Loading

Journal of Substance Abuse and Alcoholism

Comparison of Breath and Blood Alcohol Concentrations in a Controlled Drinking Study

Research Article | Open Access | Volume 3 | Issue 2

  • 1. Department of Internal Medicine, University of Split, School of Medicine, Croatia
  • 2. Department of Pharmacology, University of Split, School of Medicine, Croatia
  • 3. PhD Student, University of Split, School of Medicine, Croatia
  • 4. 4 Department of Pathology and Forensic Medicine, University Hospital Centre Split, Croatia
  • 5. Department of Forensic Medicine, University of Split, School of Medicine, Croatia
+ Show More - Show Less
Corresponding Authors
Domagoj Markovic, PhD Student, University of Split, School of Medicine, 21000, Split, Split, Croatia Tel: 00385911871771
ABSTRACT

In the research of influence of alcohol on the mental and physical state of the body alcohol concentration in the blood plays an important role which must be properly defined. Therefore, the aim of our study was to examine breath and blood alcohol concentration in ten young, healthy, non-smoker male volunteers after consuming a red wine, containing 13 vol % of alcohol. Red wine (3 ml/kg) was consumed in the morning, after an overnight fast. Breath alcohol concentration (BrAC) and blood alcohol concentration (BAC) were determined before (baseline) and 15, 30, 45, 60, 90, 120, 150 and 240 min after beverage consumption. BAC was determined by headspace gas chromatography and BrAC was determined with Alcotest Dräger 6810 instrument. The concentration time profiles of alcohol in blood and breath following wine intake, poorly matched. Results show that the averages BrAC are significantly higher than average BAC in 15 min, 30 min and 45 min after beverage consumption. One hour after beverage consumption there were not statistically significant difference between BrAC and BAC measures. These results indicate that factual blood alcohol concentration and related expert toxicological decision based solely on the results obtained from breath analyzer might not be correct.

KEYWORDS

• Breath alcohol concentration
• Blood alcohol concentration
• Ethanol pharmacokinetics
• Dräger alcotest

CITATION

Vukovic J, Modun D, Markovic D, Sutlovic D (2015) Comparison of Breath and Blood Alcohol Concentrations in a Controlled Drinking Study. J Subst Abuse Alcohol 3(2): 1029.

INTRODUCTION

Breath alcohol (ethanol) measurement is widely used in law enforcement as an evidence for prosecution of drunk drivers. It represents an indirect and non-invasive way of estimating an individual’s blood alcohol concentration (BAC) [1-4]. Such breath-testing eliminates the need for taking blood samples, it can be used at the roadside and the result is immediately available for police officers to charge the suspect on the scene without delay [5,6]. Legal systems that use breath alcohol concentration for detecting drinking drivers do not attempt to relate the breath alcohol level to the blood alcohol level, but declare the offence solely on the basis of exceeding certain level in the breath [7].

Many studies have been performed on the variables, which affect absorption, distribution and elimination of alcohol. Some of these studies involved measurement of breath alcohol concentration (BrAC) since this is the primary evidential specimen, its measurement is less invasive than blood sampling and it is thought to correlate well with blood alcohol concentration (BAC) [8-12].

Several studies have shown high correlations (r = 0.95 - 0.98) between the concentrations of alcohol determined in blood and breath when specimens are taken nearly simultaneously [13,14]. Consequence, forensic toxicologists may retrogradely calculate BAC corresponding to the exact time of an accident using only the BrAC values determined with Dräger’s analyzer as the input data.

Breath-analysis with alcometer gives an estimate of BAC by the use of a breath-to-blood conversion factor known as the blood/breath ratio. This blood/breath factor was used to calibrate the breath-analyzers and a value of 2100:1 became generally accepted for legal purposes to produce readings directly in BAC units [6,14].

However, due to significant inter- and intra-individual variations in the rate of alcohol absorption and elimination the reliability of this conversion has been challenged [15]. Several studies showed that the BAC/BrAC ratios might vary between absorptive, distributive and eliminative stages of alcohol metabolism. [15-17] shortly after drinking, during the absorption phase, BAC/BrAC ratios tended to be less than 2100:1. Numerous investigations have been carried out with regard to the BAC/ BrAC ratios [16]. Furthermore, there are many conditions that may influence BrAC to BAC conversion. For example, lower hematocrite level may influence BrAC resulting in the error range from -2 to +5%. An elevation in body temperature of 1°C results in 7% higher BrAC level. Physical activity and hyperventilation decrease BrAC levels up to 25%. Lower atmospheric temperature changes the levels of water that condenses in expired air and can also give falsely lower BrAC [1,2,18,19].

