Loading

JSM Biotechnology and Biomedical Engineering

Impact of Salinity Stress on Growth Attributes of Some Salt-Sensitive and Tolerant Lines of Mung Bean (Vigna radiata L.)

Original Research | Open Access | Volume 9 | Issue 1

  • 1. Institute of Botany, Bahauddin Zakariya University Multan 60800, Pakistan
  • 2. Department of Botany, Punjab College MianChannu District Khanewal, Pakistan
+ Show More - Show Less
Corresponding Authors
Shehrooz Afzal, Institute of Botany, Bahauddin Zakariya University Multan 60800, Pakistan
Abstract

Soil salinity is distinguished in primary and a secondary salinity. The primary one is a consequence of natural processes of rock disintegration that release soluble salts, such as chlorides of sodium, calcium and magnesium, sulphates and carbonates into water, which are deposited in soil solution through the wind and rain. The most easily transported salt in this process is sodium chloride. This study investigates the impact of salinity stress in salt-sensitive and salt-tolerant cultivars of Vigna radiata, commonly known as mung bean. Experiment was conducted in petri dishes and 120 mM NaCl was applied. The study reveals distinct differences in the salt-sensitive and salt-tolerant lines of V. radiata. Salt-sensitive cultivars exhibited reduction in their shoot & root fresh and dry biomass. In contrast, salt-tolerant lines showed minimum reduction in their biomass (fresh & dry). 07006MB and 08009MB showed slight increase in their fresh and dry shoot biomass under 120mM NaCl. Similarly, root fresh biomass was slightly increased in 07006MB and 14005MB, but dry root biomass was observed maximum in line 14005MB as compared to other lines under 120 mM NaCl. These findings provide valuable insights into the adaptive strategies of salt-tolerant cultivars, offering a basis for targeted breeding programs aimed at enhancing salinity resilience in this economically significant legume. In summary, this research deepens our understanding of the impact of salinity stress on growth pattern of Vigna radiata lines. It lays the groundwork for developing robust crop varieties capable of thriving in saline environments.

Keywords

• Salinity

• Vigna radiate

• Na+

• SFW

• RFW

• SDW

• RDW

CITATION

Afzal S, Samreen F, Salam A, Shafi N, Shabbir S, et al. (2024) Impact of Salinity Stress on Growth Attributes of Some Salt-Sensitive and Tolerant Lines of Mung Bean (Vigna radiata L.). JSM Biotechnol Bioeng 9(1): 1092.

INRODUCTION

Saline salinity simply defined as “When excessive concentration of soluble salts is present in the soil, such type of soil is said to be saline”. These salts are Na, K, Cl, Mg, Ca, and HCO3 etc. Salinity is the major environmental factor limiting plant growth and productivity. Based on the soil map of the world, the total area of saline soil is 397 million hectares (Mha) which is approximately 3.1% of the world’s land area [1]. Pakistan is a predominantly a dry land country with 80 percent of its land falling in arid and semi- arid regions. The salt-affected soils in irrigated and non-irrigated areas of Pakistan are about 6 million hectares. The latest surveys (2001-2003) by SMO, WAPDA indicate that 27 percent soil has surface salinity and 39 percent soil has profile salinity problems in Pakistan [1]. Due to salinity plant productivity decreases which causes a decrease in carbon input to the soil, microbial activity and therefore Soil Inorganic Carbon (SOC) decomposition rates. Historically, using a modified Rothamsted Carbon Model (RothC) it is estimated that world soils that are currently saline have lost an average of 3.47 t SOC ha− 1 since they became saline [2]. The unfavorable impacts of high salt on plants can be seen at the entire plant level as the demise of plants or abatements in profitability. Many plants create components either to prohibit salt from their cells or endure its essence inside the cells. Amid the onset and improvement of salt worry inside a plant all the significant procedures, for example, photosynthesis, protein combination, and vitality and lipid digestion are influenced. The most punctual reaction is a diminishment in the rate of leaf surface extension, trailed by a discontinuance of development as the anxiety strengthens. Salinity inflicting important reduction in crop yield because of soil salinity affects giant areas of the world ‘s land. There are many reports which show that salinity induces water deficient in many crop species such as corn, sunflower, potato, and soybean. Maize belonging to Poaceae family of C4 type is reported as salt susceptible. Salt anxiety emphatically impacts plant development and advancement, particularly maize plants, which are accounted for as salt delicate species [3]. A primary response in salt stressed plants is a decrease in plant water potential, resulting in decreased water use efficiency, leading to the overall toxic damages and yield reduction. Salt stress is also found to impair the cellular electron transport within the different sub cellular compartments and results in generation of ROS [4]. Thus, ROS are called cellular indicators of stresses in addition to secondary messenger actively involved in the strain response signaling pathways. Plants are capable to detoxify ROS by producing-by-producing different types of antioxidants [5]. Mung bean is botanically recognized as Vigna radiata. Mung bean is commonly known as green gram and is widely distributed Asiatic spp. It has diploid number of chromosomes (2n). The genus Vigna include 150 spp are native to India, 16 to South Asia and the largest number of spp are found in Africa. The primary objectives of this study were to observe the impact of salinity stress on some tolerant and sensitive lines of mung bean [6].

