Loading

Journal of Human Nutrition and Food Science

Nutritional Supplementation and Enhanced Antioxidant Function by Dietary Intake of Selenoneine in Fish and Humans

Review Article | Open Access | Volume 13 | Issue 2
Article DOI :

  • 1. Department of Food Science and Technology, National Fisheries University, Yamaguchi 759-6595, Japan
  • 2. Fisheries Technology Research Institute, Yokohama 236-0004, Japan
+ Show More - Show Less
Corresponding Authors
Michiaki Yamashita, Department of Food Science and Technology, National Fisheries University, 2-7-1 Nagatahonmachi, Shimonoseki, Yamaguchi 7596595, Japan
Keywords

• Selenoneine

• Marine Ecosystem

• Hemoglobin

• Oxidative Stress

• Fluorescence Method

Citation

Yamashita M Yamashita Y (2025) Nutritional Supplementation and Enhanced Antioxidant Function by Dietary Intake of Selenoneine in Fish and Humans. J Hum Nutr Food Sci 13(2): 1200.

INTRODUCTION

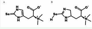
Selenoneine (selenyl-trimethyl-L-histidine) is a selenium-containing imidazole compound. It is the selenium analog of ergothioneine, a sulfur-containing compound already used as a functional food. Selenoneine was first found in the blood of tuna [1]. Tuna red blood cells contained 52 mg/kg of selenium, most of which was selenoneine. The selenium content of major organs such as red muscle, heart, spleen, liver, and kidney exceeded 5 mg/kg. The selenium content in the white muscle of farmed bluefin tuna was 0.57 mg/kg. Based on previous findings, it is speculated that selenoneine is a molecule responsible for adaptation to low-oxygen environments in the marine ecosystem. Migratory fish have the ability to actively swim and continue diving even under low-oxygen conditions, demonstrating low-oxygen adaptability. It is assumed that to support physiological functions related to such adaptation to the marine environment, namely enhancing the oxygen-binding capacity of hemoglobin and myoglobin, selenoneine is used to suppress oxidative stress and maintain the reducing ability of divalent iron. In other words, the physiological function of selenium is considered to be attributed to the property of selenoneine to scavenge hydroxyl radicals in the cells in vivo. Furthermore, the hydroxyl radical scavenging activity of selenoneine is thought to be involved in the suppression of oxidative stress and the prevention of related diseases as food and feed. By extracting and purifying selenium compounds contained in the blood of bluefin tuna and determining their chemical structure, it was found that the compound was a novel low-molecular-weight selenium-containing compound, selenoneine (Figure 1). The author, Yumiko

https://www.jscimedcentral.com/public/assets/images/uploads/image-1770439250-1.JPG

Figure 1 Chemical structure of selenoneine. A. selenoxo form. B. selenol form

Yamashita, is an organic chemist who synthesized artificial compound troposelenon, a non-benzene type aromatic compound containing selenium (Figure 2), during graduate school. Since she came to the Tokai National Fisheries Research Laboratory, selecting bluefin tuna, which has particularly high selenium content, as a research subject, she analyzed selenium content in various organs and the molecular weight of selenium compounds in the muscle. Tuna caught in offshore fisheries have their gills and internal organs removed on the ship. On the other hand, bluefin tuna caught in set-net fisheries in the Sea of Japan could be obtained with blood and internal organs intact. Analysis of selenium concentration in muscle and organs by fluorescence method with 2,3-diaminonaphthalene showed that the blood contained 15.1 mg/kg of Se. The results showed high concentrations of selenium in kidney (11.7 mg/kg), spleen (10.1 mg/kg), dark muscle (surface 6.7 mg/kg, core 7.4 mg/kg), heart (4.8 mg/kg), gills (2.7 mg/kg), brain (1.6 mg/kg), and ordinary muscle (0. 5 mg/ kg) [1]. Furthermore, when the extract of dark muscle was gel-filtered in the presence of glutathione, molecular weight approximately 50,000 glutathione peroxidase (GPx1), a red selenium compound with molecular weight slightly over 10,000, presumed to be ‘selenium-bound myoglobin,’ and unknown low-molecular-weight selenium of less than 1,300 were found (Figure 3). At that time, it was already known that selenium protein W is present in muscle, selenoprotein P in serum, and GPx1 in red blood cells, so it was considered that low-molecular-weight selenium proteins could exist as degradation products of selenoproteins containing selenocysteine.

https://www.jscimedcentral.com/public/assets/images/uploads/image-1770439316-1.JPG

Figure 2 Chemical structure. Troposelone.

