ability development, their present job encourages them to continuously develop their professional ability. Consistent to the study of Hess et al. [30], which stated that if an employee is able to gain new abilities in his/her current organization, it could lead to an attractive employment.
However, in terms of promotion speed and remuneration growth displayed moderate level as perceived by staff nurses. This reflects the perception of the nurses on how the healthcare organization provides promotion speed and remuneration growth towards them. Promotion speed and remuneration growth should be taken into consideration seriously. Health-care organizations should consider the different needs of the nurses and in order to meet these needs, they should give priority to the administration of promotion and remuneration. Similarly, the study of Okurame [13] states that employee’s often hope to grow to achieve a distinguished career, higher monthly income and job status makes it more likely for some employees to have expectations of further career growth, signifying that low levels predispose employees to an unfavorable perception of career growth. The findings also align with several studies [22,30] it is demonstrated that remuneration growth constitutes one reason for Chinese and Australian employees to remain with their employing organizations. In relation to this, promotion opportunity was found to be a causal factor in influencing job satisfaction [31-33].
In this sense, nurses are often hope to grow in their chosen profession. The issue of how to provide greater opportunities for nurses to meet their career goals, acquire additional professional skills, opportunity of promotion and remuneration growth may need to be addressed. The study stressed the essence of work support that should be provided by the employer. Nurses should be informed on the opportunities that exist inside the company for upward expansion. Employers should give numerous experience to nurses to better equip them with work related skills. The importance of nurses’ career growth connotes the needs of cooperation by their employer.
Generally, nurses are motivated because of their interest to learn, and the pleasure and satisfaction they may experience when discovering new things in taking postgraduate education. This is similar to the study of Knutsen [5] and Richardson [4], which states that an individual performs a task in order to achieve satisfaction, which is internally rewarding. Furthermore, the reason why people pursue advanced education is because of intrinsic rewards, importance of getting it and the satisfaction of accomplishing it. In terms of extrinsic motivation, physical rewards play a major role to motivate nurses to embark on further studies. Specifically, nurses were motivated to pursue postgraduate education to further improve their competence as a worker and to better prepare for the career they have chosen. This confirms the international findings by Richards and Potieger [34], which states that nurses engaged in continuing formal education to improve quality nursing care, to develop competency to meet their patient’s expectation and to attain advanced knowledge and skills. In addition, nurses from selected government tertiary hospital have also the desire for better outcomes of pursuing postgraduate education such as to have a good life and a better salary. This supports previous studies of Rahmat et al., [35] and Waugh [36], wherein it showed that income has positively influenced the students decision to further studies. Likewise, Adamu et al., [12] asserted that aside from enhancement of knowledge, professional advancement, acquisition of credentials, and promotion prospect, pay increase also propelled nurses to embrace continuing formal education.
However, in questions numbers 5 to 7, the results show a moderate level. This is best explained by self-determination theory. According to Vallerand [29] who developed the academic motivation scale, this type of questions is under the introjections variant of extrinsic motivation based on self-determination theory. Introjection is stimulated by several factors; such as, an approval motive, avoidance of shame, contingent self-esteem, and ego-involvements [37]. Particularly, to show the intelligence and capabilities to succeed in taking postgraduate education do not motivate nurses. This is aligned with the findings of Guay et al., [38] which states that interjected regulations are considered as poor quality student motivation.
Generally, based on the findings nurses will pursue postgraduate education for the purpose of learning, their interest to learn, and the pleasure and satisfaction they may experience when discovering something new. In terms of extrinsic motivation, nurses will engage in postgraduate education for the reason of attaining physiological rewards that will improve their life, career and job. Nurses want to be more competent as a worker and to help them better prepare on their chosen career.
In terms of career growth opportunities and intrinsic motivation, although the organization provides career growth opportunities for nurses, still it does not have an impact on nurses’ intrinsic motivation to embark on postgraduate education. In the study of Edwards [39] strongly highlights that rewards change people’s focus from task to reward which can change people’s approach; making them risk averse, less cooperative and less creative. All these negative effects either play a part in crowding out intrinsic motivation or happen as a result of low intrinsic motivation. In contrast, Toode [40] reveals that most of the nurses were motivated more intrinsically than extrinsically. She [41] suggests that indicated changes in nature of the nurses’ motivation categories during their career reinforce the view that external motivators are not sufficient to capitalize on a hospital nurses’ full potential in the contemporary healthcare environment. This is supported by Abraham Maslow’s hierarchy of needs, which culminates in self-actualization the ultimate level of satisfaction, fulfillment and meaning, and also the concept of Frederick Herzberg’s theory of motivation, that money is not the principle motivator in person’s life [5]. It has been speculated that each individual has different motivational orientation. This shows that career growth opportunities inside the organization and intrinsic motivation has different way of encouragement, why nurses pursue postgraduate education. That even though the organization provides greater opportunities for nurses to meet their career goals, acquire additional professional skills, opportunity of promotion and remuneration growth this would not increase the intrinsic motivation (pleasure and interest) of nurses to pursue postgraduate education. In order to promote nurses’ learning, it is imperative to find out the motivational factors that may drive their decision to access a learning opportunity.
