Loading

Annals of Pediatrics and Child Health

The Composite Index of Anthropometric Failure: Empirical Applications

Short Communication | Open Access | Volume 12 | Issue 1

  • 1. Institute for International Economic Studies, Stockholm University, Sweden
+ Show More - Show Less
Corresponding Authors
Peter Svedberg, Institute for International Economic Studies, Stockholm University, Sweden
Abstract

Child malnutrition is still one of the most serious problems facing many developing countries in the world. In order to try to come to grips with this problem, I have proposed a measure of child malnutrition, which I dubbed the Composite Index of Anthropometric Failure (CIAF).

CITATION

Svedberg P (2024) The Composite Index of Anthropometric Failure: Empirical Applications. Ann Pediatr Child Health 12(1): 1328.

INTRODUCTION

Child malnutrition is still one of the most serious problems facing many developing countries in the world. In order to try to come to grips with this problem, I have proposed a measure of child malnutrition, which I dubbed the Composite Index of Anthropometric Failure (CIAF). The index is intended to serve two main purposes that previous measures of child malnutrition fail to deliver on. First, the index provides a comprehensive measure of overall prevalence of child anthropometric failure in a country ? or the total burden of child malnutrition. Second, the index can be used to provide sub-measures of impairments that can direct anti-malnutritional interventions more efficiently than conventional measures do.

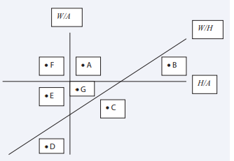
Before detailing these claims, let us start by recapitulating the CIAF model briefly with the help of Figure 1. On the horizontal axis children’s height-for-specific-age is measured and on the vertical axis, weight-for-specific-age. The intersection of these two axes marks the standard anthropometric cut-off points for stunting and underweight. The south-west to north-east diagonal marks the weight-for-height norm; a child with a weight-forheight failure is found below this line (Figure 1).

As we can see from the figure, there are six different categories of child anthropometric failure (we disregard overweight for the time being). Only children in section A do not suffer from any anthropometric failure; they are in a health-consistent condition. Children in sections B (wasted), F (stunted) and G (underweight) respectively, are malnourished in one dimension only (singleburden). Children in areas C and E are malnourished in two dimensions (double-burden). Finally, children in section D are failed in all three dimensions (triple-burden); they are stunted, underweight as well as wasted.

In my original work on the CIAF [1], I did not present any empirical evidence on the extent of child malnutrition as estimated in a real population. I only provided some “guesstimates” on likely orders of magnitude. The first detailed CIAF estimates were provided by Nandy et al. [2], based on data from the Indian NFHS survey (1998-99). Subsequently, Nandy and Svedberg [3], updated the index for India, based on data from NFHS (2005-06), and included obesity as an additional form of child malnutrition. They also provided estimates for seven additional countries.

The estimated CIAF and the sub-categories (A to G), based on two recent Indian NFHS surveys (2005-06 and 2015-16), have been replicated in Table 1.

Table 1: Estimated CIAF failure by category, children 0-5 y. India

CIAF category

Area in Figure 1

2005-06

2015-16

Change

Percent failed

 

No failure

A

38

45

7

Wasted only

B

2

3

1

Stunted only

F

15

13

-2

Underweight only

G

4

6

2

Wasted and underweight

C

7

8

1

Stunted and underweight

E

25

18

-7

Stunted, underweight, wasted

D

9

7

-2

All failure categories

B–G

62

55

-7

Source: Rajpal, S. et al. [4].

First, we see what was claimed above: the prevalence of child malnutrition in India, as measured by the CIAF, is much larger than indicated by any of the single-dimension anthropometric indicators. The highest such indicator, stunting at 13 percent in 2015-16, is only about one-fourth as high as the full CIAF Indicator (at 55 percent). The difference between the estimate based on CIAF, and the other two single-dimension indicators, is even larger. It is important to find that relatively few children suffer from single anthropometric failures, especially underweight and wasting. This suggests that stunting is the underlying explanation why children are underweight and wasted. It is also noteworthy that only 45% of the Indian children aged 0-5 years in 2015-16 are totally free from any form of anthropometric failure.

When it comes to changes over time, there are large differences in levels and rates of change depending on what sub-categories of anthropometric failure we consult. The CIAF index suggests that there has been a decline in overall child malnutrition by 7 percentage points over the 10-year period from 2005-06 to 2015-16. The change in malnutrition according to the three single-dimension indicators is smaller.