RESEARCH METHODOLOGY

The present study was conducted to investigate the influence of salinity on the salt sensitive and tolerant lines of Vigna radiata. The 9 lines of Vigna radiata (07008, A2R106, 08009, 07006, 12007, NM-06, NM-11, 14006, 14005) were collected from Ayub Agricultural Research Institute (AARI), Faisalabad Pakistan. The initial trial took place in Petri dishes within the Botany lab at Punjab College Mian Channu, District Khanewal, for preliminary screening purposes, including germination and seedling assessment. This phase aimed to identify salt-tolerant and salt-sensitive lines of Vigna radiata. The seeds chosen for the experiments were healthy, of regular size, free from blemishes, and exhibited uniform characteristics, ensuring consistency in the experimental setup. Common procedures were followed across all three experiments to maintain methodological coherence.

Screening

The study took place at Punjab College Mian Channu, utilizing 120 Petri plates as experimental units. Each Petri plate accommodated 8 to 10 seeds, and the experimental design followed a completely randomized setup with two treatments: control and saline (with salinity levels of 0 mM &120 mM NaCl). To mitigate evapo-transpiration and prevent dryness, filter paper was employed within the Petri plates. Additionally, Hoagland solution was administered to supply essential nutrients. The germination period spanned 4-6 days

Harvest

The plants were harvested three weeks after sowing. The following stages were undertaken during the harvest process.

Biomass

Plants were harvested and separated into shoots and roots after drying with tissue paper. Then they were surface dried with blotting paper. Their fresh and dry weights were recorded with top load electrical balance. Root and shoot samples were oven dried at 70o C till constant dry weight and their dry weights were measured.

Statistical Analysis

All attribute data underwent a two-way analysis of variance (ANOVA) using statistical software, specifically the COSTAT computer package V6.303 (Cohort Software, Berkeley, USA)