The four dimensions of career growth scale showed significant association with extrinsic motivation and recommends that what goes on inside the healthcare organization affects the degree of nurses’ extrinsic motivation to pursue postgraduate education. For example, the more opportunities for career growth such as career goal progress, professional ability development, promotion speed and remuneration growth, provided by the health care organization for nurses, make it more likely nurses will be motivated to pursue further formal studies because of the underlying physical rewards (contingent outcomes) they may attain.
Similar to several studies, [17,20-22,42,43] when an organization provides satisfactory career growth toward its employees, it will more likely lead to favorable outcomes and one of which is motivation to career development. This means that when nurses acknowledge and identify that the organization provides greater opportunities for them to meet their career goals, acquire additional professional skills, opportunity of promotion and remuneration growth, this would increase the extrinsic motivation of nurses to pursue postgraduate education as they perceive it as significant aspects to achieve their personal and professional goal. To increase knowledge base, to develop job related skills, financial and promotional prospects are the strong motivators for nurses to engage to postgraduate education.
Overall, only hypothesis 1b of the study show a significant relationship, while the hypothesis 1b show a non significant relationship (Figure 2).

Figure 2 Emerging Model of Career Growth opportunities and Extrinsic Motivation to pursue Postgraduate Education.
CONCLUSION
This research specifically explored the association of career growth opportunities and motivation to pursue postgraduate education based on the nurses’ perception. How its involvement influence nurses’ pursuit of post-graduate education. It ascertained the extent of career growth opportunities provided by the healthcare organization can influence their motivation to pursue postgraduate education. It was found that nurses perceive that their healthcare organization meet the career growth opportunities they need, in terms of career goal progress and professional ability development. However, with regard to promotion speed and remuneration growth, the nurses display a moderate level with how the organization administers it. These techniques of career growth opportunities are considered as important elements to encourage nurses to embark on postgraduate education. Particularly, when physical rewards play as major motivator, nurses are more likely willing to participate. Therefore, is it imperative that nurses understand the promotion procedures and remuneration administration in their organization thus it will help them manage their expectation. Healthcare leaders must provide information to nurses on opportunities that exist inside the organization for their upward mobility. This will give nurses a better understanding of the requirements for further studies that will lessen their frustration particularly in terms of promotion and salary growth.
Furthermore, since each individual has different motivational orientation, the findings demonstrate that career growth opportunities inside the organization and intrinsic motivation have different style of encouraging nurses to participate in postgraduate education. Despite the fact that organization provides greater opportunities for nurses to meet their career goals, acquire additional professional skills, opportunity of promotion and remuneration growth this would not increase the pleasure and interest of nurses to pursue postgraduate education. It is recommended to find out factors that may drive their decision to access a learning opportunity
The findings of the investigation demonstrate that the contribution of this study on the nursing practice is to provide significant guidelines on administrative planning and development as an effective strategy in designing continuing professional development programs for nurses. Furthermore, it will serve as a reference to different fields of human resource management for the establishment of objectives, policies and procedures in the proper implementation and provision of postgraduate education to different levels of employees. In addition, it will give significant contribution to the progressing body of knowledge in the different entities such as educational and institutional research as a guide for future researchers who will conduct a similar study.
LIMITATIONS
Various hurdles occur within the span of this study. Some important variables that may also influence the pursuit of postgraduate education among nurses were not included in this research. This study only determined the underlying relationship between career growth opportunities and motivation. The researcher conducted the study within boarders as the rules and policies of the organization such as data collection directly from the respondents were not allowed. High levels of effort in coordination with the respective personnel within the organization other than human resource personnel were needed. The respondents were chosen based on the specific criteria needed therefore finding the appropriate participant that engaged in to fill out the survey questionnaire could be an additional hurdle. The allocated time in data gathering was limited to one week to avoid the misplacement of the questionnaire. The period of time when the questionnaires were distributed and collected was a holiday season thus some of the selected respondents were on leave. Another factor that might affect the accuracy of their answers was the respondent’s perception might be different from the researcher. And lastly, the references and the review of literature on two respective variables of this research were limited thus it could be consider as an influential factor.
Figure (1) demonstrates the relationship between career growth opportunities and motivation to pursue postgraduate education. The research model is based on the result findings of various studies cited and reflected on the following theories that support the study: expectancy theory and self-determination theory.
Figure (2) demonstrates the relationship between career growth opportunities and extrinsic motivation to pursue postgraduate education among staff nurses. The research model summarize the result of this study in which staff nurses that perceive high extent of career growth opportunities inside the organization are extrinsically motivated to pursue postgraduate education.
REFERENCES
17. Lunenberg F. Expectancy Theory of Motivation: Motivating by Altering Expectations. 2011; 15.
26. Richardson R. Motivational Orientations of Registered Nurses Who Pursue An Advanced Education. 2011.
29. Toode K, Routasalo P, Suominen T. Work motivation of nurses: A literature review. 2011; 48: 246-257.
32. Vroom VH. Work and motivation. San Francisco, CA: Jossey-Bass. 1964; 331.
39. Wilton N. Chapter 12 Careers and Management. University of the West of England. 2013.
40. Witt C. Continuing Education: A Personal Responsibility Section Editor(s): 2011; 11: 227-228.