During the purification process of selenoneine, when proteins are removed using solvents such as dichloromethane or acetonitrile, SeH groups are generated due to tautomerism. It was considered that the action of non-polar solvents was the cause of dimer formation. It was confirmed by mass spectrometry that the dimer converts to monomer in the presence of physiologically relevant concentrations of reduced glutathione. Selenoneine, which has increased hydrophilicity due to its betaine structure, was stably present in tuna species and in humans. Selenoneine purified from the red muscle of swordfish exhibited 463 times the DPPH radical scavenging activity of Trolox and 895 times that of ergothioneine. Since selenoneine was also found in canned mackerel and tuna, it was evident that it remains stable even under high-temperature, high-pressure sterilization conditions. Ergothioneine, a sulfur-containing analog of selenoneine derived from the blood of bluefin tuna, was discovered in ergot approximately a hundred years ago. Therefore, by combining selenium with ergothioneine, it was named ‘selenoneine’ and reported in the journal. It is abundant in the tissues of red-fleshed fish such as tuna and mackerel, and trace amounts were detected in the internal organs of livestock, such as chicken hearts and pig kidneys (Figure 4). Selenoneine was also present in the blood and internal organs of cetaceans. It was detected in human red blood cells, especially in subjects who frequently consumed fish, indicating that fish are an important source of selenoneine. Recently, a research team in Canada reported that the diet of the fish-eating Inuit population contains high amounts of selenoneine [2-6] (Figure 5). By consuming not only fish but marine mammals such as beluga whales and seals, they were able to take in selenoneine. It has been reported that groups with higher selenium levels in the blood show lower incidence rates of hypertension heart disease, and stroke. Highly unsaturated fatty acids (PUFAs) in fish oil also enhance vascular, cardiac, and brain functions, but since consuming fish also involves the intake of components other than PUFAs, such as selenoneine, the epidemiological analyses reporting the preventive effects of PUFAs on lifestyle-related diseases do not evaluate the biological activity of other functional components including selenoneine. Results from studies on the Inuit in Canada and health surveys of residents on remote islands of Kagoshima Prefecture conducted by the authors show that blood selenium levels are relatively high: 169–354 μg/L in Greenland and Canadian Inuit, 510 μg/L in Kagoshima remote islands, and 244 μg/L in Tokyo [7] (Table 1).

https://www.jscimedcentral.com/public/assets/images/uploads/image-1770439384-1.JPG

Figure 3 Molecular weight.

https://www.jscimedcentral.com/public/assets/images/uploads/image-1770439426-1.JPG

Figure 4 Chemical form of ergothioneine.

https://www.jscimedcentral.com/public/assets/images/uploads/image-1770439480-1.JPG

Figure 5 Chemical form of dimer of selenoneine.

https://www.jscimedcentral.com/public/assets/images/uploads/image-1770439551-1.JPG

In contrast, in Western countries such as the United States, Czech Republic, Italy, Austria, and Germany, serum selenium levels are much lower, at 80–190 μg/L [7], and it is known that the risk of lifestyle-related diseases increases when serum selenium levels fall below 106 μg/L. Without consuming fish, there is no opportunity to ingest selenoneine. Conventional research on fish consumption and lifestyle-related diseases may overestimate the biological activity of PUFAs and overlook the physiological effects of selenoneine, as suggested by Lund [8]. Therefore, it is necessary to examine the biological antioxidant activity and health-promoting effects of each component derived from fish going forward.