RESULTS

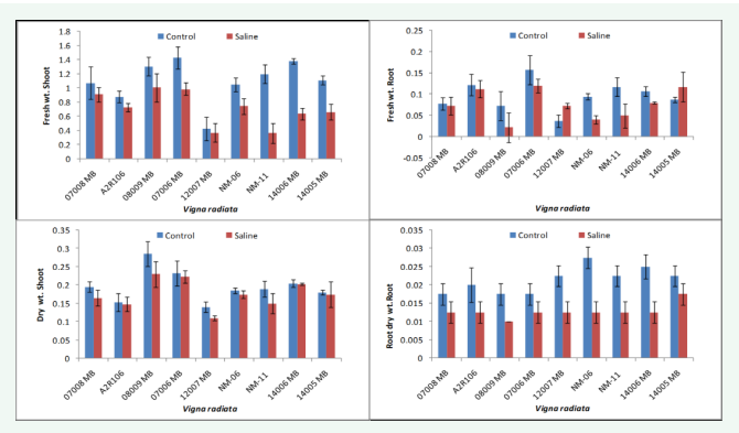
The current research focuses on impact of salinity stress on some tolerant and sensitive lines mung bean. The result showed that fresh and dry biomass (shoot & root) of all the lines of Vigna radiata has significantly (P<0.001) decreased by applying 120 mM NaCl as compared to plants without any salt treatment which showed normal growth and their biomass was high. Lines showed significant difference with each other in their fresh shoot (P<0.001) and root (P<0.01) biomass. No growth was observed at 120 mM NaCl level in the plants of all five lines as compared to control plants. While the lines i-e 07006MB and 08009MB showed slight increase in their fresh and dry shoot biomass under 120mM NaCl. Similarly, root fresh biomass was slightly increased in 07006MB and 14005MB, but dry root biomass was observed maximum in line 14005MB as compared to other lines under 120 mM NaCl as shown in Figure 1 & Table 1.

Shoot & root fresh, dry weight gplant-1 of nine Vigna radiata lines grown under control and various levels of salt (120 mM NaCl) in  petri dishes.

Figure 1: Shoot & root fresh, dry weight gplant-1 of nine Vigna radiata lines grown under control and various levels of salt (120 mM NaCl) in petri dishes.

Table 1: ANOVA (analysis of variance) for the data of shoot and root fresh, dry weight of nine lines grown under control and various levels of salt (120 mM NaCl) in petri dishes.

Source of Variance

df

SFW

RFW

SDW

RDW

Salinity

1

2.622***

0.0011***

0.0042***

20000*

Varieties

8

3.650***

0.0066**

0.0136*

2.638ns

Salinity x Variety

8

0.141***

0.0048ns

0.0022ns

3.750ns

Error

54

0.048

0.0021

0.0015

3.981

Total

71

 

 

 

 

***, **, * = significant at 0.05, 0.01 and 0.001 levels respectively, ns = non-signifiant

DISCUSSION

Plants interact with the environment and any conditions that exceed the limits where plants normally function may impose a stress and limit plant growth and development [7]. Unlike other organisms that can avoid and protect themselves from stressful condition through movement, plants have developed different tolerance or adaptation mechanisms that allow to defend themselves against stressors and support their growth and development [8,9]. Global warming and the ongoing climate change have intensified the incidences of abiotic stressfull conditions for agricultural crops and vegetables in particular which are more susceptible to environmental stressors [1,2,6,5,8-14]. Therefore, there is an urgent need to adopt new or modify the existing cultural practices in order to break out from the vicious circle between modern farming systems and climate change and tolerant or resistant species are ideal for this [1,2,8,13,14]. Soil salinity is distinguished in primary and a secondary salinity. The primary one is a consequence of natural processes of rock disintegration that release soluble salts, such as chlorides of sodium, calcium and magnesium, sulphates and carbonates into water, which are deposited in soil solution through the wind and rain. The most easily transported salt in this process is sodium chloride. On the other hand, secondary salinity is the result of human activities, such as the replacement of perennial crops with annual crops, the use of irrigation water with high concentration in salts and the irrational use of chemical fertilizers which altogether increase soil salinity [15]. About 20% of cultivated land worldwide (1500 million hectares) is salt-affected, while in the Mediterranean basin, water quality has already become a limiting factor for agriculture, due to the excessive use of salt water in coastal areas [11]. The current research focuses on impact of salinity stress on growth attributes of some salt-sensitive and tolerant lines of mung bean. The current studies resulted that shoot, and root fresh, biomass of all mung bean lines was gradually decreased by applying 120 mM NaCl stress as compared to control plants. High levels of salts create a noxious effect on the whole plant which has resulted in a reduction of growth and productivity. Ahmed S, et al. [16] have reported similar findings in lettuce where salinity stress decreased the shoot and root biomass.