CIAF – Indicator of child impairments and guide for interventions

In my opinion, the most important empirical question that the CIAF index can provide answers to, is not the total extent of child malnutrition. It is, in fact, to little surprise that a measure that encompasses three different manifestations of malnutrition produce larger numbers than any single-dimensional indicator. The more important studies are those that show how different sub-indices of CIAF relate to impairments of child health and other dysfunctions.

I will start by showing the main results from one particular study: McDougal et al. [5]. The reason for choosing this study is that its scope is larger and wider than in other related studies, and it is published in one of the top nutritional journals1. The study attempts to estimate the relationship between children’s initial anthropometric failure in different sub-categories and child deaths in a subsequent period (a year).

The measure estimated is the Hazard Ratio (HR) = λ1/ λ2, where λ1 is the risk of premature death of a child in an anthropometric sub-category, say those with triple-burden of failure. That is, those who are simultaneously stunted, underweight, as well as wasted. λ2 is the risk of premature death in the control group, i.e., the children in the same population with no anthropometric failure (category A in Figure 1).

The total prevalence of child anthropometric failure and the CIAF.

Figure 1: The total prevalence of child anthropometric failure and the CIAF.

An estimated HR of 2 hence means that the risk of premature death is twice as high in the target group as in the control group. An estimated HR of 10 means that the risk is 10 times higher in the target group. The main results in terms of estimated Hazard Ratios for the 10 countries in the McDougal et al. study [5], are summarized in Table 2.

Table 2: Estimated Hazard Ratios (HR) in ten developing countries in 1990s.

 

Single failure

Double failure

Double failure

Triple failure

Region

(no of countries)

Stunted, underweight or wasted

Stunted and underweight

Wasted and underweight

Stunted, underweight and wasted

 

HR

HR

HR

HR

 

 

 

 

 

Africa (4)

-

2.55

3.62

6.54

Asia (5)

-

4.08

5.74

18.64

 

 

 

 

 

Pooled

(all 10 countries)1

1.47–2.49

3.36

4.69

12.25

Source: McDougal et al. (2013), based on 53,767 children and 1306 deaths. 1Peru is the tenth country.

The numbers in the right-most column are notable. They tell 

1One of the first studies to show increased prevalence of various child diseases with multiple anthropometric failure, based on the CIAF categories, was Nandy et al (2005).the estimated risk of death in the group of children with triple failure (children in category D in Figure1). In fact, these children are on average 12 times more likely to die within a year than children in the group with no failures. The children with only one failure face a much smaller excess death risk (1.47 to 2.49). There are also marked differences between children in Sub-Saharan Africa and South Asia. The classification of children according to the CIAF index is hence a much more accurate instrument for identifying the children at the most elevated risk of premature death than the traditional single-dimension instruments (stunting, underweight or wasting)2. [7,8]

Why is not CIAF applied for guiding anti-malnutrition interventions?

The hitherto analysis suggests that interventions guided by the sub-indices of the CIAF should improve targeting efficiency. Choosing first the children for the alleviation of malnourishment with a double anthropometric failure (children in category C and E in Figure1), these children face a risk of premature death about three times larger than healthy children in the absence of intervention. If instead, one targets children who with the CIAF measures have a triple-burden anthropometric failure (stunted, underweight and wasted), we have a chance to save children who have a 12-fold risk of dying. These are the numbers suggested by the McDougal et al. [5], study, as cited in Table 2. However, to my knowledge, not a single intervention based on CIAF estimates has been conducted so far. There are at least three possible reasons for the absence of such studies.

One reason is perhaps a widespread lack of knowledge of the large excess death risk facing children with CIAF handicaps, and the ensuing chance of advancing intervention efficiency, i.e., enhancing the survival ratio in the targeted population. The study by McDougal et al., cited above has been published in one of the leading nutritional journals and should have been widely read. There are a dozen other studies with similar results that are also 2There are additional studies that show similar results when it comes to the excess risk of child death. There are also other studies that have used the CIAF classification to estimate risks of other impairments than premature death. Examples are the risks of anemia in pre-school children in West Africa (Magalhäes et al., 2011) and delayed psychomotor development of children in Pakistan (Avan et al., 2015).

published in peer-reviewed international journals3. Moreover, the World Health Organization [6], has so far not published a recommendation to base interventions on the CIAF indicators. It may take time for WHO and other international organizations dealing with child nutrition and health to provide new guidelines, but perhaps better late than never.