The unique feature of selenoneine as an antioxidant is its biological activity in scavenging hydroxyl radicals. The radical scavenging activity of selenoneine could be measured using synthetic substrates as DPPH radical scavenging activity. It was confirmed that antioxidant compounds in food reduce oxidative stress and exert what is known as biological antioxidant activity in cells and tissues. Subsequently, using commercially available chemical probes, it was found that HPF (hydroxyphenyl fluorescein), which has high specificity for hydroxyl radicals, is optimal, suggesting that hydroxyl radicals, which are the optimal substrate for HPF, are selenoneine’s target molecules [2]. It was observed that when antioxidant substances are taken through the diet, the food-derived antioxidant components are absorbed into the body, enhancing “biological antioxidant activity”, as measured by the redox potential of blood and muscle in farmed fish (Figure 6). In other words, when a feed containing selenoneine is administered, hydroxyl radical scavenging activity improves depending on the concentration of selenoneine, as measured by the redox potential in blood and muscle.

https://www.jscimedcentral.com/public/assets/images/uploads/image-1770439661-1.JPG

Figure 6 ORP potential of fish muscles.

In other words, administering feed containing selenoneine can improve hydroxyl radical scavenging activity in a selenoneine concentration-dependent manner, allowing the assessment of in vivo antioxidant capacity through measurements of redox potential in blood and muscle. By inserting an ORP electrode into the fish body, it is possible to measure the redox potential within the body. If small electrodes are prepared, it may be possible to measure the in vivo antioxidative activity within cells and tissues. The antioxidant capacity conferred by selenoneine can likely be enhanced through dietary intake. There is potential to develop non-destructive measurement devices and electrodes to measure the antioxidant capacity of living organisms as an indicator of stress. In conclusion, feeding selenoneine to fish such as yellowtail, amberjack, and red sea bream resulted in particularly high accumulation of selenoneine in red blood cells, as well as uptake in muscles and liver, leading to increased activity of glutathione peroxidase. Intake of selenoneine induced the enzymatic activity of GPX1, a selenoprotein. It activated selenoproteins and is utilized in the biosynthesis of selenoproteins, which is estimated to suppress selenium deficiency. Selenoneine is a new type of selenium supplement that specifically targets hydroxyl radicals. Antioxidant components used in food supplements, such as vitamin C, astaxanthin, and ergothioneine, do not participate in scavenging hydroxyl radicals. Selenoneine is a radical scavenger with specificity for hydroxyl radicals.

It can be quantitatively measured using ICPMS and fluorescent probes. It is a non-toxic selenium supplement that can enhance biological antioxidant activity and suppress selenium deficiency. Its application is expected in food, farmed fish, and animals. The raw materials are the internal organs of tuna and migratory fish, as well as dark meat that is not used for consumption. In the tuna industry, this fish meat is of low use and is available in large quantities. Since high concentrations of selenoneine are found in the viscera of tuna and other species in fish processing residues, technology is currently being developed to recover selenoneine from waste products. A new functional material that antioxidants that act when consumed is being developed that enhances biological antioxidant activity and improves hypoxia and oxidative stress tolerance in fish animals, and human.