CONCLUSION

The overall results declared that the lines i-e 07006MB and 08009MB showed slight increase in their fresh and dry shoot biomass under 120mM NaCl. Similarly, root fresh biomass was slightly increased in 07006MB and 14005MB, but dry root biomass was observed maximum in line 14005MB as compared to other lines under 120 mM NaCl. The lines could be used for further investigation.

Author’s Contribution

Study was designed by SA and FS, Experiments were performed by AS, SS, NS and analysed by MN, IJ, and RA. Manuscript was written by IM, FS and edited by SA.

ACKNOWLEDGMENT

The student of BS and M. Phil Botany thanks to principal Ma’am Aliya Afzal Bodla and coordinator of campus Ma’am Mehvish khan, Lab supervisor Ma’am Aqsa Munir of Punjab group of college Mian Channu campus to provide research environment and utilization of lab for completion of this research.

REFERENCES
  1. Shah AH, Gill KH, Syed NI. Sustainable salinity management for combating desertification in Pakistan. International Journal of Water Resources and Arid Environments. 2011; 1: 312-317.
  2. Setia R, Gottschalk P, Smith P, Marschner P, Baldock J, Setia D, et al. Soil salinity decreases global soil organic carbon stocks. Science of the Total Environment. 2013; 465: 267-272.
  3. Atia A, Debez A, Rabhi M, Barhoumi Z, Haouari CC, Gouia H, et al. Salt tolerance and potential uses for saline agriculture of halophytes from the Poaceae. Sabkha Ecosystems. 2019; 6: 223-237.
  4. Walter J, Jentsch A, Beierkuhnlein C, Kreyling J. Ecological stress memory and cross stress tolerance in plants in the face of climate extremes. Environmental and Experimental Botany. 2013; 94: 3-8.
  5. Kesawat MS, Satheesh N, Kherawat BS, Kumar A, Kim HU, Chung SM, et al. Regulation of reactive oxygen species during salt stress in plants and their crosstalk with other signaling molecules-Current perspectives and future directions. Plants. 2023; 12: 864.
  6. Hou D, Yousaf L, Xue Y, Hu J, Wu J, Hu X, et al. Mung bean (Vigna radiata L.): Bioactive polyphenols, polysaccharides, peptides, and health benefits. Nutrients. 2019; 11: 1238.
  7. Zhu JK. Plant salt tolerance. Trends Plant Sci. 2001; 6: 66-71.
  8. Raza A, Ashraf F, Zou X, Zhang X, Tosif H. Plant adaptation and tolerance to environmental stresses: mechanisms and perspectives. Plant Ecophysiology and Adaptation under Climate Change: Mechanisms and Perspectives I: General Consequences and Plant Responses. 2020; 117-145.
  9. Raza A, Razzaq A, Mehmood SS, Zou X, Zhang X, Lv Y, et al. Impact of climate change on crops adaptation and strategies to tackle its outcome: A review. Plants. 2019; 8: 34.
  10. Comas LH, Trout TJ, DeJonge KC, Zhang H, Gleason SM. Water productivity under strategic growth stage-based deficit irrigation in maize. Agricultural water management. 2019; 212: 433-440.
  11. Petretto GL, Urgeghe PP, Massa D, Melito S. Effect of salinity (NaCl) on plant growth, nutrient content, and glucosinolate hydrolysis products trends in rocket genotypes. Plant Physiology and Biochemistry. 2019; 141: 30-39.
  12. Rosenzweig C, Elliott J, Deryng D, Ruane AC, Müller C, Arneth A, et al. Assessing agricultural risks of climate change in the 21st century in a global gridded crop model intercomparison. P Natl Acad Sci. 2013; 111: 3268-3273.
  13. Stavi I, Thevs N, Priori S. Soil salinity, sodicity in drylands: A review of causes, effects, monitoring, and restoration measures. Frontiers in Environmental Science. 2021; 330.
  14. Unicef. The State of Food Security and Nutrition in the World. 2019.
  15. Zhao S, Zhang Q, Liu M, Zhou H, Ma C, Wang P. Regulation of plant responses to salt stress. Int J Mol Sci. 2021; 22: 4609.
  16. Ahmed S, Ahmed S, Roy SK, Woo SH, Sonawane KD, Shohael AM. Effect of salinity on the morphological, physiological and biochemical properties of lettuce (Lactuca sativa L.) in Bangladesh. Open Agriculture. 2019; 4: 361-373.