A second reason why there are no studies on interventions based on the CIAF indicators is the lack of knowledge of how to best design such interventions. Children suffering from triple-burden anthropometric (or double-burden) failure in many developing countries, probably suffer from both (several) diseases and primary malnutrition in an intertwined and complicated manner. The intervention can in such cases not simply be the provision of energy-dense food. It also requires a thorough medical examination to identify what diseases the individual child suffer from (if possible) and the finding of the most promising remedies. This is, at best, the way severely anthropometrically failed children in advanced and rich countries are treated. This is, however, a very costly and time-consuming intervention.

This fact leads to a third possible explanation for the lack of interventions based on anthropometric CIAF indicators: high economic cost4. In rich Western countries, there are most probably many estimates of the overall costs in terms of money and medical personnel involved in the treatment of severely anthropometrically handicapped children. Such studies should be carefully examined in order to find out what could be learnt for conducting such studies in poor countries with rudimentary health-care systems. It may well be that parts of such treatments can be afforded also in developing countries.

SUMMARY AND CONCLUSION

We have claimed that the CIAF is a more accurate measure of the total extent of child malnutrition than the conventional single-dimension indicators used in most hitherto studies. The index is also a more precise indicator of the mortality and other risks facing children in developing countries. Moreover, the index shows that rather few children suffer from single-burden failures of underweight and wasting. Stunting is the most prevalent form of child malnutrition, which indicates that remedies are more difficult to design than simple weight problems.

The main advantage with anthropometric measures is that the status of children - weight and height - are very easy to measure accurately. An additional advantage is that there is no

3Google Scholar shows that several dozen peer-reviewed studies have been published in which the CIAF index has been estimated. All these studies, from every geographical region in the world, show the same main results. The extent of child overall malnutrition is much larger than conventionally presumed; the burden of child malnutrition is severely underestimated by conventional indicators.

4Another possible reason could be that there are non-anthropometrically based indicators of child malnutrition that should better direct interventions. The main other indicators suggested in the literature are self-reported hunger (mainly from India) and estimates based on food availability (FAO). These measures are blunt methods for estimating the prevalence of malnutrition at the level of large populations but cannot be relied upon for identifying malnutrition in individual children

need for assessing how many units of calories and micronutrients a person consumes or expends for metabolism and physical activity. Anthropometrics simply reflect the (im) balance between intakes and expenditures (as measured by body size). Another advantage is that anthropometric indicators can provide detailed maps of the concentration of malnutrition along age-, gender and geographical lines, important for targeting interventions efficiently. A further advantage is that the anthropometric norms are universal, at least for children below the age of five [6].

This is not, however, to claim that CIAF and anthropometric observations are fault-free indicators that could readily be applied to direct anti-malnutrition interventions. When children suffer from a combination of disease and primary malnutrition, remedies are always very costly. This is probably the chief reason why the CIAF has not been applied for directing intervention.

Svedberg P (2024) The Composite Index of Anthropometric Failure: Empirical Applications. Ann Pediatr Child Health 12(1): 1328.