Kovacic et al. shown that BrAC and BAC calculated to the time of breath alcotest, were not within 95% predicament range in 30 out of 570 individuals (5.3%) [19]. Also, limited information exists on the alcohol kinetics when analyzed from series of blood and breath samples [13].

Therefore, in the present study we determined and compared breath and blood alcohol concentrations in the series of blood and breath samples, after consumption of red wine, following an overnight fast.

MATERIALS AND METHODS

The study was conducted in accordance with the Declaration of Helsinki and approved by the Ethics Committee of the University of Split, School of Medicine. All subjects signed a written consent prior to their participation in the study. Ten healthy male volunteers, aged 20 to 35 years (mean body mass index of 24.2±1.8 kg/m2 ) were normolipidemic, nonsmokers, taking no medications and had no history of alcohol abuse. Subjects were asked to abstain from exercise, fruits, vegetables, dietary supplements, tea, alcoholic beverages and caffeine- or theobromine-containing foods for 24 h before experiment. After an overnight fast, the subjects consumed 3 mL/kg body wt red wine.

Breath alcohol concentration was measured before and 15, 30, 45, 60, 90, 120, 150 and 240 min after beverage consumption. For each time point two independent breath samples were taken within 1 min and blood-samples were collected. A venous cannula (22G) was inserted into large subcutaneous vein in the left antecubital fossa to allow blood sampling.

Measures

Wine: Red wine (Vinagra, vintage 2005, 13% v/v alcohol) was provided by the Bric winery, Slovenia.

Blood alcohol concentration measurements: Blood alcohol (ethanol) concentration was measured by Shimadzu 2010 gas chromatography with headspace and flame ionization detector (FID). Headspace conditions: thermostatting 12 min at 75°C with rotation speed 500 rpm, needle transfer temperature 95°C. Ultra–pure grade helium was used as the carrier gas at a flow rate of 11.70 ml/min. The chromatographic column was RTX–BAC2 (Fused Silica, 30m, and 0.53mm i.d, with a film thick 0.20μm). Injection temperature was 200ºC, column conditions 3 min at 60°C, FID 200°C.

Breathe alcohol concentration measurements: A measure of breath alcohol concentration was carried out with a calibrated electrochemical system, Dräger Alcotest 6810 (Draeger Safety Pacific Pty. Australia).

Preparation of blood samples: Blood samples were collected into blood collection system with citrate buffer 9NC (PFA), (Monovette, Sarstedt, Germany). Sample preparation involved a mixture of 300μL sample and 1000μL of t-butanol as internal standard into headspace vial. All solvents and chemicals were analytical-grade-purity products of Merck Darmstadt, Germany).

Statistical analysis

Statistica 10™ software package (StatSoft, Inc., Tulsa, USA) was used to perform statistical analysis of the data. Repeated measures analysis of variance (rmANOVA) was used to determine if there were any differences between the means of post-drink time conditions. Bland-Altman plot was used to calculate bias and imprecision between the measurements of alcohol in blood and breathe [20-22].

We used Bonferroni test for post hoc analysis. Statistical values were considered significant at 99% (p<0.01).

RESULTS AND DISCUSSION

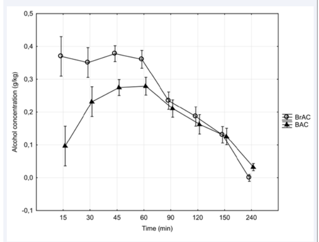
For each volunteer BrAC and BAC measurements were obtained and average values were plotted on the figure (Figure 1). Average maximum values of BAC after consuming red wine were 0.28 g/kg respectively while BrAC values were 0.41 g/kg.

Comparative means plot (vertical bars denote 0.95  confidence intervals) of ethanol in blood (BAC) and end-expired  breath (BrAC) for ten volunteer subjects who drank a red wine with  0.31 g of alcohol per kg body weight.

Figure 1: Comparative means plot (vertical bars denote 0.95 confidence intervals) of ethanol in blood (BAC) and end-expired breath (BrAC) for ten volunteer subjects who drank a red wine with 0.31 g of alcohol per kg body weight.