Afzal S, Samreen F, Salam A, Shafi N, Shabbir S, et al. (2024) Impact of Salinity Stress on Growth Attributes of Some Salt-Sensitive and Tolerant Lines of Mung Bean (Vigna radiata L.). JSM Biotechnol Bioeng 9(1): 1092

Received : 08 Jan 2024
Accepted : 04 Feb 2024
Published : 08 Feb 2024
Journals
Annals of Otolaryngology and Rhinology
ISSN : 2379-948X
Launched : 2014
JSM Schizophrenia
Launched : 2016
Journal of Nausea
Launched : 2020
JSM Internal Medicine
Launched : 2016
JSM Hepatitis
Launched : 2016
JSM Oro Facial Surgeries
ISSN : 2578-3211
Launched : 2016
Journal of Human Nutrition and Food Science
ISSN : 2333-6706
Launched : 2013
JSM Regenerative Medicine and Bioengineering
ISSN : 2379-0490
Launched : 2013
JSM Spine
ISSN : 2578-3181
Launched : 2016
Archives of Palliative Care
ISSN : 2573-1165
Launched : 2016
JSM Nutritional Disorders
ISSN : 2578-3203
Launched : 2017
Annals of Neurodegenerative Disorders
ISSN : 2476-2032
Launched : 2016
Journal of Fever
ISSN : 2641-7782
Launched : 2017
JSM Bone Marrow Research
ISSN : 2578-3351
Launched : 2016
JSM Mathematics and Statistics
ISSN : 2578-3173
Launched : 2014
Journal of Autoimmunity and Research
ISSN : 2573-1173
Launched : 2014
JSM Arthritis
ISSN : 2475-9155
Launched : 2016
JSM Head and Neck Cancer-Cases and Reviews
ISSN : 2573-1610
Launched : 2016
JSM General Surgery Cases and Images
ISSN : 2573-1564
Launched : 2016
JSM Anatomy and Physiology
ISSN : 2573-1262
Launched : 2016
JSM Dental Surgery
ISSN : 2573-1548
Launched : 2016
Annals of Emergency Surgery
ISSN : 2573-1017
Launched : 2016
Annals of Mens Health and Wellness
ISSN : 2641-7707
Launched : 2017
Journal of Preventive Medicine and Health Care
ISSN : 2576-0084
Launched : 2018
Journal of Chronic Diseases and Management
ISSN : 2573-1300
Launched : 2016
Annals of Vaccines and Immunization
ISSN : 2378-9379
Launched : 2014
JSM Heart Surgery Cases and Images
ISSN : 2578-3157
Launched : 2016
Annals of Reproductive Medicine and Treatment
ISSN : 2573-1092
Launched : 2016
JSM Brain Science
ISSN : 2573-1289
Launched : 2016
JSM Biomarkers
ISSN : 2578-3815
Launched : 2014
JSM Biology
ISSN : 2475-9392
Launched : 2016
Archives of Stem Cell and Research
ISSN : 2578-3580
Launched : 2014
Annals of Clinical and Medical Microbiology
ISSN : 2578-3629
Launched : 2014
JSM Pediatric Surgery
ISSN : 2578-3149
Launched : 2017
Journal of Memory Disorder and Rehabilitation
ISSN : 2578-319X
Launched : 2016
JSM Tropical Medicine and Research
ISSN : 2578-3165
Launched : 2016
JSM Head and Face Medicine
ISSN : 2578-3793
Launched : 2016
JSM Cardiothoracic Surgery
ISSN : 2573-1297
Launched : 2016
JSM Bone and Joint Diseases
ISSN : 2578-3351
Launched : 2017
JSM Bioavailability and Bioequivalence
ISSN : 2641-7812
Launched : 2017
JSM Atherosclerosis
ISSN : 2573-1270
Launched : 2016
Journal of Genitourinary Disorders