REFERENCE
  1. Yamashita Y, Yamashita M. Identification of a novel selenium- containing compound, selenoneine, as the predominant chemical form of organic selenium in the blood of bluefin tuna. J Biol Chem. 2010; 285: 18134-18138.
  2. Yamashita Y, Presence of selenoprotein in the muscle of bluefin tuna. Proceedings of the United States-Japan cooperation program in natural resources, UJNR protein resource panel in 24th annual meeting. Tsukuba. 1995: 17-24.
  3. Hu XF, Eccles KM, Chan HM, High selenium exposure lowers the odds ratios for hypertension, stroke, and myocardial infarction associated with mercury exposure among Inuit in Canada, In Environment International. 2017; 102: 200-206.
  4. Suzuki T, Hongo T, Ohba T, Kobayashi K, Imai H, Ishida H. The relation of dietary selenium to erythrocyte and plasma selenium concentrations in Japanese college women. Nutr. Res. 1989; 9: 839- 848.
  5. Yamashita M, Yamashita Y, Ando T, Wakamiya J, Akiba S. Identification and determination of selenoneine, 2-selenyl-Nα, Nα, Nα-trimethyl- L-histidine, as the major organic selenium in blood cells in a fish- eating population on remote Japanese islands. Biol Trace Elem Res. 2013; 156: 36-44.
  6. Little M, Achouba A, Ayotte P, Lemire M. Emerging evidence on selenoneine and its public health relevance in coastal populations: a review and case study of dietary Se among Inuit populations in the Canadian Arctic. Nutr Res Rev. 2025; 38: 171-180.
  7. Lund EK. Health benefits of seafood; is it just the fatty acids? Food Chem. 2013; 140: 413-420.
  8. Tofuku T, Ando H, Morishita N, Yamashita N, Kondo M . Dietary intake of selenoneine enhances antioxidant activity in the muscles of the amberjack Seriola dumerili grown in aquaculture. Marine Biotech. 2021; 23: 847-853.

Yamashita M Yamashita Y (2025) Nutritional Supplementation and Enhanced Antioxidant Function by Dietary Intake of Selenoneine in Fish and Humans. J Hum Nutr Food Sci 13(2): 1200.