The repeated measures ANOVA shows that difference in BrAC between 15, 30, 45, 60, 90, 120, 150 and 240 min after beverage consumption condition are statistically significant, F(8,10) = 88.33, p < .001, η2 = 0.91. Post hoc analyses using the Bonferroni Post Hoc test criterion for significance shows that differences between the averages of BrAC measurements in 15, 30, 45 and 60 min after beverage consumption did not significantly significant, p > 0.05.

The repeated measures ANOVA shows that difference in BAC between 15, 30, 45, 60, 90, 120, 150 and 240 min after beverage consumption condition are statistically significant, F(8, 10) = 117.62, p < .001, η2 = 0.93.

ANOVA shows that difference between BrAC and BAC measurements are statistically significant, F(1,18) = 33.95, p < .001, η2 = 0.65. Post hoc analyses using the Bonferroni Post Hoc test criterion for significance shows that the average BrAC is significantly higher, p < 0.01, than average BAC in 15 min, 30 min and 45 min after beverage consumption. One hour after beverage consumption there were not statistically significant difference between BrAC and BAC measures.

In (Figure 1) the regression relationship was BrAC = 0.505×BAC + 0.040. The slope (0.505 ± 0.136) differed significantly from unity (95% CI were 0.184 - 0.826) and the intercept (0.04 ± 0.04) did not differ significantly from zero (95% CI were -0.049 - 0.129), indicating the presence of a proportional bias.

In the absorption phase the mean bias (BrAC-BAC) was 0.141 ± 0.105 g/kg and the 95% limits of agreement from -0.065 to 0.346 g/kg. However, in the elimination phase the mean bias (BrACBAC) was 0.005 ± 0.030 g/kg and the 95% limits of agreement from -0.054 to 0.065 g/kg by Bland - Altman plot (Figure 2).

Bland-Altman plots of individual differences (BrAC-BAC)  against mean (BrAC+BAC]/2), in the absorption and elimination  phase.

Figure 2: Bland-Altman plots of individual differences (BrAC-BAC) against mean (BrAC+BAC]/2), in the absorption and elimination phase.

In (Figure 2) elimination rate β60, was calculated according to the Widmark’s equation [23]: CBAC t1 = CBAC t2 + ß ?t, where β represents an alcohol elimination factor (g/kg/h), CBAC represents blood alcohol concentration at different times (g/kg) and ?t equals the time, in hours, elapsed between two blood samplings. The elimination rates β60, which can be used for minimum and maximum back calculations for the BAC.

DISCUSSION

Using the Dräger Alcotest 6810breath analyzer in volunteers ingesting a moderate dose of alcoholic drinks (0.31 g/kg of ethanol was ingested in the morning after an overnight fast), we tried to define correlation between their BrAC and BAC. The main finding from this study was a significantly higher BrAC than BAC after drinking red wine. In the absorption phase, BrACs were always higher than BACs when determined with the Alcotest. Our results are in accordance with previous reports [24,25], where it was suggested that BrAC could be higher than alcohol concentration in peripheral venous blood (BAC), due to two facts: 1) during the absorption phase the alcohol concentration in arterial blood is higher than in venous blood, and 2) end-expiratory air (substrate for BrAC) equilibrates with the pulmonary arterial blood. [26]

In many countries before BrAC measurements can be legally performed, a waiting time of 15 minutes must be observed whilst our results show that 15 minutes between consumption of alcoholic beverage and BrAC measurement is not enough time to make the BrAC results reliable, if the alcoholic beverage was consumed on an empty stomach. [27]

Figures 1 and 2 shows that BrAC and BAC values for all subjects have reached matching values only 90 minutes after alcohol intake (elimination phase). There are a number of possible explanations for this phenomenon. If alcohol is consumed on an empty stomach it can cause spasm of the pyloric sphincter, thus keeping the alcohol in the stomach for longer and retrogradly elevating breath alcohol levels. This phenomenon is largely related to gastric emptying. [28] On the other side, drinking ethanol with or after a meal not only decreases peak in BAC, but it also decreases alcohol’s total bioavailability. Also, the amount of sugar in an ethanol-containing beverage can slow ethanol absorption by slowing gastric emptying. [29] Several other variables further complicate an individual’s ethanol absorption rate. The slight deviation in the relationship between BrAC and BAC in the absorption phase, lasting for approximately 90 min, may also be caused by a fast redistribution of alcohol between different body compartments. This redistribution may be influenced by fraction of water in the blood and/or the measured BrAC [30,31]. This kinetic energy produces the distribution force, which governs the diffusion equilibration of alcohol with other biological fluids including the air spaces of the alveoli. [32] At equilibrium the average kinetic energy of alcohol is the same in all compartments, but the concentration of alcohol differs, since it depends on the solubility of alcohol in a particular compartment.