Received : 05 Dec 2023
Accepted : 04 Jan 2024
Published : 06 Jan 2024
Journals
Annals of Otolaryngology and Rhinology
ISSN : 2379-948X
Launched : 2014
JSM Schizophrenia
Launched : 2016
Journal of Nausea
Launched : 2020
JSM Internal Medicine
Launched : 2016
JSM Hepatitis
Launched : 2016
JSM Oro Facial Surgeries
ISSN : 2578-3211
Launched : 2016
Journal of Human Nutrition and Food Science
ISSN : 2333-6706
Launched : 2013
JSM Regenerative Medicine and Bioengineering
ISSN : 2379-0490
Launched : 2013
JSM Spine
ISSN : 2578-3181
Launched : 2016
Archives of Palliative Care
ISSN : 2573-1165
Launched : 2016
JSM Nutritional Disorders
ISSN : 2578-3203
Launched : 2017
Annals of Neurodegenerative Disorders
ISSN : 2476-2032
Launched : 2016
Journal of Fever
ISSN : 2641-7782
Launched : 2017
JSM Bone Marrow Research
ISSN : 2578-3351
Launched : 2016
JSM Mathematics and Statistics
ISSN : 2578-3173
Launched : 2014
Journal of Autoimmunity and Research
ISSN : 2573-1173
Launched : 2014
JSM Arthritis
ISSN : 2475-9155
Launched : 2016
JSM Head and Neck Cancer-Cases and Reviews
ISSN : 2573-1610
Launched : 2016
JSM General Surgery Cases and Images
ISSN : 2573-1564
Launched : 2016
JSM Anatomy and Physiology
ISSN : 2573-1262
Launched : 2016
JSM Dental Surgery
ISSN : 2573-1548
Launched : 2016
Annals of Emergency Surgery
ISSN : 2573-1017
Launched : 2016
Annals of Mens Health and Wellness
ISSN : 2641-7707
Launched : 2017
Journal of Preventive Medicine and Health Care
ISSN : 2576-0084
Launched : 2018
Journal of Chronic Diseases and Management
ISSN : 2573-1300
Launched : 2016
Annals of Vaccines and Immunization
ISSN : 2378-9379
Launched : 2014
JSM Heart Surgery Cases and Images
ISSN : 2578-3157
Launched : 2016
Annals of Reproductive Medicine and Treatment
ISSN : 2573-1092
Launched : 2016
JSM Brain Science
ISSN : 2573-1289
Launched : 2016
JSM Biomarkers
ISSN : 2578-3815
Launched : 2014
JSM Biology
ISSN : 2475-9392
Launched : 2016
Archives of Stem Cell and Research
ISSN : 2578-3580
Launched : 2014
Annals of Clinical and Medical Microbiology
ISSN : 2578-3629
Launched : 2014
JSM Pediatric Surgery
ISSN : 2578-3149
Launched : 2017
Journal of Memory Disorder and Rehabilitation
ISSN : 2578-319X
Launched : 2016
JSM Tropical Medicine and Research
ISSN : 2578-3165
Launched : 2016
JSM Head and Face Medicine
ISSN : 2578-3793
Launched : 2016
JSM Cardiothoracic Surgery
ISSN : 2573-1297
Launched : 2016
JSM Bone and Joint Diseases
ISSN : 2578-3351
Launched : 2017
JSM Bioavailability and Bioequivalence
ISSN : 2641-7812
Launched : 2017
JSM Atherosclerosis
ISSN : 2573-1270
Launched : 2016
Journal of Genitourinary Disorders
ISSN : 2641-7790
Launched : 2017
Journal of Fractures and Sprains
ISSN : 2578-3831
Launched : 2016
Journal of Autism and Epilepsy
ISSN : 2641-7774
Launched : 2016
Annals of Marine Biology and Research
ISSN : 2573-105X
Launched : 2014
JSM Health Education & Primary Health Care
ISSN : 2578-3777
Launched : 2016
JSM Communication Disorders
ISSN : 2578-3807
Launched : 2016
Annals of Musculoskeletal Disorders
ISSN : 2578-3599
Launched : 2016
Annals of Virology and Research
ISSN : 2573-1122
Launched : 2014
JSM Renal Medicine
ISSN : 2573-1637
Launched : 2016
Journal of Muscle Health
ISSN : 2578-3823
Launched : 2016
JSM Genetics and Genomics
ISSN : 2334-1823
Launched : 2013
JSM Anxiety and Depression
ISSN : 2475-9139
Launched : 2016
Clinical Journal of Heart Diseases
ISSN : 2641-7766
Launched : 2016
Annals of Medicinal Chemistry and Research
ISSN : 2378-9336
Launched : 2014
JSM Pain and Management
ISSN : 2578-3378
Launched : 2016
JSM Women's Health
ISSN : 2578-3696
Launched : 2016
Clinical Research in HIV or AIDS
ISSN : 2374-0094
Launched : 2013
Journal of Endocrinology, Diabetes and Obesity
ISSN : 2333-6692
Launched : 2013
Journal of Substance Abuse and Alcoholism
ISSN : 2373-9363
Launched : 2013
JSM Neurosurgery and Spine
ISSN : 2373-9479
Launched : 2013
Journal of Liver and Clinical Research
ISSN : 2379-0830
Launched : 2014
Journal of Drug Design and Research
ISSN : 2379-089X
Launched : 2014
JSM Clinical Oncology and Research
ISSN : 2373-938X
Launched : 2013
JSM Bioinformatics, Genomics and Proteomics