Received : 01 Nov 2025
Accepted : 26 Dec 2025
Published : 27 Dec 2025
Journals
Annals of Otolaryngology and Rhinology
ISSN : 2379-948X
Launched : 2014
JSM Schizophrenia
Launched : 2016
Journal of Nausea
Launched : 2020
JSM Internal Medicine
Launched : 2016
JSM Hepatitis
Launched : 2016
JSM Oro Facial Surgeries
ISSN : 2578-3211
Launched : 2016
JSM Regenerative Medicine and Bioengineering
ISSN : 2379-0490
Launched : 2013
JSM Spine
ISSN : 2578-3181
Launched : 2016
Archives of Palliative Care
ISSN : 2573-1165
Launched : 2016
JSM Nutritional Disorders
ISSN : 2578-3203
Launched : 2017
Annals of Neurodegenerative Disorders
ISSN : 2476-2032
Launched : 2016
Journal of Fever
ISSN : 2641-7782
Launched : 2017
JSM Bone Marrow Research
ISSN : 2578-3351
Launched : 2016
JSM Mathematics and Statistics
ISSN : 2578-3173
Launched : 2014
Journal of Autoimmunity and Research
ISSN : 2573-1173
Launched : 2014
JSM Arthritis
ISSN : 2475-9155
Launched : 2016
JSM Head and Neck Cancer-Cases and Reviews
ISSN : 2573-1610
Launched : 2016
JSM General Surgery Cases and Images
ISSN : 2573-1564
Launched : 2016
JSM Anatomy and Physiology
ISSN : 2573-1262
Launched : 2016
JSM Dental Surgery
ISSN : 2573-1548
Launched : 2016
Annals of Emergency Surgery
ISSN : 2573-1017
Launched : 2016
Annals of Mens Health and Wellness
ISSN : 2641-7707
Launched : 2017
Journal of Preventive Medicine and Health Care
ISSN : 2576-0084
Launched : 2018
Journal of Chronic Diseases and Management
ISSN : 2573-1300
Launched : 2016
Annals of Vaccines and Immunization
ISSN : 2378-9379
Launched : 2014
JSM Heart Surgery Cases and Images
ISSN : 2578-3157
Launched : 2016
Annals of Reproductive Medicine and Treatment
ISSN : 2573-1092
Launched : 2016
JSM Brain Science
ISSN : 2573-1289
Launched : 2016
JSM Biomarkers
ISSN : 2578-3815
Launched : 2014
JSM Biology
ISSN : 2475-9392
Launched : 2016
Archives of Stem Cell and Research
ISSN : 2578-3580
Launched : 2014
Annals of Clinical and Medical Microbiology
ISSN : 2578-3629
Launched : 2014
JSM Pediatric Surgery
ISSN : 2578-3149
Launched : 2017
Journal of Memory Disorder and Rehabilitation
ISSN : 2578-319X
Launched : 2016
JSM Tropical Medicine and Research
ISSN : 2578-3165
Launched : 2016
JSM Head and Face Medicine
ISSN : 2578-3793
Launched : 2016
JSM Cardiothoracic Surgery
ISSN : 2573-1297
Launched : 2016
JSM Bone and Joint Diseases
ISSN : 2578-3351
Launched : 2017
JSM Bioavailability and Bioequivalence
ISSN : 2641-7812
Launched : 2017
JSM Atherosclerosis
ISSN : 2573-1270
Launched : 2016
Journal of Genitourinary Disorders
ISSN : 2641-7790
Launched : 2017
Journal of Fractures and Sprains
ISSN : 2578-3831
Launched : 2016
Journal of Autism and Epilepsy
ISSN : 2641-7774
Launched : 2016
Annals of Marine Biology and Research
ISSN : 2573-105X
Launched : 2014
JSM Health Education & Primary Health Care
ISSN : 2578-3777
Launched : 2016
JSM Communication Disorders
ISSN : 2578-3807
Launched : 2016
Annals of Musculoskeletal Disorders
ISSN : 2578-3599
Launched : 2016
Annals of Virology and Research
ISSN : 2573-1122
Launched : 2014
JSM Renal Medicine
ISSN : 2573-1637
Launched : 2016
Journal of Muscle Health
ISSN : 2578-3823
Launched : 2016
JSM Genetics and Genomics
ISSN : 2334-1823
Launched : 2013
JSM Anxiety and Depression
ISSN : 2475-9139
Launched : 2016
Clinical Journal of Heart Diseases
ISSN : 2641-7766
Launched : 2016
Annals of Medicinal Chemistry and Research
ISSN : 2378-9336
Launched : 2014
JSM Pain and Management
ISSN : 2578-3378
Launched : 2016
JSM Women's Health
ISSN : 2578-3696
Launched : 2016
Clinical Research in HIV or AIDS
ISSN : 2374-0094
Launched : 2013
Journal of Endocrinology, Diabetes and Obesity
ISSN : 2333-6692
Launched : 2013
Journal of Substance Abuse and Alcoholism
ISSN : 2373-9363
Launched : 2013
JSM Neurosurgery and Spine
ISSN : 2373-9479
Launched : 2013
Journal of Liver and Clinical Research
ISSN : 2379-0830
Launched : 2014
Journal of Drug Design and Research
ISSN : 2379-089X
Launched : 2014
JSM Clinical Oncology and Research
ISSN : 2373-938X
Launched : 2013
JSM Bioinformatics, Genomics and Proteomics
ISSN : 2576-1102
Launched : 2014
JSM Chemistry
ISSN : 2334-1831