Matching airflow with blood flow is critical for normal gas exchange and requires a delicate balance between the blood and air distribution systems. [33] The physiological basis of the breath alcohol test depends on the continuous equilibration of alcohol between the pulmonary capillary blood and the alveolar air. [34] Breath alcohol testing relies on the fact that alveolar alcohol concentration can be measured in the expired air. It is believed that the partial pressure of alcohol in the alveoli corresponds to alcohol concentration in arterial blood, which in turn reflects the brain alcohol concentration at equilibrium. This equilibration of alcohol between arterial blood and the brain tissue is likely to occur rapidly, since the brain receives a large cardiac output. [35-38] Average velocities of alcohol molecules and alcohol concentrations vary between compartments and depend on liposolubility of alcohol. Volatile substances, such as alcohol, are highly soluble in water, and do not bind with plasma proteins, all of which makes it suitable for analysis in bodily fluids and exhaled air. Distribution of alcohol in the body is proportional to water content in the tissue. [39]

Many studies showed high correlations between the concentrations of ethanol determined in blood and breathe when specimens are taken nearly simultaneously. Much less information exists about the pharmacokinetics of ethanol derived from analyzing a series of breath samples. [13,14] In forensic casework, it is sometimes necessary to make forward or retrograde extrapolations of a suspect’s blood- or breath- alcohol concentration, e.g. from the time of sampling back to the time of driving. [40,41]

CONCLUSION

The use of results obtained with an alcometer without confirmation of alcohol levels through blood testing, is not acceptable in court processes, even if the breath was tested shortly after the accident or any other legal offence. Unique and reliable correlation factor for comparing the BrAC and BAC which would possibly determine BAC using solely BrAC, has been not found. Legal classification of being under the influence of alcohol refers to blood alcohol concentration, not breathe alcohol concentration.

The results indicate that conclusions on the factual blood alcohol concentration and related expert toxicological decision based solely on the results obtained from Dräger Alcotest breath analyser might not be correct.

As the number of subjects participating in this comparative study was rather small, there is a need for future studies, with larger sample size and other co-factors tested (e.g. influence of food) in order to fully elucidate the comparability between blood alcohol concentration and breath alcohol concentration (utilizing this particulate measuring device).

ACKNOWLEDGEMENTS

This work was supported by Grant 216-2160547-0537 from the Ministry of Science, Education and Sports of the Republic of Croatia. We thank Mrs. Antonela Sliskovic and Mrs. Tanja Viskovic for their technical assistance.

REFERENCES

1. Haffner HT, Graw M, Dettling A Schmitt G, Schuff A. Concentration dependency of the BAC/BrAC (blood alcohol concentration/breath alcohol concentration) conversion factor during the linear elimination phase. Int J Legal Med. 2003; 117:276–81.

2. Jones AW, Beylich KM, Bjørneboe A, Ingum J, Mørland J. Measuring ethanol in blood and breath for legal purposes: variability between laboratories and between breath-test instruments. Clin Chem. 1992; 38: 743-747.

3. Jones AW. Enforcement of drink-driving laws by use “per se” legal limits: Blood and/or breath concentrations as evidence impairment. Alc Drug Driv. 1988; 4: 99-112.

4. Lovell WS. Breath tests for determining alcohol in the blood. Science. 1972; 178: 264-272.

5. Bergman C, Berglund L, Andersson L, et al. Ten years experience of breath-alcohol testing in Sweden. Presented at the Proceedings of the 13th International Conference on Alcohol, Drugs and Traffic Safety, Stockholm; 2000.

6. Jones AW. Medicolegal alcohol determinations—blood or breath-alcohol concentrations. Forensic Sci Rev. 2000; 12:24–47.