ISSN : 2641-7790
Launched : 2017
Journal of Fractures and Sprains
ISSN : 2578-3831
Launched : 2016
Journal of Autism and Epilepsy
ISSN : 2641-7774
Launched : 2016
Annals of Marine Biology and Research
ISSN : 2573-105X
Launched : 2014
JSM Health Education & Primary Health Care
ISSN : 2578-3777
Launched : 2016
JSM Communication Disorders
ISSN : 2578-3807
Launched : 2016
Annals of Musculoskeletal Disorders
ISSN : 2578-3599
Launched : 2016
Annals of Virology and Research
ISSN : 2573-1122
Launched : 2014
JSM Renal Medicine
ISSN : 2573-1637
Launched : 2016
Journal of Muscle Health
ISSN : 2578-3823
Launched : 2016
JSM Genetics and Genomics
ISSN : 2334-1823
Launched : 2013
JSM Anxiety and Depression
ISSN : 2475-9139
Launched : 2016
Clinical Journal of Heart Diseases
ISSN : 2641-7766
Launched : 2016
Annals of Medicinal Chemistry and Research
ISSN : 2378-9336
Launched : 2014
JSM Pain and Management
ISSN : 2578-3378
Launched : 2016
JSM Women's Health
ISSN : 2578-3696
Launched : 2016
Clinical Research in HIV or AIDS
ISSN : 2374-0094
Launched : 2013
Journal of Endocrinology, Diabetes and Obesity
ISSN : 2333-6692
Launched : 2013
Journal of Substance Abuse and Alcoholism
ISSN : 2373-9363
Launched : 2013
JSM Neurosurgery and Spine
ISSN : 2373-9479
Launched : 2013
Journal of Liver and Clinical Research
ISSN : 2379-0830
Launched : 2014
Journal of Drug Design and Research
ISSN : 2379-089X
Launched : 2014
JSM Clinical Oncology and Research
ISSN : 2373-938X
Launched : 2013
JSM Bioinformatics, Genomics and Proteomics
ISSN : 2576-1102
Launched : 2014
JSM Chemistry
ISSN : 2334-1831
Launched : 2013
Journal of Trauma and Care
ISSN : 2573-1246
Launched : 2014
JSM Surgical Oncology and Research
ISSN : 2578-3688
Launched : 2016
Annals of Food Processing and Preservation
ISSN : 2573-1033
Launched : 2016
Journal of Radiology and Radiation Therapy
ISSN : 2333-7095
Launched : 2013
JSM Physical Medicine and Rehabilitation
ISSN : 2578-3572
Launched : 2016
Annals of Clinical Pathology
ISSN : 2373-9282
Launched : 2013
Annals of Cardiovascular Diseases
ISSN : 2641-7731
Launched : 2016
Journal of Behavior
ISSN : 2576-0076
Launched : 2016
Annals of Clinical and Experimental Metabolism
ISSN : 2572-2492
Launched : 2016
Clinical Research in Infectious Diseases
ISSN : 2379-0636
Launched : 2013
JSM Microbiology
ISSN : 2333-6455
Launched : 2013
Journal of Urology and Research
ISSN : 2379-951X
Launched : 2014
Journal of Family Medicine and Community Health
ISSN : 2379-0547
Launched : 2013
Annals of Pregnancy and Care
ISSN : 2578-336X
Launched : 2017
JSM Cell and Developmental Biology
ISSN : 2379-061X
Launched : 2013
Annals of Aquaculture and Research
ISSN : 2379-0881
Launched : 2014
Clinical Research in Pulmonology
ISSN : 2333-6625
Launched : 2013
Journal of Immunology and Clinical Research
ISSN : 2333-6714