ISSN : 2576-1102
Launched : 2014
JSM Chemistry
ISSN : 2334-1831
Launched : 2013
Journal of Trauma and Care
ISSN : 2573-1246
Launched : 2014
JSM Surgical Oncology and Research
ISSN : 2578-3688
Launched : 2016
Annals of Food Processing and Preservation
ISSN : 2573-1033
Launched : 2016
Journal of Radiology and Radiation Therapy
ISSN : 2333-7095
Launched : 2013
JSM Physical Medicine and Rehabilitation
ISSN : 2578-3572
Launched : 2016
Annals of Clinical Pathology
ISSN : 2373-9282
Launched : 2013
Annals of Cardiovascular Diseases
ISSN : 2641-7731
Launched : 2016
Journal of Behavior
ISSN : 2576-0076
Launched : 2016
Annals of Clinical and Experimental Metabolism
ISSN : 2572-2492
Launched : 2016
Clinical Research in Infectious Diseases
ISSN : 2379-0636
Launched : 2013
JSM Microbiology
ISSN : 2333-6455
Launched : 2013
Journal of Urology and Research
ISSN : 2379-951X
Launched : 2014
Journal of Family Medicine and Community Health
ISSN : 2379-0547
Launched : 2013
Annals of Pregnancy and Care
ISSN : 2578-336X
Launched : 2017
JSM Cell and Developmental Biology
ISSN : 2379-061X
Launched : 2013
Annals of Aquaculture and Research
ISSN : 2379-0881
Launched : 2014
Clinical Research in Pulmonology
ISSN : 2333-6625
Launched : 2013
Journal of Immunology and Clinical Research
ISSN : 2333-6714
Launched : 2013
Annals of Forensic Research and Analysis
ISSN : 2378-9476
Launched : 2014
JSM Biochemistry and Molecular Biology
ISSN : 2333-7109
Launched : 2013
Annals of Breast Cancer Research
ISSN : 2641-7685
Launched : 2016
Annals of Gerontology and Geriatric Research
ISSN : 2378-9409
Launched : 2014
Journal of Sleep Medicine and Disorders
ISSN : 2379-0822
Launched : 2014
JSM Burns and Trauma
ISSN : 2475-9406
Launched : 2016
Chemical Engineering and Process Techniques
ISSN : 2333-6633
Launched : 2013
Annals of Clinical Cytology and Pathology
ISSN : 2475-9430
Launched : 2014
JSM Allergy and Asthma
ISSN : 2573-1254
Launched : 2016
Journal of Neurological Disorders and Stroke
ISSN : 2334-2307
Launched : 2013
Annals of Sports Medicine and Research
ISSN : 2379-0571
Launched : 2014
JSM Sexual Medicine
ISSN : 2578-3718
Launched : 2016
Annals of Vascular Medicine and Research
ISSN : 2378-9344
Launched : 2014
JSM Biotechnology and Biomedical Engineering
ISSN : 2333-7117
Launched : 2013
Journal of Hematology and Transfusion
ISSN : 2333-6684
Launched : 2013
JSM Environmental Science and Ecology
ISSN : 2333-7141
Launched : 2013
Journal of Cardiology and Clinical Research
ISSN : 2333-6676
Launched : 2013
JSM Nanotechnology and Nanomedicine
ISSN : 2334-1815
Launched : 2013
Journal of Ear, Nose and Throat Disorders
ISSN : 2475-9473
Launched : 2016
JSM Ophthalmology
ISSN : 2333-6447
Launched : 2013
Journal of Pharmacology and Clinical Toxicology
ISSN : 2333-7079
Launched : 2013
Annals of Psychiatry and Mental Health
ISSN : 2374-0124
Launched : 2013
Medical Journal of Obstetrics and Gynecology
ISSN : 2333-6439
Launched : 2013
JSM Clinical Pharmaceutics
ISSN : 2379-9498
Launched : 2014
JSM Foot and Ankle
ISSN : 2475-9112
Launched : 2016
JSM Alzheimer's Disease and Related Dementia
ISSN : 2378-9565
Launched : 2014
Journal of Addiction Medicine and Therapy
ISSN : 2333-665X
Launched : 2013
Journal of Veterinary Medicine and Research
ISSN : 2378-931X
Launched : 2013
Annals of Public Health and Research
ISSN : 2378-9328
Launched : 2014
Annals of Orthopedics and Rheumatology
ISSN : 2373-9290
Launched : 2013
Journal of Clinical Nephrology and Research
ISSN : 2379-0652
Launched : 2014
Annals of Community Medicine and Practice
ISSN : 2475-9465
Launched : 2014
Annals of Biometrics and Biostatistics
ISSN : 2374-0116
Launched : 2013
JSM Clinical Case Reports
ISSN : 2373-9819
Launched : 2013
Journal of Cancer Biology and Research
ISSN : 2373-9436
Launched : 2013
Journal of Surgery and Transplantation Science
ISSN : 2379-0911
Launched : 2013
Journal of Dermatology and Clinical Research
ISSN : 2373-9371
Launched : 2013
JSM Gastroenterology and Hepatology
ISSN : 2373-9487
Launched : 2013
Annals of Nursing and Practice
ISSN : 2379-9501
Launched : 2014
JSM Dentistry
ISSN : 2333-7133
Launched : 2013
Author Information X