Launched : 2013
Journal of Trauma and Care
ISSN : 2573-1246
Launched : 2014
JSM Surgical Oncology and Research
ISSN : 2578-3688
Launched : 2016
Annals of Food Processing and Preservation
ISSN : 2573-1033
Launched : 2016
Journal of Radiology and Radiation Therapy
ISSN : 2333-7095
Launched : 2013
JSM Physical Medicine and Rehabilitation
ISSN : 2578-3572
Launched : 2016
Annals of Clinical Pathology
ISSN : 2373-9282
Launched : 2013
Annals of Cardiovascular Diseases
ISSN : 2641-7731
Launched : 2016
Journal of Behavior
ISSN : 2576-0076
Launched : 2016
Annals of Clinical and Experimental Metabolism
ISSN : 2572-2492
Launched : 2016
Clinical Research in Infectious Diseases
ISSN : 2379-0636
Launched : 2013
JSM Microbiology
ISSN : 2333-6455
Launched : 2013
Journal of Urology and Research
ISSN : 2379-951X
Launched : 2014
Journal of Family Medicine and Community Health
ISSN : 2379-0547
Launched : 2013
Annals of Pregnancy and Care
ISSN : 2578-336X
Launched : 2017
JSM Cell and Developmental Biology
ISSN : 2379-061X
Launched : 2013
Annals of Aquaculture and Research
ISSN : 2379-0881
Launched : 2014
Clinical Research in Pulmonology
ISSN : 2333-6625
Launched : 2013
Journal of Immunology and Clinical Research
ISSN : 2333-6714
Launched : 2013
Annals of Forensic Research and Analysis
ISSN : 2378-9476
Launched : 2014
JSM Biochemistry and Molecular Biology
ISSN : 2333-7109
Launched : 2013
Annals of Breast Cancer Research
ISSN : 2641-7685
Launched : 2016
Annals of Gerontology and Geriatric Research
ISSN : 2378-9409
Launched : 2014
Journal of Sleep Medicine and Disorders
ISSN : 2379-0822
Launched : 2014
JSM Burns and Trauma
ISSN : 2475-9406
Launched : 2016
Chemical Engineering and Process Techniques
ISSN : 2333-6633
Launched : 2013
Annals of Clinical Cytology and Pathology
ISSN : 2475-9430
Launched : 2014
JSM Allergy and Asthma
ISSN : 2573-1254
Launched : 2016
Journal of Neurological Disorders and Stroke
ISSN : 2334-2307
Launched : 2013
Annals of Sports Medicine and Research
ISSN : 2379-0571
Launched : 2014
JSM Sexual Medicine
ISSN : 2578-3718
Launched : 2016
Annals of Vascular Medicine and Research
ISSN : 2378-9344
Launched : 2014
JSM Biotechnology and Biomedical Engineering
ISSN : 2333-7117
Launched : 2013
Journal of Hematology and Transfusion
ISSN : 2333-6684
Launched : 2013
JSM Environmental Science and Ecology
ISSN : 2333-7141
Launched : 2013
Journal of Cardiology and Clinical Research
ISSN : 2333-6676
Launched : 2013
JSM Nanotechnology and Nanomedicine
ISSN : 2334-1815
Launched : 2013
Journal of Ear, Nose and Throat Disorders
ISSN : 2475-9473
Launched : 2016
JSM Ophthalmology
ISSN : 2333-6447
Launched : 2013
Journal of Pharmacology and Clinical Toxicology
ISSN : 2333-7079
Launched : 2013
Annals of Psychiatry and Mental Health
ISSN : 2374-0124
Launched : 2013
Medical Journal of Obstetrics and Gynecology
ISSN : 2333-6439
Launched : 2013
Annals of Pediatrics and Child Health
ISSN : 2373-9312
Launched : 2013
JSM Clinical Pharmaceutics
ISSN : 2379-9498
Launched : 2014
JSM Foot and Ankle
ISSN : 2475-9112
Launched : 2016
JSM Alzheimer's Disease and Related Dementia
ISSN : 2378-9565
Launched : 2014
Journal of Addiction Medicine and Therapy
ISSN : 2333-665X
Launched : 2013
Journal of Veterinary Medicine and Research
ISSN : 2378-931X
Launched : 2013
Annals of Public Health and Research
ISSN : 2378-9328
Launched : 2014
Annals of Orthopedics and Rheumatology
ISSN : 2373-9290
Launched : 2013
Journal of Clinical Nephrology and Research
ISSN : 2379-0652
Launched : 2014
Annals of Community Medicine and Practice
ISSN : 2475-9465
Launched : 2014
Annals of Biometrics and Biostatistics
ISSN : 2374-0116
Launched : 2013
JSM Clinical Case Reports
ISSN : 2373-9819
Launched : 2013
Journal of Cancer Biology and Research
ISSN : 2373-9436
Launched : 2013
Journal of Surgery and Transplantation Science
ISSN : 2379-0911
Launched : 2013
Journal of Dermatology and Clinical Research
ISSN : 2373-9371
Launched : 2013
JSM Gastroenterology and Hepatology
ISSN : 2373-9487
Launched : 2013
Annals of Nursing and Practice
ISSN : 2379-9501
Launched : 2014
JSM Dentistry
ISSN : 2333-7133
Launched : 2013
Author Information X