7. Karch S, Jones R. Simpson’s Forensic Medicine, London, UK: CRC Press; 2003.

8. Cortot A, Jobin G, Ducrot F, Aymes C, Giraudeaux V, Modigliani R. Gastric emptying and gastrointestinal absorption of alcohol ingested with a meal. Dig Dis Sci. 1986; 31: 343-348.

9. Jones AW, Jönsson KA. Food-induced lowering of blood-ethanol profiles and increased rate of elimination immediately after a meal. J Forensic Sci. 1994; 39: 1084-1093.

10. Jones AW, Neri A. Evaluation of blood–ethanol profiles after consumption of alcohol together with a large meal. Can Soc Forensic Sci J. 1991; 24:165–173.

11. Shultz J, Weiner H, Westcott J. Retardation of ethanol absorption by food in the stomach. J Stud Alcohol. 1980; 41: 861-870.

12. Watkins RL, Adler EV. The effect of food on alcohol absorption and elimination patterns. J Forensic Sci. 1993; 38: 285-291.

13. Harding PM, Laessig RH, Field PH. Field performance of the Intoxilyzer 5000: a comparison of blood- and breath-alcohol results in Wisconsin drivers. J Forensic Sci. 1990; 35: 1022-1028.

14. Jones AW. Measuring alcohol in blood and breath for forensic purposes -- a historical review. Forensic Sci Rev. 2000; 12:151–182.

15. Jones AW, Andersson L. Variability of the blood/breath alcohol ratio in drinking drivers. J Forensic Sci. 1996; 41: 916-921.

16. Jones AW. Variability of the blood: breath alcohol ratio in vivo. J Stud Alcohol. 1978; 39: 1931-1939.

17. Jones AW. Dilemma of a constant blood/breath ratio of ethanol in chemical test evidence of intoxication Presented at the Proceedings of the 11th International Conference on Alcohol, Drugs and Traffic Safety, Chicago: National Safety Council. 1990; 237–244.

18. Dubowski KM, Oneill B. Blood-Breath Ratio of Ethanol. Clin Chem. 1979; 25: 1144–1144.

19. Kovacic Z, Nestic M, Stemberga V, Bosnar A, Petrovecki M, Sutlovic D. Reliability of breath alcohol testing with Dräger Alcotest 7410Plus analyzer in a court process. Med Jadertina. 2008; 1-2: 47–51.

20. Altman D, Bland J. Measurement in Medicine: The Analysis of Method Comparison Studies. J Roy Stat Soc. Series D (The Statistician). 1983; 32: 307–317.

21. Bland JM, Altman DG. Statistical methods for assessing agreement between two methods of clinical measurement. Lancet. 1986; 1: 307– 310.

22. Bland JM, Altman DG. Measuring agreement in method comparison studies. Stat Methods Med Res. 1999; 8: 135-160.

23. von Burg R. Widmark, Principles and applications of medicolegal alcohol determination translated from the original publication in 1932 by R. C. Baselt. Biomedical Publications, Davis California, 166 pp. J App Toxicol. 1982; 2 :1-4.

24. Jones AW. Concerning accuracy and precision of breath-alcohol measurements. Clin Chem. 1987; 33: 1701-1706.

25. Jones AW. Reliability of breath-alcohol measurements during the absorption phase. Clin Chem. 1987; 33: 2128-2130.

26. Lindberg L, Brauer S, Wollmer P, Goldberg L, Jones AW, Olsson SG. Breath alcohol concentration determined with a new analyzer using free exhalation predicts almost precisely the arterial blood alcohol concentration. Forensic Sci Int. 2007; 168: 200–207.

27. Pavlic M, Grubwieser P, Brandstätter A, Libiseller K, Rabl W. A study concerning the blood/breath alcohol conversion factor Q: concentration dependency and its applicability in daily routine. Forensic Sci Int. 2006; 158: 149-156.

28. Pizon AF, Becker CE, Bikin D. The clinical significance of variations in ethanol toxicokinetics. J Med Toxicol. 2007; 3: 63-72.

29. Schwartz JG, Salman UA, McMahan CA, Phillips WT. Gastric emptying of beer in Mexican-Americans compared with non-Hispanic whites. Metabolism. 1996; 45: 1174-1178.

30. Eisenhofer G, Johnson RH. Effect of ethanol ingestion on plasma vasopressin and water balance in humans. Am J Physiol. 1982; 242: R522-527.