Launched : 2013
Annals of Forensic Research and Analysis
ISSN : 2378-9476
Launched : 2014
JSM Biochemistry and Molecular Biology
ISSN : 2333-7109
Launched : 2013
Annals of Breast Cancer Research
ISSN : 2641-7685
Launched : 2016
Annals of Gerontology and Geriatric Research
ISSN : 2378-9409
Launched : 2014
Journal of Sleep Medicine and Disorders
ISSN : 2379-0822
Launched : 2014
JSM Burns and Trauma
ISSN : 2475-9406
Launched : 2016
Chemical Engineering and Process Techniques
ISSN : 2333-6633
Launched : 2013
Annals of Clinical Cytology and Pathology
ISSN : 2475-9430
Launched : 2014
JSM Allergy and Asthma
ISSN : 2573-1254
Launched : 2016
Journal of Neurological Disorders and Stroke
ISSN : 2334-2307
Launched : 2013
Annals of Sports Medicine and Research
ISSN : 2379-0571
Launched : 2014
JSM Sexual Medicine
ISSN : 2578-3718
Launched : 2016
Annals of Vascular Medicine and Research
ISSN : 2378-9344
Launched : 2014
Journal of Hematology and Transfusion
ISSN : 2333-6684
Launched : 2013
JSM Environmental Science and Ecology
ISSN : 2333-7141
Launched : 2013
Journal of Cardiology and Clinical Research
ISSN : 2333-6676
Launched : 2013
JSM Nanotechnology and Nanomedicine
ISSN : 2334-1815
Launched : 2013
Journal of Ear, Nose and Throat Disorders
ISSN : 2475-9473
Launched : 2016
JSM Ophthalmology
ISSN : 2333-6447
Launched : 2013
Journal of Pharmacology and Clinical Toxicology
ISSN : 2333-7079
Launched : 2013
Annals of Psychiatry and Mental Health
ISSN : 2374-0124
Launched : 2013
Medical Journal of Obstetrics and Gynecology
ISSN : 2333-6439
Launched : 2013
Annals of Pediatrics and Child Health
ISSN : 2373-9312
Launched : 2013
JSM Clinical Pharmaceutics
ISSN : 2379-9498
Launched : 2014
JSM Foot and Ankle
ISSN : 2475-9112
Launched : 2016
JSM Alzheimer's Disease and Related Dementia
ISSN : 2378-9565
Launched : 2014
Journal of Addiction Medicine and Therapy
ISSN : 2333-665X
Launched : 2013
Journal of Veterinary Medicine and Research
ISSN : 2378-931X
Launched : 2013
Annals of Public Health and Research
ISSN : 2378-9328
Launched : 2014
Annals of Orthopedics and Rheumatology
ISSN : 2373-9290
Launched : 2013
Journal of Clinical Nephrology and Research
ISSN : 2379-0652
Launched : 2014
Annals of Community Medicine and Practice
ISSN : 2475-9465
Launched : 2014
Annals of Biometrics and Biostatistics
ISSN : 2374-0116
Launched : 2013
JSM Clinical Case Reports
ISSN : 2373-9819
Launched : 2013
Journal of Cancer Biology and Research
ISSN : 2373-9436
Launched : 2013
Journal of Surgery and Transplantation Science
ISSN : 2379-0911
Launched : 2013
Journal of Dermatology and Clinical Research
ISSN : 2373-9371
Launched : 2013
JSM Gastroenterology and Hepatology
ISSN : 2373-9487
Launched : 2013
Annals of Nursing and Practice
ISSN : 2379-9501
Launched : 2014
JSM Dentistry
ISSN : 2333-7133
Launched : 2013
Author Information X