31. Glasser L, Sternglanz PD, Combie J, Robinson A. Serum osmolality and its applicability to drug overdose. Am J Clin Pathol. 1973; 60: 695-699.

32. Jones AW. Determination of liquid/air partition coefficients for dilute solutions of ethanol in water, whole blood, and plasma. J Anal Toxicol. 1983; 7: 193-197.

33. Sisson JH. Alcohol and airways function in health and disease. Alcohol. 2007; 41: 293-307.

34. Opdam JJ, Smolders JF. Alveolar sampling and fast kinetics of tetrachloroethene in man. I. Alveolar sampling. Br J Ind Med. 1986; 43: 814-824.

35. Chiou WL. The phenomenon and rationale of marked dependence of drug concentration on blood sampling site. Implications in pharmacokinetics, pharmacodynamics, toxicology and therapeutics (Part II). Clin Pharmacokinet. 1989; 17: 275–290.

36. Harger RN, Forney RB, Baker RS. Estimation of the level of blood alcohol from analysis of breath. II. Use of rebreathed air. Q J Stud Alcohol. 1956; 17: 1-18.

37. Mason MF, Dubowski KM. Breath-alcohol analysis: uses, methods, and some forensic problems--review and opinion. J Forensic Sci. 1976; 21: 9-41.

38. Sedman AJ, Wilkinson PK, Wagner JG. Concentrations of ethanol in two segments of the vascular system. J Forensic Sci. 1976; 21: 315-322.

39. Gubala W, Zuba D. Saliva as an alternative specimen for alcohol determination in the human body. Pol J Pharmacol. 2002; 54: 161-165.

40. Dossett JA. Breath tests, blood tests and back calculation. The Law Society Gazette. 1987; 2925–2927.

41. Stowell AR, Stowell LI. Estimation of blood alcohol concentrations after social drinking. J Forensic Sci. 1998; 43: 14-21.

Vukovic J, Modun D, Markovic D, Sutlovic D (2015) Comparison of Breath and Blood Alcohol Concentrations in a Controlled Drinking Study. J Subst Abuse Alcohol 3(2): 1029.

Received : 18 Dec 2014
Accepted : 09 Feb 2015
Published : 11 Feb 2015
Journals
Annals of Otolaryngology and Rhinology
ISSN : 2379-948X
Launched : 2014
JSM Schizophrenia
Launched : 2016
Journal of Nausea
Launched : 2020
JSM Internal Medicine
Launched : 2016
JSM Hepatitis
Launched : 2016
JSM Oro Facial Surgeries
ISSN : 2578-3211
Launched : 2016
Journal of Human Nutrition and Food Science
ISSN : 2333-6706
Launched : 2013
JSM Regenerative Medicine and Bioengineering
ISSN : 2379-0490
Launched : 2013
JSM Spine
ISSN : 2578-3181
Launched : 2016
Archives of Palliative Care
ISSN : 2573-1165
Launched : 2016
JSM Nutritional Disorders
ISSN : 2578-3203
Launched : 2017
Annals of Neurodegenerative Disorders
ISSN : 2476-2032
Launched : 2016
Journal of Fever
ISSN : 2641-7782
Launched : 2017
JSM Bone Marrow Research
ISSN : 2578-3351
Launched : 2016
JSM Mathematics and Statistics
ISSN : 2578-3173
Launched : 2014
Journal of Autoimmunity and Research
ISSN : 2573-1173
Launched : 2014
JSM Arthritis
ISSN : 2475-9155
Launched : 2016
JSM Head and Neck Cancer-Cases and Reviews
ISSN : 2573-1610
Launched : 2016
JSM General Surgery Cases and Images
ISSN : 2573-1564
Launched : 2016
JSM Anatomy and Physiology
ISSN : 2573-1262
Launched : 2016
JSM Dental Surgery
ISSN : 2573-1548
Launched : 2016
Annals of Emergency Surgery
ISSN : 2573-1017
Launched : 2016
Annals of Mens Health and Wellness
ISSN : 2641-7707
Launched : 2017
Journal of Preventive Medicine and Health Care
ISSN : 2576-0084
Launched : 2018
Journal of Chronic Diseases and Management
ISSN : 2573-1300
Launched : 2016
Annals of Vaccines and Immunization
ISSN : 2378-9379
Launched : 2014
JSM Heart Surgery Cases and Images
ISSN : 2578-3157
Launched : 2016
Annals of Reproductive Medicine and Treatment
ISSN : 2573-1092
Launched : 2016
JSM Brain Science
ISSN : 2573-1289
Launched : 2016
JSM Biomarkers
ISSN : 2578-3815
Launched : 2014
JSM Biology
ISSN : 2475-9392
Launched : 2016
Archives of Stem Cell and Research
ISSN : 2578-3580
Launched : 2014
Annals of Clinical and Medical Microbiology
ISSN : 2578-3629
Launched : 2014
JSM Pediatric Surgery
ISSN : 2578-3149
Launched : 2017
Journal of Memory Disorder and Rehabilitation
ISSN : 2578-319X
Launched : 2016
JSM Tropical Medicine and Research
ISSN : 2578-3165
Launched : 2016
JSM Head and Face Medicine
ISSN : 2578-3793
Launched : 2016
JSM Cardiothoracic Surgery
ISSN : 2573-1297
Launched : 2016
JSM Bone and Joint Diseases
ISSN : 2578-3351
Launched : 2017
JSM Bioavailability and Bioequivalence
ISSN : 2641-7812
Launched : 2017
JSM Atherosclerosis
ISSN : 2573-1270
Launched : 2016
Journal of Genitourinary Disorders
ISSN : 2641-7790
Launched : 2017
Journal of Fractures and Sprains
ISSN : 2578-3831
Launched : 2016
Journal of Autism and Epilepsy
ISSN : 2641-7774
Launched : 2016
Annals of Marine Biology and Research
ISSN : 2573-105X
Launched : 2014
JSM Health Education & Primary Health Care
ISSN : 2578-3777
Launched : 2016
JSM Communication Disorders
ISSN : 2578-3807
Launched : 2016
Annals of Musculoskeletal Disorders
ISSN : 2578-3599
Launched : 2016
Annals of Virology and Research
ISSN : 2573-1122
Launched : 2014
JSM Renal Medicine
ISSN : 2573-1637
Launched : 2016
Journal of Muscle Health
ISSN : 2578-3823
Launched : 2016
JSM Genetics and Genomics
ISSN : 2334-1823
Launched : 2013
JSM Anxiety and Depression
ISSN : 2475-9139
Launched : 2016
Clinical Journal of Heart Diseases
ISSN : 2641-7766
Launched : 2016
Annals of Medicinal Chemistry and Research
ISSN : 2378-9336
Launched : 2014
JSM Pain and Management
ISSN : 2578-3378
Launched : 2016
JSM Women's Health
ISSN : 2578-3696
Launched : 2016
Clinical Research in HIV or AIDS
ISSN : 2374-0094
Launched : 2013
Journal of Endocrinology, Diabetes and Obesity
ISSN : 2333-6692
Launched : 2013
JSM Neurosurgery and Spine
ISSN : 2373-9479
Launched : 2013
Journal of Liver and Clinical Research
ISSN : 2379-0830
Launched : 2014
Journal of Drug Design and Research
ISSN : 2379-089X
Launched : 2014
JSM Clinical Oncology and Research
ISSN : 2373-938X
Launched : 2013
JSM Bioinformatics, Genomics and Proteomics
ISSN : 2576-1102
Launched : 2014
JSM Chemistry
ISSN : 2334-1831
Launched : 2013
Journal of Trauma and Care
ISSN : 2573-1246
Launched : 2014
JSM Surgical Oncology and Research
ISSN : 2578-3688
Launched : 2016
Annals of Food Processing and Preservation
ISSN : 2573-1033
Launched : 2016
Journal of Radiology and Radiation Therapy
ISSN : 2333-7095
Launched : 2013
JSM Physical Medicine and Rehabilitation
ISSN : 2578-3572
Launched : 2016
Annals of Clinical Pathology
ISSN : 2373-9282
Launched : 2013
Annals of Cardiovascular Diseases
ISSN : 2641-7731
Launched : 2016
Journal of Behavior
ISSN : 2576-0076
Launched : 2016
Annals of Clinical and Experimental Metabolism
ISSN : 2572-2492
Launched : 2016
Clinical Research in Infectious Diseases
ISSN : 2379-0636
Launched : 2013
JSM Microbiology
ISSN : 2333-6455
Launched : 2013
Journal of Urology and Research
ISSN : 2379-951X
Launched : 2014
Journal of Family Medicine and Community Health
ISSN : 2379-0547
Launched : 2013
Annals of Pregnancy and Care
ISSN : 2578-336X
Launched : 2017
JSM Cell and Developmental Biology
ISSN : 2379-061X
Launched : 2013
Annals of Aquaculture and Research
ISSN : 2379-0881
Launched : 2014
Clinical Research in Pulmonology
ISSN : 2333-6625
Launched : 2013
Journal of Immunology and Clinical Research
ISSN : 2333-6714
Launched : 2013
Annals of Forensic Research and Analysis
ISSN : 2378-9476
Launched : 2014
JSM Biochemistry and Molecular Biology
ISSN : 2333-7109
Launched : 2013
Annals of Breast Cancer Research
ISSN : 2641-7685
Launched : 2016
Annals of Gerontology and Geriatric Research
ISSN : 2378-9409
Launched : 2014
Journal of Sleep Medicine and Disorders
ISSN : 2379-0822
Launched : 2014
JSM Burns and Trauma
ISSN : 2475-9406
Launched : 2016
Chemical Engineering and Process Techniques
ISSN : 2333-6633
Launched : 2013
Annals of Clinical Cytology and Pathology
ISSN : 2475-9430
Launched : 2014
JSM Allergy and Asthma
ISSN : 2573-1254
Launched : 2016
Journal of Neurological Disorders and Stroke
ISSN : 2334-2307
Launched : 2013
Annals of Sports Medicine and Research
ISSN : 2379-0571
Launched : 2014
JSM Sexual Medicine
ISSN : 2578-3718
Launched : 2016
Annals of Vascular Medicine and Research
ISSN : 2378-9344
Launched : 2014
JSM Biotechnology and Biomedical Engineering
ISSN : 2333-7117
Launched : 2013
Journal of Hematology and Transfusion
ISSN : 2333-6684
Launched : 2013
JSM Environmental Science and Ecology
ISSN : 2333-7141
Launched : 2013
Journal of Cardiology and Clinical Research
ISSN : 2333-6676
Launched : 2013
JSM Nanotechnology and Nanomedicine
ISSN : 2334-1815
Launched : 2013
Journal of Ear, Nose and Throat Disorders
ISSN : 2475-9473
Launched : 2016
JSM Ophthalmology
ISSN : 2333-6447
Launched : 2013
Journal of Pharmacology and Clinical Toxicology
ISSN : 2333-7079
Launched : 2013
Annals of Psychiatry and Mental Health
ISSN : 2374-0124
Launched : 2013
Medical Journal of Obstetrics and Gynecology
ISSN : 2333-6439
Launched : 2013
Annals of Pediatrics and Child Health
ISSN : 2373-9312
Launched : 2013
JSM Clinical Pharmaceutics
ISSN : 2379-9498
Launched : 2014
JSM Foot and Ankle
ISSN : 2475-9112
Launched : 2016
JSM Alzheimer's Disease and Related Dementia
ISSN : 2378-9565
Launched : 2014
Journal of Addiction Medicine and Therapy
ISSN : 2333-665X
Launched : 2013
Journal of Veterinary Medicine and Research
ISSN : 2378-931X
Launched : 2013
Annals of Public Health and Research
ISSN : 2378-9328
Launched : 2014
Annals of Orthopedics and Rheumatology
ISSN : 2373-9290
Launched : 2013
Journal of Clinical Nephrology and Research
ISSN : 2379-0652
Launched : 2014
Annals of Community Medicine and Practice
ISSN : 2475-9465
Launched : 2014
Annals of Biometrics and Biostatistics
ISSN : 2374-0116
Launched : 2013
JSM Clinical Case Reports
ISSN : 2373-9819
Launched : 2013
Journal of Cancer Biology and Research
ISSN : 2373-9436
Launched : 2013
Journal of Surgery and Transplantation Science
ISSN : 2379-0911
Launched : 2013
Journal of Dermatology and Clinical Research
ISSN : 2373-9371
Launched : 2013
JSM Gastroenterology and Hepatology
ISSN : 2373-9487
Launched : 2013
Annals of Nursing and Practice
ISSN : 2379-9501
Launched : 2014
JSM Dentistry
ISSN : 2333-7133
Launched : 2013
Author Information X